Материал: Анализ и учет денежных потоков предприятия

Внимание! Если размещение файла нарушает Ваши авторские права, то обязательно сообщите нам

наличные деньги, поступившие в кассы юрлиц, подразделений, ИП, частным нотариусам в качестве возврата наличных денег, ранее полученных по чеку в обслуживающих банках и выданных на командировочные расходы, расчеты, осуществляемые между юрлицами, их обособленными подразделениями, ИП, и оплату труда, расходуются юрлицами, подразделениями, ИП частными нотариусами на те цели, на которые были получены по чеку в обслуживающих банках, и не включаются в выручку;

при наступлении срока сдачи выручки, установленного в решении руководителя юрлица, подразделения или лица, им уполномоченного, ИП, открывшего текущий (расчетный) банковский счет, частного нотариуса, выручка сдается в банк в полном размере за вычетом предполагаемых расходов в этот день (оплата труда, выплата стипендий, пенсий, дивидендов, пособий, алиментов, осуществление расчетов наличными деньгами между юрлицами, их обособленными подразделениями, ИП, выплата дохода предпринимателя, частного нотариуса и др.);

лица, получившие наличные деньги или деньги с использованием корпоративных карточек под отчет на предстоящие расходы, работники, получившие деньги под отчет на расходы, связанные со служебными командировками, посредством их зачисления на карт-счет, и расходовавшие средства с использованием корпоративных (личных) карточек, а также работники, использовавшие свои личные деньги в интересах нанимателя для приобретения товаров (работ, услуг), представляют отчет об израсходованных суммах в бухгалтерскую службу лично, с использованием автоматизированной подсистемы документационного обеспечения или по почте (при этом датой представления отчета считается дата отправления заказного письма);

величина размера потребности в разменных наличных деньгах на одно рабочее место кассира, уполномоченное лицо устанавливается для обеспечения бесперебойного функционирования с учетом необходимости ускорения оборачиваемости и своевременного поступления наличных денег в банки, обеспечения сохранности, а также специфики работы (розничная торговля, общественное питание, услуги и т.п.) юрлица, подразделения, ИП, открывшего текущий (расчетный) Банковский счет.

В ОДО «Центр уникальных технологий» имеется две кассы:

главная, в которой осуществляется выдача зарплаты, командировочных расходов работников организации, а также оприходуется выручка полученная от реализации товаров в магазинах розничной торговли;

операционная, находящаяся в магазинах розничной торговли семенами, удобрениями и прочими видами товаров, в которую оприходуется выручка от их реализации с использованием кассовых суммирующих аппаратов.

Главная касса предприятия ОДО «Центр уникальных услуг» оборудована специальным образом. Это изолированное помещение, имеющее сигнализацию, металлические решетки на окнах, несгораемые металлические шкафы для хранения денег и ценных бумаг. Двери в кассу во время совершения операций заперты с внутренней стороны. Доступ в кассу посторонним лицам воспрещается.

В ОДО «Центр уникальных услуг» кассовые операции производит кассир, Стефанин Л.Н., являющийся материально ответственным лицом. Он несет ответственность за сохранность всех принятых на хранение наличных денег и денежных документов. Кассиру запрещено передавать свои обязанности другим лицам. В конце рабочего дня кассир закрывает сейф ключом и опечатывает его печатью. Ключи от сейфа и печать хранятся у кассира, а дубликаты ключей - в опечатанном кассиром пакете у руководителя предприятия.

Все операции по поступлению и расходованию денежных средств в главную кассу кассир записывает в кассовую книгу, которая пронумерована, прошнурована и опечатана сургучной или мастичной печатью. Количество листов в ней заверено подписями руководителя предприятия, на которого возложена функции главного бухгалтера. В конце рабочего дня кассир подсчитывает в кассовой книге итоги операций за день и выводит остаток денег в кассе на следующий день. Записи в кассовой книге ведут через копировальную бумагу на 2-х листах. Один лист отрывают, его сдают в конце дня со всеми приходными и расходными документами. Контроль за правильным ведением кассовой книги возлагается на директора [7].

Первые экземпляры остаются в кассовой книге, а вторые отрываются и передаются в бухгалтерию в качестве отчета кассира. На предприятии кассовая книга ведется с помощью программно-технических средств (программы 1С: Бухгалтерия версия 7.7.) с обеспечением полной сохранности кассовых документов. При этом листы кассовой книги формируются в виде выходной формы «Вкладной лист кассовой книги». Одновременно с ней формируется выходная форма «Отчет кассира». Данные документы формируются в конце каждого рабочего дня и должны содержать все необходимые реквизиты.

Записи в кассовую книгу производятся кассиром по каждому ордеру, сначала все приходные, затем все расходные. Потом выводится остаток денег в кассе, отрывной лист кассовой книги с приложенными первичными документами передается в бухгалтерию в качестве отчета кассира. Регистрами учета, в которых отражаются кассовые операции, являются журнал-ордер №1 по кредиту счета 50 «Касса» и ведомость №1а по дебету счета 50. Журнал-ордер используют для фиксирования кредитовых оборотов; ведомость» 1а - дебетовых оборотов по счету 50. Записи проводят с разделением операций по корреспондирующим счетам. Основанием для бухгалтерских записей в журнале-ордере №1 и ведомости №1а являются проверенные отчеты кассира с приложенными к ним первичными документами. Записи в журнале-ордере производят итогами за день на основании расходной части отчетов кассира с приложенными первичными документами.

Учет денежных средств в кассе на основании первичных документов, кассовых отчетов, журнала регистрации приходных и расходных ордеров ведется в журнале-ордере №1 по кредитовому признаку, а дебет счета 50 «Касса» отражается в ведомости. Журнал-ордер №1 и ведомость 1а являются регистрами годичного обращения. Они брошюруются в виде тетрадей с вкладными листами и открываются для учета кассовых операций на календарный год. Общий кредитовый оборот из журнала-ордера №1 записывается в главную книгу в кредит счета 50, а составляющие его суммы по дебетуемым счетам переносят в дебет соответствующих счетов. Так в ОДО «Центр уникальных услуг» автоматизированная система учета, то данные документы представлены в электронной форме.

Остаток средств в кассе отражается в ведомости только на начало года и на конец каждого месяца. На протяжении месяца для контроля и оперативных целей используют данные об остатках средств, приведенные в отчете кассира.

