Материал: Банковская конкуренция и реальный сектор экономики

Внимание! Если размещение файла нарушает Ваши авторские права, то обязательно сообщите нам

Банковская конкуренция и реальный сектор экономики

Введение

В данной исследовательской работе ставится вопрос влияния банковской конкуренции на кредитования реального сектора экономики. Измерение уровня конкуренции в банковской системе вопрос, с одной стороны, широко представленный в научной литературе, с другой стороны, все еще не сформировалось однозначное мнение по данному вопросу. Преградами на пути часто выступает информационная ограниченность исследователей, индивидуальные страновые или секторальные эффекты, которые способны полностью изменить казалось бы проверенные и устоявшиеся в экономики связи и воздействия.

На текущий момент российский банковский рынок переживает период глобальных преобразований, новые регуляторные правила, ужесточение контроля за кредитными организациями, резкий и многочисленный отзыв банковских лицензий на фоне кризиса в финансовой системе, в целом - все это могло послужить причиной перераспределения ролей между участниками банковского рынка и ужесточению или, напротив, ослаблению конкуренции.

С начала 2010 года банковский сектор России потерял 361 банк, объем активов при этом увеличился больше чем в 2.5 раза. Не странно предположить, что это должно было найти отражение в банковской конкуренции, как с точки зрения структурного подхода - изменение концентрации, так и с точки зрения рыночной власти.

На фоне активных действий в банковской области, другой немаловажный вопрос - развитие реального сектора в России. Когда недавно опять встал вопрос о необходимости финансовой поддержки отраслей реального сектора, а именно тех, что отвечают, в первую очередь, за обеспечение населения товарами отечественного производства, возник интерес как эти два процесса: оптимизация банковского сектора и развитие реального сектора, могут сосуществовать, не будут ли вытеснения эффективности одного процесса другим?

Объектом исследования в данной работе является реальный сектор экономики России, а конкретно обрабатывающая и сельскохозяйственная отрасли.

Предмет исследования - влияние банковской конкуренции на кредитование реального сектора экономики.

Основной исследовательский вопрос: как изменения в рыночной структуре банковского сектора России повлияли на финансировании отраслей реального сектора?

Источниками данных для проведения исследования стали сведения с сайта Банка России, в части информации об объемах финансирования нефинансовых организаций и размере просроченной задолженности. Сайт Федеральной службы государственной статистики - институциональная и макро информация о состоянии регионов и отраслей реального сектора. Ежемесячные отчеты Центра Развития НИУ ВШЭ. Для расчета уровня конкуренции были использованые детализированные, в разрезе отдельных банков, данные информационного агентства “Мобиле”, база данных «Банки и финансы».

Вопрос влияния банковской конкуренции на реальный сектор не новый, он ни один раз уже поднимался в научной литературе.

Влияние конкуренции на реальный сектор рассматривалось с точки зрения создания новых предприятий, размера предприятий (Cetorelli, 2004), уровня инновационного развития компаний (Bircan, DeHaas, 2015), стоимости кредита для предприятий (Beck, Demirguc-Kunt, Maksimovic, 2003). Ряд работ подтвержает связь между банковской структурой и структурой реального сектора (Black, Strahan, 2002), (Cetorelli,Strahan, 2006).

Исследованием вопроса банковской конкуренции по России занимались:

Мамонов (2010): влияние процессов концентрации и экспансии иностранных банков на уровень конкуренции в российском банковском секторе;

Моисеев (2006): сравнительный анализ конкуренции в банковском секторе России и в странах Центральной и Восточной Европы в период 2000-2006 гг.;

Дробышевский, Пащенко (2006): на основе теории отраслевых рынков разработали и протестировали модель оценки конкуренции на данных за 3 квартал 2000 по 4 квартал 2004;, De Haas (2014): кредитное ограничения фирм в условиях конкуренции и иностранной экспансии на российском рынке;, Martinez Peria, Melecky (2012) рассматривают банковскую конкуренцию в России в разрезе стран БРИКС.

Структурно работа состоит из 2 глав. В первой главе рассматриваются теоретические аспекты измерения банковской конкуренции и обзор научной литературы по вопросу исследования влияния процессов конкуренции и концентрации на реальный сектор.

Вторая глава содержит эмпирическое исследование влияние банковской конкуренции на кредитование реального сектора экономики России, рассматривается период с 4 квартала 2009 по 4 квартал 2015 года. В исследовании отражены характерные для России проблемы «overbranching», проблема аккумуляции ресурсов в центральной части России и недофинансирования регионов.

Глава 1. Банковская конкуренция и реальный сектор экономики

.1 Методы оценки банковской конкуренции


За последние годы в научной литературе были разработаны и представлены различные способы оценки уровня конкуренции. В целом, методы оценки конкуренции можно разделить на две группы: структурные и неструктурные.

Структурный подход учитывает такие факторы, как концентрация банковской системы, количество банков, индекс Herfindahl. Структурный подход основывается на гипотезе эффективности и парадигме «структура-поведение-производительность» (SCP - the Structure-Conduct-Performance paradigm).

