Материал: baldin_kv_red_matematika_dlia_gumanitariev

Внимание! Если размещение файла нарушает Ваши авторские права, то обязательно сообщите нам

13.4.3.Проверкагипотезыоматематическоможидании

Предположим, что случайная переменная X распределена по нормальному закону с известной дисперсией . Необходимо проверить гипотезу о том, что математическое ожидание этой переменной не превышает значения .

Гипотеза может быть проверена путем последовательного проведения испытания с регистрацией на каждом его шаге значений x1, x2, …, xn, которые приняла случайная величина X.

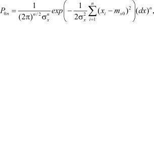
Если граничные точки mx0 и mx1 областей принятия гипотезы, критической и продолжения испытаний определены, а испытания независимы, вероятность получения совокупности результатов x1, x2, …, xn, при условии что mx = mx0, будет равна

а при условии, что mx = mx1.

Следовательно, показатель согласованности проверки нулевой гипотезы запишется в виде

(1 . 5)

При выбранных значениях вероятностей ошибок первого и второго b рода условия принятия, отклонения и продолжения испытаний будут определяться неравенствами

471

(1 . 6)

Приемочное и браковочное числа an и rn в неравенствах (1 . 6) определяются выражениями

(1 . 7)

Задачу удобно решать с помощью графика, на котором заблаговременно проведены прямые an и rn согласно уравнениям (1 . 7), а после каждого шага испытания наносится точка с ко-

ординатами

Задачидлясамостоятельногорешения

1.Угол между двумя ориентирами измерялся осенью и весной. По результатам шести независимых измерений получены приближенные значения угла 42° 0 00 (осенью) и 42° 0 80 (весной). Точность прибора характеризуется средним квадратическим отклонением, равным 100. При = 0,05 установить, изменился ли угол за время, прошедшее между этими измерениями.

2.При стендовых испытаниях десяти ракетных двигателей были определены характеристики тяги двигателя: 280,5 кг, 0,8 кг. При летных испытаниях десяти ракет с двигателями той же партии получены значения тех же характеристик: 279,6 кг, 0,6 кг. При = 0,05 установить изменяются ли характеристики тяги двигателя в зависимости от условий испытания.

472

. Для контроля правильности работы станка-автомата произведены две выборки по 10 деталей в начале и в конце смены и измерены их диаметры. По результатам измерений получено: по первой выборке d1 = 24,59 мм, s1 = 0,49 мм, по второй выборке d2 = 24,55 мм, s2 = 0,96 мм. Определить, нуждается ли станок в наладке при = 0,05.

4.Радиолокатор, точность работы которого характеризуется средним квадратическим отклонением, равным 0 м, определяет дальность до корабля. Результаты двух измерений через некоторый промежуток времени оказались 15220 и 15110 м. При = 0,05 установить приближается ли корабль к радиолокатору.

5.При контроле высоты орбиты космического аппарата через заданный промежуток времени получены следующие результаты (км):

1-я серия

201,58

200,00

199,75

197, 8

200,58

200,41

198,54

2-я серия

200,90

198,09

200,06

198,46

197,92

200,76

200,82

При = 0,05 установить, изменилась ли высота орбиты. 6. Результаты 1000 измерений сопротивлений резисторов

(Ом) приведены в таблице. Проверить гипотезу о нормальном законе распределения по методу Колмогорова при = 0,1.

1

2

 

4

5

6

7

8

9

10

интервала

 

 

 

 

 

 

 

 

 

 

Границы

95–

96–

97–

98–

99–

100–

101–

102–

10 –

104–

интервала

96

97

98

99

100

101

102

10

104

105

Число

2

14

68

170

2 6

284

148

60

14

4

резисторов

 

 

 

 

 

 

 

 

 

 

7. Резерфордом и Гейгером в течение 2608 периодов по 7,5 с подсчитывалось число частиц, излучаемых радиоактивным объектом. В таблице приведены результаты наблюдения числа i интервалов времени в течение которых в счетчик попало ровно k частиц. Используя метод Пирсона, при = 0,1 проверить гипотезу о том, что число интервалов подчиняется закону Пуассона.

k

0

1

2

 

4

5

6

7

8

9

10

i

57

20

8

525

5 2

408

27

1 9

45

27

16

47

8. По каждой из 100 мишеней произведено по 10 выстрелов. Фиксировались только попадания и промахи. Результаты стрельб приведены в таблице.

Число попаданий

0

1

2

 

4

5

6

7

8

9

10

Число мишеней

0

2

4

10

22

26

18

12

4

2

0

Используя метод Пирсона, проверить гипотезу о биномиальном распределении числа мишеней при = 0,1.

9. Семь монет подбрасывались одновременно 15 6 раз, и отмечалось число выпавших гербов. В таблице приведены числа i случаев, когда число выпавших гербов было равно k.

k

0

1

2

 

4

5

6

7

i

12

78

270

456

86

252

69

1

Используя метод Пирсона, проверить гипотезу о биномиальном распределении числа выпавших гербов при = 0,05.

10. В таблице представлено появление цифр среди 800 первых десятичных знаков числа p.

Цифры

0

1

2

 

4

5

6

7

8

9

Числа

74

92

8

79

80

7

77

75

76

91

Используя метод Пирсона, проверить гипотезу о равномерном распределении цифр при = 0,10.

вопросыдлясамопроверки

1.Поясните этапы проверки статистических гипотез классическим методом.

2.Что такое гипотеза и какие гипотезы вы знаете? В чем их отличие друг от друга?

. Какие требования предъявляются к показателю согласованности?

4.Поясните сущность ошибок первого и второго рода.

5.Что понимают под мощностью показателя согласованности?

474

6.Какие задачи решают при обосновании закона распределения случайной переменной?

7.С помощью чего можно приближенно определить гипотетический закон распределения?

8.Сформулируйте задачу проверки гипотезы о виде закона распределения?

9.Какие методы проверки гипотезы о виде закона распределения вы знаете? В чем их суть?

10.Какие два случая выделяют при проверке гипотезы о равенстве математических ожиданий?

11.Какова последовательность проверки гипотезы о равенстве математических ожиданий?

12.В чем заключается особенность проверки гипотезы о равенстве математических ожиданий при неизвестной точности измерений?

1 . Какова последовательность проверки гипотезы о равенстве дисперсий?

14.В чем заключается принципиальное отличие проверки гипотез методом последовательного анализа от классического?

15.Какие этапы выделяют при проверке гипотез методом последовательного анализа?

16.Какая подготовительная работа должна быть проведена до начала проверки гипотез методом последовательного анализа?

475