При внутрихозяйственном контроле важное значение имеет взаимная сверка оборотов в регистрах учета. Поэтому в ОДО «Центр уникальных технологий», прежде чем перенести итоги журнала-ордера №1 по кредитовым оборотам в главную книгу их по каждому корреспондирующему счету сверяются с данными других регистров. После сверки регистров обороты по счету 50 «Касса» разносят в главную книгу. [9]

На предприятии деньги в главную кассу получает кассир с расчетного счета в банке по денежным чекам. Чеки сброшюрованы в чековой книжке, которую предприятие получает в банке по заявлению и хранит в кассе вместе с наличными деньгами. Заполненные чеки подписываются руководителем, главным бухгалтером и скрепляются печатью. На оборотной стороне чека указывается, на какие цели необходимы деньги. Предприятие имеет право расходовать деньги только на те цели, на которые они получены.

Прием и выдача денег по кассовым ордерам может производиться только в день их составления.

В ОДО «Центр уникальных услуг» выдача заработной платы, премий, пособий производится по платежной или расчетно-платежной ведомости в течение трех рабочих дней, после чего на общую сумму выданной зарплаты по ведомости составляется один общий расходный кассовый ордер с проставлением его даты и номера на каждой платежной ведомости либо расходный кассовый ордер оформляется на общую сумму выплаченных наличных денег по каждой платежной ведомости.

Для учета наличия и движения денежных средств в кассе предназначен синтетический активный счет 50 «Касса». В соответствии с рабочим планом счетов к счету 50 открыты следующие субсчета:

.1 «Главная касса»;

.2 «Валютная касса».

За анализируемый период движений по валютной кассе не наблюдалось.

Прием наличных денег в кассу оформляется приходными кассовыми ордерами (форма №КО-1), которые подписываются главным бухгалтером и кассиром. При приеме наличных денег плательщику выдается квитанция (корешок приходного ордера), скрепленная печатью. [5]

Приход наличных денег в ОДО «Центр уникальных услуг» осуществляется от двух видов деятельности. Это приход выручки от реализации товаров оптовой и розничной торговли.

Так, 04.02.13 г. прием денег в кассу производится от покупателя за реализованный товар от оптовой торговли от ИП «Кулага Е.А» оформляется приходным кассовым ордером №0802456 от 04.02.13 г. на сумму 3136200 руб. При этом в учете делается запись:

Дебет 50.1 Кредит 62.2.1 3136200 руб.

ОДО «Центр уникальных услуг» имеет на балансе несколько магазинов, каждый из которых имеет оснащен кассовым аппаратом. Журнал кассира-операциониста должен храниться в непосредственной близости от кассового аппарата, так как при налоговых проверках кассовой дисциплины инспектор в первую очередь требует предоставить журнал кассира-операциониста, карточку регистрации кассового аппарата и проверяет наличные денежные средства в кассовом ящике, их соответствие с текущим отчетом.

Таким образом, поступление денег в главную кассу производится путем оприходования выручки от реализации товаров в магазинах розничной торговли, которое зафиксировано в книге кассира операциониста по графе 8 (Приложение И). Так зафиксировано поступление торговой выручки от «ЭкоУсадьбы Ивье» 06.02.13 г. приходным кассовым ордером №0802468 на сумму 3700000 руб. При этом в учете делается запись:

Дебет 50.1 Кредит 50.6 3700000 руб.

.02.13 г. по приходному кассовому ордеру №0802459 от ИП «Кулага Е.А» на сумму 3000000 руб. При этом в учете делается запись:

Дебет 50.1 Кредит 62.2.1 3000000 руб.

.02.13 г. по приходному кассовому ордеру №0802471 от «ЭкоУсадьбы Ивье» на сумму 5700000 руб. При этом в учете делается запись:

Дебет 50.1 Кредит 50.6 5700000 руб.

.02.13 г. по приходному кассовому ордеру №0802460 на сумму 1340290, а также 26 февраля 2013 г. на сумму 500000 руб. При этом в учете делаются записи:

Дебет 50.1 Кредит 62.2.1 1340290 руб.;

Дебет 50.1 Кредит 62.2.1 500000 руб.

Приток денег также был обеспечен за счет поступления выручки от розничной торговли по приходному кассовому ордеру от 28.02.2013 г. на суммуи14168960. При этом в учете делается запись:

Дебет 50.6 Кредит 90.1 4000000 руб.

Выдача наличных денег производится по расходным кассовым ордерам (форма №КО-2 и КО-2в в иностранной валюте). В них указывается, кому, на какие цели и какая сумма должна быть выдана, а также паспортные данные получателя и расписка в получении денег.

Выдача денег из главной кассы осуществляется для расчетов с персоналом по оплате труда. Так, 20.02.13 г. была выдана зарплата Стефанину Александру Леонидовичу по расходному кассовому ордеру №10 на сумму 426300 руб. При этом в учете делаются записи:

Дебет 70 Кредит 50.1 426300 руб.

Так, 20.02.13 г. была выдана зарплата Стефанину Леониду Никитовичу по расходному кассовому ордеру №10 на сумму 836120 руб. При этом в учете делаются записи:

Дебет 70 Кредит 50.1 836120 руб.

Так, 20.02.13 г. была выдана зарплата Шабанович Еве Семеновне по расходному кассовому ордеру №10 на сумму 1318800 руб. При этом в учете делаются записи:

Дебет 70 Кредит 50.1 1318800 руб.

При получении зарплаты работники расписываются в платежной ведомости №8 от 09.08.12 г. к которому составляется расходный кассовый ордер №10 на общую сумму - 2583220 руб., который переносится в отчет кассира.

Отток денежных средств из главной кассы организации производится по причине сдачи розничной выручки на расчетный счет ОДО «Центр уникальных услуг». Данная операция производилась 06.02.13 г. расходным кассовым ордером №6 на сумму 2600000 руб. При этом в учете делаются записи:

Дебет 51 Кредит 50.1 2600000 руб.

А также 27.02.13 г. расходным кассовым ордером №8 на сумму 4000000 руб. При этом в учете делаются записи:

Дебет 51 Кредит 50.1 4000000 руб.

Также расходным кассовым ордером №9 была сдана на расчетный счет выручка от розничной торговли на сумму 6000000 руб. При этом в учете делается запись:

Дебет 51 Кредит 50.6 6000000 руб.

Также расходование денег производилось на хозяйственные нужды 20.02.2013 г. на сумму 5000000 руб. При этом в учете делается запись:

Дебет 71.1 Кредит 50.1 4000000 руб.

Отток денег был получен также за счет возврата предоплаты за товар на сумму 8000000 руб. 28.02.2013 г. по расходному кассовому ордеру №13. При этом в учете делается запись:

Дебет 62.2.1 Кредит 50.1 8000000 руб.

Таким образом все представленные бухгалтерские записи фиксируются ежедневно в отчете кассира, из отчета кассира переносятся в карточку счета за месяц (Приложение Р), к которой в программе 1с: Бухгалтерия формируется анализ счета (Приложение С).