Парадигма SCP основана на трех предположениях, что:

1)     структура рынка влияет на поведение (например, что более низкая концентрация рынка приводит к более конкурентному поведению фирм);

2)      поведение влияет на производительность (например, более конкурентное поведение приводит с снижению рыночной власти и большей социальной эффективности);

)        структура, таким образом, влияет на производительность: более низкая концентрация приводит к снижению рыночной власти.

С точки зрения банков, парадигма SCP утверждает, что концентрация в банковском секторе отрицательно влияет на поведение и эффективность деятельности банков. В своем первоначальном виде, SCP объясняет эффективность рынка как результат экзогенно заданной рыночной структуры, которая зависит от спроса и предложения на рынке (Reid, 1987), которая, в свою очередь, оказывает влияние на поведение банков. Высокий уровень концентрации предполагает возможность сговора среди наиболее активных банков и снижение уровня конкуренции в банковском секторе. Стоит отметить, что в банковской научной литературе SPC часто подвергалась критике, например, в работах Gilbert (1984), Reid (1987), Vesala (1995), Bos (2002). Большая часть критики связана с односторонним движением причинности - от структуры к функционированию рынка - присущей исходной модели (Bikker, Haaf, 2002).

Гипотеза эффективности впервые была представлена в работах Demsetz (1973) и Peltzman (1977). Гипотеза утверждает, что если банк эффективен сам по себе, то есть структура его затрат сравнительно более эффективна, чем у других банков на рынке, то поведение банка, направленное на максимизацию прибыли, позволит ему заполучить большую долю на рынке за счет снижения цен (Molyneux,Forbes, 1995). Таким образом, как отмечает Vesala (1995), cтруктура рынка формируется эндогенно, а концентрация является результатом более высокой эффективности ведущих банков. В этом заключается основное отличение гипотезы эффективности от SCP.

Большинство исследователей SCP рассматривают в разрезе «структура-производительность» (S-P), игнорируя поведение банков, то есть как структура рынка влияет на результаты деятельности банка. В качестве меры производительности чаще всего принимают стоимость банковских продуктов и услуг, реже - показатели прибыльности банка.

Стоимость банковских услуг определяется как средняя процентная ставка по кредитам или депозитам, средняя стоимость обслуживания по вкладам до востребования или стоимость определенных товаров и услуг. Применение «ценовой» прокси банковской производительности нередко подвергалось критике в научной литературе в связи с тем, что в работах часто опускалось возможность существования перекрестного субсидирования (компенсация убытков от одного вида деятельности за счет других), что, в условиях мультипрофильности банков, встречается довольно часто.

Показатели прибыльности банка помимо того, что учитывают возможность перекрестного субсидирования, так как агрегируют данные о доходах по всем продуктам банка, более просты в сборе. Однако и они подвергаются критике в научной литературе. Так, Vesala (1995) утверждает, операционная неэффективность банков может стать причиной снижения рентабельности, а потому рыночная власть и прибыльность не обязательно положительно коррелируют. Кроме того, расчет агрегированной меры прибыли исключает оценку рыночной власти на отдельных рынках.

В таблице 2 представлены сводные данные об основных возможных составляющих при оценке конкуренции в банковском секторе.

Применение показателей концентрации в структурных методах оценки (SPC) конкуренции целесообразно с той точки зрения, что они позволяют предугадать возможное поведение банков. Применения индекса концентрации первых k-банков (Crk) основывается на предположении о возможности формирования банковского картеля, индекс Herfindahl (HHI) предполагает, что поведение может быть описано возможными отличиями или схожими выводами с другими коэффициентами концентрации. Эти выводы могут полезны при принятии политических решений относительно урегулирования банковского сектора, с точки зрения его концентрации, относительно потребностей страны, региона и т.д.

Таблица 2. Компоненты оценки конкуренции согласно S-P подхода

Структура рынка (экзогенная переменная)

Концентрация

- HHI - Crk, где k - число банков - число банков - другие показатели концентрации или Джинни коэффициент


Доля рынка

- определяются для конкретного рынка (мера эффективности банка)


Входные барьеры

- регуляторные: банковские отделения и филиалы и условия связанные с ними - нерегуляторные: минимальный эффективный размер, продуктовая диверсификация, экономия на масштабе, технологии, ноу-хау


Число филиалов

- действующие на конкретном рынке

Эффективность (эндогенная переменная)

Стоимостные меры

- цены конкретных продуктов и услуг банков - средние цены продуктов и услуг банка (средние процентные ставки по кредитам, депозитам и др.)


Показатели прибыльности

- агрегированные данные о доходах и убытках банка


Среди класса неструктурных моделей наибольшее распространение получили модель Panzar-Rosse (1987) и модель Bresnahan (1982). Помимо упомянутых, среди Barros-Modesto (1999).

Модель Iwata (1974) позволяет оценить предполагаемые значения вариации для отдельных банков, реализующих однородный продукт на олигополистическом рынке.