Все бухгалтерские записи по движению денежных средств в главной кассе ОДО «Центр уникальных технологий» за август 2012 г.представлены в таблице 2.

Таблица 2 - Бухгалтерские записи по счету 50.1 в ОДО «Центр уникальных услуг» за февраль 2013 г.

Содержание хозяйственной операции

Дебет

Кредит

Сумма, руб.

1. Выданы из кассы деньги на хозяйственные нужды

71.1

50.1

5000000

2. Выданы из кассы деньги для возврата предоплаты за товар

62.2

50.1

8000000

3.В кассу поступила выручка от оптовой торговли

50.1

62.2

7476490

4. Из кассы выдана заработная плата работникам

70

50.1

2583220

5. В кассу поступила выручка от реализации товаров в магазинах

50.1

90.1

14168960

6. Сдана на расчетный счет выручка от реализации товаров

51

50.1

12600000


В ОДО «Центр уникальных технологий» осуществляется автоматизированный бухгалтерский учет, поэтому все документы на основании которых были сформированы бухгалтерские записи взяты из приложения 1С: Бухгалтерия. Таблица 2 разработана на основании карточки счета 50 и анализа счета 50.

В соответствии с Правилами ведения кассовых операций в сроки, установленные руководителем субъекта хозяйствования, но не реже одного раза в квартал, должна проводиться внезапная ревизия кассы с полным полистным пересчетом денежной наличности и проверки других ценностей, находящихся в кассе.

Ревизия кассы в ОДО «Центр уникальных технологий» не реже одного раза в квартал производятся их ревизионными комиссиями.

Для проведения ревизий кассы приказом руководителя предприятия назначается комиссия. Во время ревизии производится полный полистный пересчет денежной наличности, находящихся в кассе. По результатам проверки кассы комиссией составляется акт. В случае выявления отклонений данных бухгалтерского отчета от фактического наличия. В противном случае справка.

При обнаружении ревизией недостач или излишков денежных средств в акте указывается сумма недостачи или излишка и обстоятельства их возникновения.

В ОДО «Центр уникальных технологий» по состоянию на 01.02.13 г. была проведена инвентаризация денежных средств в кассе.

Отклонений данных бухгалтерского учета от фактического наличия не выявлено, однако в случае возникновения таких случаев в учете составляется следующие бухгалтерские записи.

При инвентаризации выявлены излишки денежных средств в кассе: 

Дебет 50.1 Кредит 90.7.

При инвентаризации выявлена недостача денежных средств в кассе:

Дебет 94 Кредит 50.1.

Установлено лицо, виновное в недостаче денежных средств в кассе: 

Дебет 73.2 Кредит 94.

Внесены деньги в кассу лицом, виновным в недостаче денежных средств, выявленной при инвентаризации кассы:         

Дебет 50.1 Кредит 73.2.

Удержаны из заработной платы денежные средства с лица, виновного за недостачу, выявленную при инвентаризации кассы:        

Дебет 70 Кредит 73.2.

В случаях недостачи в кассе по причине чрезвычайных ситуаций в учете делается запись:

Дебет 90.8 Кредит 94.


2.2 Документальное оформление и учет денежных средств на расчетном счете

Денежные средства организации обязаны хранить на открытых ими в соответствующих учреждениях банков счетах. Банки открывают организациям, предпринимателям расчётные (текущие) и другие счета. К ним относятся депозитные, корреспондентские, субсчета, контокоррентные, а также счета в иностранной валюте (включая специальные) и др.

Открытие других счетов осуществляется банками самостоятельно с учётом требований законодательства Республики Беларусь.

Для их открытия (переоформления ранее открытых) текущих (расчётных) и других счетов в банк необходимо предоставить следующие документы:

копия (заверенная владельцем счёта) устава (учредительного договора - для коммерческой организации, действующей только на основании учредительного договора), имеющего штамп, свидетельствующий о проведении государственной регистрации;

карточка с образцами подписей должностных лиц юридического лица, имеющих право подписи документов для проведения расчётов, и оттиска печати по установленной банком форме.

В ОДО «Центр уникальных технологий» открыт текущий (расчетный) счет в белорусских рублях для хранения денежных средств, поступающих в пользу организации в банке «Банк Москва-Минск» по договору №02-11/459 (Приложение Т).

В случае осуществления расчётов с использованием электронных расчётных документов организация предоставляет в банк карточку открытого ключа проверки подписи, удостоверенную подписью и печатью владельца личного ключа подписи. В ОДО «Центр уникальных технологий» данное право имеет директор организации Стефанин Л.Н.

Поступление денежных средств на расчётный счет в ОДО «Центр уникальных технологий» в основном происходит за реализованную продукцию, оказанные работы и услуги покупателями заказчикам, а также внесение наличных денег из кассы организации, арендной платы, полученных кредитов и займов и др. С расчётного счёта производятся платежи: за полученные товарно-материальные ценности поставщиками, за выполненные работы и оказанные услуги подрядчиками, платежи по налогам в бюджет, погашение задолженности Фонду социальной защиты населения, а также по банковским кредитам, выдачу наличных денег в кассу для оплаты труда, командировочных расходов и т.д.

Платежи с расчётных счетов производятся за счёт средств, находящихся на счёте на начало дня.

Если денежных средств на счёте достаточно, то оплата документов осуществляется в очерёдности, определённой самой организацией. При недостаточности денежных средств на расчётном счёте оплата документов осуществляется в очередности, установленной Указом Президента Республики Беларусь от 28.03.2006. №181 а также Постановления Правления Нацбанка Республики Беларусь от 13.04.2006. №59 «О внесении изменений и дополнений в Инструкцию об организации исполнения платежей с текущих (расчётных) счетов в белорусских рублях в очередности, установленной законодательством». [3]

Получение наличных денежных средств со счёта организации регламентируется Инструкцией по использованию чековой книжки для получения наличных денег. Чековая книжка для получения наличных денег предназначена для выдачи из касс банков наличных денежных средств в белорусских рублях юридическим лицам независимо от организационно-правовых форм и форм собственности, включая их обособленные подразделения, а также индивидуальным предпринимателей с их текущих (расчётных) и иных счетов.      В ОДО «Центр уникальных технологий» не допускается выплата наличных денежных средств по чеку, оформляется на имя директора, подписавшего чек за исключением чеков по счетам организаций Министерства обороны Республики Беларусь, Министерства внутренних дел Республики Беларусь, Комитета государственной безопасности Республики Беларусь, а также членов по счетам юридических лиц и индивидуальных предпринимателей, у которых в штате нет другого лица, на которое можно возложить получение наличных денег.

Выдача чековой книжки владельцу счёта в банке производится по письменному заявлению на получение чековых книжек за подписями лиц, уполномоченных распоряжаться счётом.

В ОДО «Центр уникальных технологий» расчёты в безналичной форме проводятся в виде банковского перевода, аккредитива, инкассо.

Расчёты проводятся через банк на основании расчётных документов, которые выдаются в письменной или электронной форме. При оформлении документов не допускаются помарки, подчистки и исправления. Банковские документы действительны к предъявлению в обслуживаемый банк в течение десяти календарных дней, не считая дня их выписки.

ОДО «Центр уникальных технологий» платёжными поручениями рассчитывается за полученные товары и оказанные услуги по нетоварным операциям, предварительную оплату товаров и мелких услуг, по однородным поставкам, предстоящие перевозки автотранспортными организациями, перечисления средств бюджету, фонду социальной защиты населения и др.

При расчётах платёжными требованиями (акцептная форма расчётов) получатель средств представляет в обслуживающий его банк расчётный документ, содержащий требование к плательщику об уплате получателя определённой суммы через банк за отгруженные (отпущенные) товарно-материальные ценности, выполненные работы и оказанные услуги. Банк оплачивает эти требования с согласия (акцепта) плательщика с его счёта.

Платёжное требование составляется на пяти бланках (ф. №0401890001). Если оно не совмещено со спецификой, к нему должны прикладываться товарно-транспортные либо заменяющие их документы. При иногородних расчётах в банк предъявляются три, при одногородних - четыре экземпляра требований. При этом составляется реестр (ф. №0401710008) в двух экземплярах. Требования сдаются в банк на инкассо вслед за отгрузкой товара или оказанием услуг, но не позднее срока давности (один год с момента отгрузки). Требования с последующим акцептом или без него, подлежащие оплате в течение операционного дня, оплачиваются в тот же день, а при отсутствии или недостаточности средств на счетах плательщика и невозможности предоставления кредита для их оплаты помещаются в картотеку №2. требования, акцептованные покупателями, но не оплаченные им в срок, оплачиваются по мере поступления средств на счёт плательщика. [6]

В ОДО «Центр уникальных технологий» осуществляется большой перечень операций на расчетном счете. На примере хозяйственных операций за август 2012 г. рассмотрим методику учета движения денежных средств на расчетном счете.

Зачисление денег на расчетный счет производится из кассы. Данная операция отражается соответствующим объявлением на взнос наличных денег. Так 06.02.13 г. по расчетному кассовому ордеру №6 произведено зачисление на расчетный счет суммы 4000000 руб. При этом делается следующая бухгалтерская запись:

Дебет 51 Кредит 50.1 2600000 руб.

.02.13 г. по расчетному кассовому ордеру №9 произведено зачисление на сумму 6000000 руб. При этом делается следующая бухгалтерская запись:

Дебет 51 Кредит 50.1 4000000 руб.

.02.13 г. по расчетному кассовому ордеру №9 произведено зачисление на сумму 6000000 руб. При этом делается следующая бухгалтерская запись:

Дебет 51 Кредит 50.1 6000000 руб.

Одним из источников зачисления денежных средств на расчетный счет является возврат денежных средств, излишне перечисленных для покупки валюты. Данная хозяйственная операция совершалась 21.02.13 г. на основании выписки банка №31 на сумму 160000 руб. При этом делается следующая бухгалтерская запись:

Дебет 51 Кредит 57.2 160000 руб.

А также 28.02.13 г. на основании мемориального ордера по выписке банка №38 на сумму 900000 руб. При этом делается следующая бухгалтерская запись:

Дебет 51 Кредит 57.2 900000 руб.

В ОДО «Центр уникальных технологий» деньги на расчетный счет поступают в виде выручки от реализации товаров. Данная операция на предприятии совершалась 01.02.13 г. на основании выписки банка №17 на сумму 1000000 руб. за микробиологические удобрение. Данная операция сопровождается следующей бухгалтерской проводкой:

Дебет 51 Кредит 62.2 1000000 руб.

.02.13 г. на основании платежного поручения №543 по выписке банка №17 на сумму 1900164 произведена оплата за средства защиты растений. При этом делается запись:

Дебет 51 Кредит 62.2 1900164 руб.

.02.13 на основании платежного поручения №27 по выписке банка №19 на сумму 1714171 руб. за строительные, отделочные материалы и предметы интерьера. При этом делается запись:

Дебет 51 Кредит р62.2 1714171 руб.

Отток денег с расчетного счета производится на уплату комиссии за покупку иностранной валюты на бирже. Данные операции совершались 06.02.13 г. на основании мемориального ордера по выписке банка №21 на сумму 150000 руб. При этом делается запись:

Дебет 44.2 Кредит 51 150000 руб.

Также 15.02.13 г. на основании мемориального ордера по выписке банка №44 на сумму 1000 руб. При этом делается запись:

Дебет 44.2 Кредит 51 1000 руб.

.02.13 г. на основании мемориального ордера по выписке банка №31 на сумму 28400 руб. При этом делается следующая бухгалтерская запись:

Дебет 44.2 Кредит 51 28400 руб.

Замечание: в соответствии с типовым планом счетов №50 от 29 июня 2011 г. и инструкции по его применению запрещены прямые корреспонденции счетов денежных средств со счетами затрат.

Таким образом при оплате комиссии банку в учете должна делаться запись:

Дебет 76 Кредит 51 150000 руб.;

Дебет 44 Кредит 76 94568 150000 руб.

Также при абонентской плате за пользование системой «Клиент-банк» согласно договору в учете должна делаться запись:

Дебет 76 Кредит 51 1000 руб.;

Дебет 44 Кредит 76 1000 руб.

Также при оплате комиссии за покупку иностранной валюты на бирже в учете должна делаться запись:

Дебет 76 Кредит 51 28400 руб.;

Дебет 44 Кредит 76 28400 руб.

Расходование денег с расчетного счета производится на перечисление рублевого эквивалента на покупку валюты на бирже. Данная операция совершалась 20.02.13 г. на основании платежного поручения №91 по выписке банка №32 на сумму 3000000 руб. При этом делается следующая бухгалтерская запись:

Дебет 57.2 Кредит 51 3000000 руб.

Также 27.02.13 г. На перечисление рублевого эквивалента на покупку валюты на бирже по выписке банка №37 на сумму 15000000 руб. При этом делается следующая бухгалтерская запись:

Дебет 57.2 Кредит 51 15000000 руб.

Отток денег с расчетного счета производится на погашение кредиторской задолженности поставщикам, например за удобрения полученные по договору. Данная операция совершалась 04.02.13 г. на основании платежного поручения №57 по выписке банка №19 на сумму 3000000 руб. При этом делается следующая бухгалтерская запись:

Дебет 60.1 Кредит 51 3000000 руб.