Модель Iwata предполагает оценку функции рыночного спроса и функции затрат отдельных банков, реализующих однородный продукт на олигополистическом рынке, чтобы получить численное значение возможного отклонения для каждого банка. К сожалению, применение этой модели на практике затруднено в силу отсутствия микро данных о структуре затрат и производства в рамках банковского сектора.

Основная идея моделей Bersnahan и Panzar-Rosse, а также модели Barros-Modesto, заключается в сравнении поведения банков с тремя возможными вариантами (в случае Barros-Modesto, с двумя): монополией, олигополией и совершенной конкуренцией. Сравнение производится на основе сопоставления значений специально разработанного параметра. На основе сравнения делается вывод о том, к какой структуре ближе всего изучаемая отрасль поведения (Дробышевский, Пащенко, 2006).

Наибольшее распространение в научной литературе получил метода Panzar-Rosse (1987). Тест основан на сокращенной форме уравнения, связывающего валовый доход с вектором цен факторов производства и контрольных переменных, которая выглядит следующим образом:

                               (1)

где TR - совокупный доход,- вектор цен факторов производства,- вектор контрольных переменных.статистика Panzar-Rosse рассчитывается следующим образом:

                                                                                               (2)

Интерпретация значений показателей Hstat:≤ 0 - монополия,(0;1) - монополистическая конкуренция,= 1 - совершенная конкуренция.

Метод оценки конкуренции при помощи H-статистики получил широко применяется в литературе.

В эмпирической банковской литературе в качестве зависимой переменной часто применяются процентные доходы взамен совокупных, с целью захватить только посредническую деятельности банков (Bikker, Haaf, 2002). В других исследованиях в качестве прокси output prices применяют отношение совокупных доходов к совокупным активам. Это приводит к уравнению логарифмическом цен вместо логарифмических уравнений доходов.

В эмпирической литературе получили развитие три вариации расчета конкуренции на основе метода Panzar-Rosse.

Первый вариант с применением логарифма общих активов в качестве контрольной масштабирующей переменной (3). Этот способ был применим, например, в работе Nathan, Neave (1989) при оценке конкуренции на финансовом секторе Канады.

              (3)

Второй вариант в ценах (4) в своих исследованиях использовали, например, Koutsomanoli-Fillipaki, Staikouras (2005) для оценки банковской конкуренции на европейском рынке.

                                 (4)

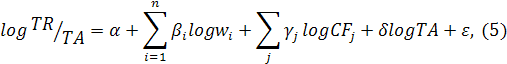
Третий вариант оценки банковской конкуренции с использование сокращенного уравнения цен и логарифма совокупных активов в качестве контролирующей переменной масштаба (5). Этот вариант спецификации модели Panzar-Rosse применялся в уже упоминавшихся работах Bikker, Haaf (2002), Claessens, Laeven (2004).

(1982) в своей работе предполагает, что H-stat корректно измеряет банковскую конкуренцию только в условиях долгосрочного равновесия: если для банковского сектора характерно систематическое нахождение в состоянии конкуренции, то со временем рынок к нему приспосабливается, что приводит к снижению диспропорции распределения риска между банками.

На основе теста E-stat Шаффера была оценена ситуация для российского сектора. Основная гипотеза теста заключается в том, что corr(ROA,FIP)=0.

                                                  (6)

Если Estat =0, следовательно банковская система в равновесии.

Еще один способ оценить конкуренцию в банковском секторе предлагает Boone (2008). Основная идея модели состоит в том, что более эффективные банки должны увеличить долю рынка и увеличить свою прибыль за счет менее эффективных банков. То есть, конкуренция повышает производительность эффективных банков и ослабляет менее эффективные. Этот эффект сильнее, когда конкуренция на рынке выше.

Индикатор Буна оценивается с помощью следующей эмпирической модели:

 (7)

где ms - доля рынка, mc - предельные издержки, D - дамми-переменная времени, β - индикатор Буна.

Интерпретация значений показателя Буна:

β < 0 - усиление конкуренции по количеству (увеличение доли рынка для банков с более низкими предельными издержками). Большое отрицательное значение β является признаком более конкурентных условий на рынке банковских услуг;

β = ± 0 - усиление монополии

β > 0 - усиление конкуренции по качеству (или существует возможность сговора на рынке)

Индикатор Буна относится к неструктурному подходу оценки конкуренции и позволяет преодолеть некоторые недостатки структурных мер конкуренции, таких как HHI или доли рынка в k крупнейших банков (Crk), которые стремятся представлять конкурентное поведение путем анализа уровней концентрации в банковской отрасли. В отличие от индексов концентрации, индикатор Буна учитывает взаимодействие между банками, сосредоточивая внимание на их поведении. Claessens и Laeven (2004) в результате своих эмпирических исследований приходят к выводу, что концентрация является не лучшей прокси для конкуренции Опираясь на меры концентрации, можно получить ложные результаты, так как высокие уровни концентрации часто рассматриваются как отсутствие конкуренции в отрасли.