.02.13 г. по выписке банка №19 на хозяйственные товары на сумму 443088 руб. При этом делается следующая бухгалтерская запись:

Дебет 60.1 Кредит 51 443088 руб.

В ОДО «Центр уникальных технологий» расходование денег с расчетного счета производится на уплату подоходного налога с заработной платы работников. Так за 20.02.13 г. на основании платежного поручения №93 по выписке банка №32 была погашена кредиторская задолженность бюджету по подоходному налогу на сумму 206100 руб. При этом делается следующая бухгалтерская запись:

Дебет 68.4 Кредит 51 206100 руб.

Также перечисление денег с расчетного счета осуществлялось на погашение обязательных страховых взносов в ФСЗН. Данная операция совершалась 20.02.13 г. по выписке банка №32 на сумму 986125 руб. При этом делается следующая бухгалтерская запись:

Дебет 69.1 Кредит 51 986125 руб.

Уменьшение денег на расчетном счете происходит за счет перечисление предоплаты за аренду части склада. Данная операция совершалась 11.02.13 г., оплачено платежное поручение за коммунальные услуги в размере 625507 руб. по выписке банка №24. При этом делается следующая бухгалтерская запись:

Дебет 76.7.7 Кредит 51 625507 руб.

.02.13 г. за услуги широкополосного доступа в сеть интернет по технологии ADSL (byfly) за период с 01.03.2013 г. по 31.03.2013 г. на основании выписки банка №32 производилось перечисление на сумму 78450 руб. При этом делается следующая бухгалтерская запись:

Дебет 76.7.7 Кредит 51 78450 руб.

Таблица 3 - Бухгалтерские записи по счету 51 в ОДО «Центр уникальных услуг» за феврал 2013 г.

Содержание хозяйственных операций

Дебет

Кредит

Сумма, руб.

1. С расчетного счета производится уплата комиссии за покупку иностранной валюты на бирже

44.2

51

323753

2. Возврат денежных средств, излишне перечисленных для покупки валюты

51

57.2

1283500

3. Производится перечисление рублевого эквивалента на покупку валюты на бирже

57.2

51

18000000

4. С расчетного счета производится погашение кредиторской задолженности перед поставщиками





60

51

32210345

5. На расчетный счет зачислены деньги от покупателей

51

62

67280877

6. На расчетный счет получены деньги из кассы

51

50

12600000

7. С расчетного счета производится оплата подоходного налога в бюджет

68

51

3206100

8. С расчетного счета производится оплата в ФСЗН

69

51

986125

9. С расчетного счета погашена кредиторская задолженность с разными дебиторами и кредиторами за микробиологические удобрения

76

51

11098273


Таким образом все операции отражаются в карточке счета 51 за август месяц (Приложение), на основании которой в программе 1С: Бухгалтерия версия 7.7 анализ счета 51 за анализируемый период (Приложение). Данные бухгалтерские записи отражаются в конце учетного процесса в главной книге.


2.3 Документальное оформление и учет денежных средств на валютном счете

Во внешней торговле расчеты между субъектами хозяйствования осуществляются в основном с использованием иностранной валюты в безналичном порядке. В соответствии с Законом Республики Беларусь «О валютном регулировании и контроле» от 22.07.2003 №226-3 иностранная валюта - это денежные знаки в виде банкнот, казначейских билетов, монет, находящиеся в обращении, и являющиеся законным платежным средством в соответствующем иностранном государстве или группе государств, а также средства в денежных единицах иностранных государств и международных денежных и расчетных единицах, находящиеся на счетах в банках и небанковских кредитно-финансовых организациях Республики Беларусь и за ее пределами.

Для осуществления внешнеэкономической деятельности субъекты хозяйствования должны открыть валютный счет в одном из уполномоченных банков. На каждый вид валюты открывается отдельный валютный счет. Расчеты с иностранными партнерами, как правило, осуществляют в свободно конвертируемой и твердой валюте.

Текущий валютный счет открывается для хранения и использования валютных средств, остающихся в распоряжении предприятия. Порядок открытия текущего валютного счета регламентирован правилами открытия банкам счетов клиентов в Республике Беларусь, утвержденными постановлением Правления Национального банка Республики Беларусь от 28.09.2000 г. №2412 (с учетом изменений и дополнений). При открытии текущего валютного счета в иностранных валютах на каждый вид иностранной валюты открывается отдельный лицевой счет. Несколько текущих счетов в иностранных валютах в различных учреждениях банков могут быть открыты только с разрешения Национального банка Pеспублики Беларусь. Текущий валютный счет открывается предприятию при предоставлении следующих документов.

• заявление на открытие счета по установленной банком форме, подписанное лицом уполномоченным на открытие счета;

• копия (заверенная владельцем счета) устава (учредительного договора - для коммерческой организации, действующей только на основании учредительного договора), имеющего штамп, свидетельствующий о проведении государственной регистрации;

• карточка с образцами подписей должностных лиц юридического лица, имеющих право подписи документов для проведения расчетов, и оттиска печати по установленной банком форме. [5]

Между банком и предприятием заключается договор на расчетно-кассовое обслуживание, в котором оговариваются права и обязанности сторон, оплата услуг банка и доходы клиента.

Так в ОДО «Центр уникальных технологий» в открытом акционерном обществе «Банк Москва-Минск» открыт текущий (расчетный) банковский счет в иностранной валюте (российских рублях). Данный счет используется для расчетов с поставщиками (Российской Федерации) за оказанные услуги.

В соответствии с Указом Президента Республики Беларусь от 17.07.2006 №452 «Об обязательной продаже иностранной валюты» (с учётом изменений и дополнений), предприятия и организации обязаны продавать 30% поступившей на их счет свободно конвертируемой валюты и российских рублей в течение семи рабочих дней со дня зачисления валютных средств на их счет. Постановлением Правления Национального банка Республики Беларусь от 13.09.2006 №129 установлен следующий перечень иностранных валют, подлежащих обязательной продаже на внутреннем валютном рынке: австралийский доллар; датская фона; доллар США; евро; исландская крона; иена; канадский доллар; норвежская фона; российский рубль; фунт стерлингов; шведская крона; швейцарский франк. Так как в ОДО «Центр уникальных технологий» не поступает валютная выручка, то не осуществляется ее обязательная продажа.

Транзитный валютный счет предназначен для зачисления в полном объеме поступивших в адрес предприятия (организации) валютных средств в СКВ и российских рублях. Транзитный валютный счет открывается банком предприятию самостоятельно при первом поступлении средств в свободно конвертируемой валюте и российских рублях, при условии наличия в банке текущего валютного счета. Транзитный валютный счет открывается на отдельном лицевом счете балансового счета, на котором открыт счет в иностранной валюте юридического лица (его структурного, обособленного подразделения) или индивидуального предпринимателя, и только к тем счетам, на которые в соответствии с режимом счета возможно поступление выручки в иностранной валюте. После поступления валютной выручки на транзитный валютный счет уполномоченный банк не позднее следующего рабочего дня представляет предприятию выписку по его транзитному валютному счету. В течение семи рабочих дней со дня зачисления валютных средств на транзитный валютный счет предприятие должно произвести распределение валютных средств и представить в банк следующие документы для проведения обязательной продажи валюты:

) реестр распределения иностранной валюты по установленной форме;

) платежное поручение на сумму иностранной валюты, подлежащей продаже на бирже в счет обязательной продажи;

) платежное поручение на сумму иностранной валюты менее лота, установленного на торгах биржи, для продажи банку в счет обязательной продажи;

) платежное поручение на перечисление иностранной валюты с транзитного счета на валютный (текущий) счет юридического лица или индивидуального предпринимателя на сумму, остающуюся после обязательной продажи. [7]

Реестр распределения составляется в двух экземплярах, один из которых храните банке, второй - у юридического лица или индивидуального предпринимателя. Обязательная продажа осуществляется через обслуживающий банк на торгах открытого акционерного общества «Белорусская валютно-фондовая биржа» в суммах кратных 1 лоту (лот - минимальная сумма иностранной валюты, которая может быть предложена к покупке и или продаже, конверсии, равная 10 000 единиц иностранной валюты). Если сумма иностранной валюты, подлежащей обязательной продаже, менее лота, установленного на биржевых торгах, такая продажа осуществляется обслуживающему банку. Обязательная продажа сумм иностранной валюты менее лота, установленного на биржевых торгах, осуществляется по биржевому курсу белорусского рубля к соответствующей иностранной валюте, сложившемуся на торгах в день осуществления обязательной продажи. Если в день осуществления обязательной продажи торги по данной иностранной валюте на бирже не проводились либо данная иностранная валюта не котируется на биржевых торгах, обязательная продажа такой иностранной валюты осуществляется по официальному курсу белорусского рубля к соответствующей иностранной валюте, установленному на день осуществления обязательной продажи.

Если предприятие по истечении семи рабочих дней после поступления валютных средств на транзитный валютный счет не представило в уполномоченный банк поручение на проведение обязательной продажи валюты в соответствии с законодательством, то уполномоченный банк самостоятельно списывает иностранную валюту, подлежащую обязательной продаже, с транзитного валютного счета предприятия на транзитный валютный счет для продажи ее на ближайших торгах Белорусской валютно-фондовой биржи. При этом уполномоченный банк не несет ответственности за излишне проданные суммы ин странной валюты (в пределах 30% средств, подлежащих обязательной продаже). В этом случае, если предприятие имело льготу по распределению валютной выручки, а банк ее не учел, излишне проданная валюта принимается в зачет при распределении валютных средств, поступивших позднее на валютный счет субъекта хозяйствования. Законодательством Республики Беларусь предусмотрены следующие меры ответственности юридических лиц и индивидуальных предпринимателей за несвоевременное и неполное распределение валютной выручки:

штраф в размере до 1% непроданной валюты за каждый день просрочки (но не более суммы средств, подлежащих обязательной продаже);

штраф за необоснованное занижение суммы валютных средств, подлежащих обязательной продаже (на сумму непроданных валютных средств).

Операции по зачислению валютных средств на текущих валютный счет или списание с него валюты банк производит на основании письменных распоряжений владельцев счета или с их согласия. Исключение составляют платежи, взыскиваемые в бесспорном порядке по решению хозяйственных и народных судов, налоговых и финансовых органов и др.

Для обобщения информации о наличии и движении денежных средств в иностранной валюте типовым планом счетов бухгалтерского учета предусмотрен счет 52 «Валютные счета», к которому согласно Положению по бухгалтерскому учету имущества и обязательств организации, стоимость которых выражена в иностранной валюте, могут (п. 3 Инструкции о порядке применения типового плана счетов бухгалтерского учета, утвержденной постановлением Минфина РБ от 29.06.2011 №50, далее - Инструкция №50) быть открыты следующие субсчета. [8]

.1 - «Текущий валютный счет»;

.2 - «Специальный валютный счет»;

.3 - «Транзитный валютный счет»;

.4 - «Валютные счета за рубежом».

Так поступление денег на специальный валютный счет производится в результате поступления валюты купленной в ОАО «БВФБ» согласно платежному поручению №636843 от 21.02.13 г. по выписке банка №34 на сумму 10000 рос. руб. // 2850000 руб. При этом в учете делается следующая запись:

Дебет 52.2 Кредит 57.2 10000 рос. руб. // 2850000 руб.

Также поступление производится в результате поступления валюты купленной в ОАО «БВФБ» 28.02.13 г. по выписке банка №42 на сумму 50000 рос. руб. // 14100000 руб. При этом в учете делается запись:

Дебет 52.2 Кредит 57.2 50000 рос. руб. // 14100000 руб.

Уменьшение денег на специальном валютном счете производится в целях погашения кредиторской задолженности поставщику микробиологических удобрений. Так 21.02.13 г. осуществлялась оплата на основании платежного поручения №35 по выписке банка №34 на сумму 10000 рос. руб. // 2850000 руб. При этом в учете делается запись:

Дебет 60.2 Кредит 52.2 10000 рос. руб. // 2850000 руб.

А также 28.08.12 г. оплата за микробиологические удобрения осуществлялась по выписке банка №42 на сумму 50000 рос. руб. // 14100000 руб. При этом в учете делается запись:

Дебет 60.2 Кредит 52.2 50000 рос. руб. // 14100000 руб.

Таблица 4 - Бухгалтерские записи по счету 51 в ОДО «Центр уникальных услуг» за февраль 2013 г.

Содержание хозяйственной операции

Дебет

Кредит

Рос. руб. // сумма, руб.

1. Покупка иностранной валюты согласно заявки.

52.2

57.2

50000 // 16950000

2. Перечислены деньги с валютного счета на погашение задолженности поставщикам из РФ за удобрения.

60.2

52.2

50000 // 16950000


Пересчет иностранной валюты в белорусские рубли производят по официальному курсу Национального Банка Республики Беларусь на дату совершения операции. При изменении Национальным Банком курсов иностранных валют возникают курсовые разницы, которые необходимо отразить на счетах бухгалтерского учета. В инструкции по бухгалтерскому учету «Доходы организации» дано следующее определение курсовых разниц: курсовой разницей для целей бухгалтерского учета признается разница между рублевой оценкой соответствующего актива и обязательства, стоимость которых выражена в иностранной валюте, исчисленной по курсу Национального банка Республики Беларусь на дату исполнения обязательств по оплате или отчетную дату составления бухгалтерской отчетности за отчетный период, и их рублевой оценкой, исчисленной по курсу Национального банка Республики Беларусь на дату принятия к бухгалтерскому учету в отчетном периоде или отчетную дату бухгалтерской отчетности за предыдущий отчетный период. Положительные курсовые разницы возникают в случае, когда курс белорусского рубля по отношению к иностранной валюте падает, а отрицательные курсовые разницы - когда курс белорусского рубля по отношению к иностранной валюте растет.

Курсовые разницы, возникающие при проведении переоценки активов и обязательств, стоимость которых выражена в иностранной валюте, в бухгалтерском учете будут отражаться:

по дебиторской задолженности по расчетам с учредителями по вкладам в уставный фонд:

Дебет (Кредит) 82 Кредит (Дебет) 75.

по средствам целевого финансирования, полученным в иностранной валюте, при переоценке их остатков на валютных счетах в банках, в кассах организации, в пути, а также при переоценке дебиторской или кредиторской задолженности, возникшей при осуществлении расчетов этими средствами:

Дебет (Кредит) 98 Кредит (Дебет) счета учета денежных средств.

по кредиторской задолженности, дебиторской задолженности по выданным авансам на выполнение работ и приобретение оборудования и материалов, возникших при осуществлении капитальных вложений в не завершенные строительством объекты, основные средства и нематериальные активы до ввода их в эксплуатацию:

Дебет (Кредит) 08 Кредит (Дебет) 60.

в иных случаях:

Дебет (Кредит) 91 Кредит (Дебет) счетов учета денежных средств.

2.4 Пути совершенствования учета денежных средств в контексте перехода на международные стандарты финансовой отчетности в условиях использования современных информационных технологий

Анализируя постановку учёта денежных средств в бухгалтерии ОДО «Центр уникальных технологий», следует отметить, что учёт операций с денежными средствами ведётся в соответствии с положением по ведению кассовых операций. Основная причина этого заключается в строгой регламентации этого участка учёта со стороны государства, при чём организация постоянно ощущает контроль над собой в этой области со стороны обслуживающих банковских учреждений и налоговых органов.

Анализ отечественной и зарубежной учетной практики позволил выявить возможность улучшения качества работы бухгалтерии на этом участке.

В последнее время все большее распространение получают расчеты с использованием пластиковых карт. Введение пластиковых карт позволит сократить наличный оборот денежных средств в ОДО «Центр уникальных технологий». Это быстрый и удобный способ безналичных расчетов, который позволяет получать заработную плату и оплачивать командировочные расходы. Кроме того, получать деньги на карту удобно и самому работнику: можно рассчитываться ею в магазине, где стоят терминалы, получать всевозможные скидки, снять необходимую сумму в любое время, а не «транспортировать» всю полученную зарплату с собой.

Чтобы добиться снижения размера дебиторской и кредиторской задолженности ОДО «Центр уникальных технологий» необходимо грамотно ей управлять. Для этого необходимо иметь достоверную информацию о состоянии расчетов. Одним из средств контроля за достоверностью учета дебиторской и кредиторской задолженности является встречная проверка осуществляемая путем сличения данных дебиторов и кредиторов в акте сверки. Проведенный своевременно анализ дебиторов позволяет выявить просроченную задолженность и принять меры к взысканию денежных средств. В ОДО «Центр уникальных технологий» сверка производится не часто. [8]

Также для ОДО «Центр уникальных технологий» можно предложить такой путь совершенствования учета денежных средств, как переход с программного обеспечения 1С: Бухгалтерия версии7.7 к 1С: Бухгалтерия версия 8. Данная программа позволяет:

оперативный учет и контроль движения денежных средств предприятия на расчетных счетах и в кассах;

оперативное планирование поступлений и расходов денежных средств - платежный календарь.

Платежный календарь представляет собой совокупность заявок на расходование денежных средств и планируемых денежных поступлений. При составлении платежного календаря автоматически проверяется его выполнимость (достаточность денежных средств на счетах и в кассе предприятия).

Предусмотрена возможность учета денежных расчетов в иностранных валютах. Обеспечивается взаимодействие со специализированными банковскими программами типа «Клиент-банк».

Функциональное управление взаиморасчетами и контрагентами охватывает полный цикл операций по взаимодействию с деловыми партнерами от момента возникновения обязательств по договорам до их выполнения. Программа позволяет анализировать изменение задолженности во времени, поддерживает методики учета задолженностей в различных разрезах по договорам, счетам, заказам.

Реализован учет движения наличных и безналичных денежных средств в рублях и иностранной валюте. Автоматизированы операции по расчетам с поставщиками, покупателями и подотчетными лицами, внесение наличных на расчетный счет и получение наличных по денежному чеку, приобретение и продажа иностранной валюты. При отражении операций суммы платежей автоматически разбиваются на аванс и оплату. На основании кассовых документов формируется кассовая книга. Реализован механизм обмена информацией с программами типа «Клиент-банк». [5]

Также можно предложить приобретение и установку в магазины розничной торговли терминалов. Это позволит уменьшить объем работ выполняемых бухгалтером предприятия, а также более быстро зачислять деньги из кассы магазина на расчетный счет, миную такие операции как отнесение денег в главную кассу предприятия, отнесение денег в банк, зачисление их на расчетный счет. Терминал позволит осуществлять зачисление денежных средств с карт счетов покупателей на расчетный счет ОДО «Центр уникальных технологий».

В работе были выявлены следующие ошибки методологического характера:

В ОДО «Центр уникальных технологий» перечисление денег с расчетного счета в целях уплаты комиссии за покупку иностранной валюты на бирже в учете сопровождается бухгалтерской записью:

Дебет 44 Кредит 51.

В соответствии с типовым планом счетов №50 от 29 июня 2011 г. и инструкцией по его применению запрещаются прямые корреспонденции счетов денежных средств со счетами затрат. Таким образом при оплате комиссии банку в учете должна делаться запись:

Дебет 60 Кредит 51.

Дебет 44 Кредит 60.

В ОДО «Центр уникальных технологий» учет расчетов по оплате коммунальных услуг в учете сопровождается бухгалтерской записью:

Дебет 76 Кредит 51.

В соответствии с типовым планом счетов №50 и инструкцией по его применению счет 60 «Расчеты с поставщиками и подрядчиками» предназначен для обобщения информации о расчетах с поставщиками, подрядчиками, исполнителями за приобретенное имущество, выполненные работы, оказанные услуги и др., а также о расчетах с использованием аккредитивов. При этом в учете должна делаться запись:

Дебет 60 Кредит 51.


3. Анализ денежных потоков в ОДО «Центр уникальных технологий»

.1 Анализ состава и структуры денежных средств

Денежные средства и ценные бумаги - наиболее ликвидная часть текущих активов, являются составляющей оборотного капитала. К денежным средствам относятся деньги в кассе, на расчетных и депозитных счетах.

Главным документов для анализа денежных потоков является «Бухгалтерский баланс». С помощью данного документа можно установить: уровень финансирования инвестиционной и текущей деятельности за счет собственных источников; зависимость предприятия от внешних заимствований; дивидендную политику в отчетном периоде и прогноз на будущее; финансовую эластичность предприятия, т.е. его способность создавать денежные резервы (чистый приток денежных средств); реальное состояние платежеспособности предприятия за истекший период и прогноз на следующий краткосрочный период. По данным «Бухгалтерского баланса» за 2011 г. (Приложение А) и 2012 г. (Приложение Б) была составлена таблица №1.

Таблица 5 - Анализ динамики структуры краткосрочных активов ОДО «Центр уникальных технологий»

Оборотные активы организации

На 01.01.2012 г.

На 01.01.2013 г.

Изменения суммы, млн. руб.

Изменения в%

Изменения структуры, п.п.


Сумма, млн. руб.

Уд. вес, %

Сумма, млн. руб.

Уд. вес, %




Краткосрочные активы

152

100

387

100

235

254,6

-

1. Запасы

76

50

239

61,757

163

314,47

11,757

1.1. Сырье и материалы

3

1,97

3

0,775

0

0

-1,195

1.1.2. Готовая продукция и товары для реализации

73

48.03

236

61

-12

130

13

2. Расходы будущих периодов

1

0,657

1

0,258

0

0

-0,399

4. Краткосрочная дебиторская задолженность

64

42,77

132

34,383

68

206,25

-8,387

5. Денежные средства и их эквиваленты

11

7,23

15

3,88

4

136,36

-3,35


В результате осуществления в 2012 году коммерческой деятельности предприятие существенно на 235 млн. р. увеличила объем денежной массы в части поступления денежных средств. Данную ситуацию можно оценить положительно, т.к. она свидетельствует о росте масштабов реализации товаров, однако это увеличение произошло главным образом за счет увеличения товаров для реализации на складе на 163 млн. р. Сокращение объемов продаж произошло по причине того, что реализуемая продукция носит сезонный характер, вследствие чего к концу года производилась закупка товаров на весенне-летний период. Также это свидетельствует об увеличении числа покупателей и расширении рынков сбыта за анализируемый период.

В динамике произошло увеличение дебиторской задолженности организации, что свидетельствует об ухудшении финансового состояния организации. Это произошло главным образом за счет того, что в договорах с покупателями имеется отсрочка по выплате задолженности.

За анализируемый период произошло увеличение денежных средств на 4 млн. р. за счет увеличения объема денежных средств находящихся на расчетном счете и в кассе.

На основе анализа счетов 50 за 2011 г. (Приложение В) и 2012 г. (Приложение Г), 51 за 2011 г. (Приложение Д) и 2012 г. (Приложение Е), 52 за 2011 г. (Приложение Ё) и 2012 г. (Приложение Ж), 57 за 2011 г. (Приложение З) и 2012 г. (Приложение И) можно произвести следующий анализ структуры денежных средств на предприятии.

Таблица 6 - Состав и структура денежных средств ОДО «Центр уникальных технологий» за 2011-2012 гг.

Показатель

На 01.01. 2012 г.

На 01.01. 2013 г.

Структура

Изменение структуры

Изменение в%




01.01.2012

01.01.2013



Денежные средства (всего)

11000000

15000000

100

100

-

-

касса

7111931

4701079

64.65

31.34

-33.31

-48,48

расчетные счета

3073869

10298921

27.94

68.66

+40.72

+245,74

прочие денежные средства

814200

0

7.41

0

-7.41

0


Структуру денежных средств предприятия удобно представить в графическом виде (рис. 2).

Рисунок 2 - Динамика структуры денежных средств ОДО «Центр уникальных технологий» за 2011-2012 гг.

Как видно из таблицы 2 и рисунка 2, остатки денежных средств в кассе в 2011 году составляет значительный удельный вес в общем объеме денежных средств предприятия. Это объясняется преобладанием наличной формы расчета с клиентами. Расчетные счета в этом году занимает меньшую долю, так как в организации незначительная часть расчетов с поставщиками и выплаты заработной платы производилась по безналичному расчету.

В 2012 году наибольший удельный вес занимают расчетные счета. С расчетного счета производятся почти все платежи предприятия: оплата поставщикам за материалы, погашение задолженности бюджету, социальному страхованию, получение денег в кассу для выдачи заработной платы, материальной помощи, премий и т.п. Таким образом, структура денежных средств предприятия не является стабильной.

3.2 Анализ движения денежных средств

Одним из главных условий нормальной деятельности предприятия является обеспеченность денежными средствами, оценить которую позволяет анализ денежных потоков.

Обеспечить успешное функционирование предприятия в рыночных условиях может только непрерывное движение денежных средств - их поступление (приток), расход (отток), наличие определенного остатка на счетах в банке. Денежные потоки анализируются по отдельным договорам (контрактам), их совокупности, в целом по предприятию, по видам деятельности.

Наличие денежных средств тесно связано с прибылью и движением оборотного капитала. Если субъект хозяйствования произведет и реализует рентабельную продукцию, то это является важнейшей предпосылкой хорошего состояния потока денежных средств. Однако предприятие может быть прибыльным по данным бухгалтерского учета и отчетности и в то же время испытывать определенные трудности в оплате срочных обязательств. Одной из причин такого положения является специфика отражения информации в отчетности о финансовых результатах. Информация о потоке денежных средств формируется по кассовому методу, т.е. по факту их движения на счетах в банке. Следствием использования разных методов формирования информации является несоответствие реального потока денежных средств сумме прибыли, отраженной в отчетности.

Кроме, того денежный поток и расчет прибыли могут не совпадать по времени при использовании метода признания прибыли от реализации продукции по моменту ее отгрузки. В этом случае продукция может считаться реализованной в одном временном периоде, а деньги поступят в другом. Поэтому ориентация при оценке финансового состояния только на данные о прибыли несколько условна и может привести к повышению финансового риска.

Анализ потоков денежных средств может быть как внутренним, так и внешним.

Для осуществления внутреннего анализа имеется вся требуемая информация. Для внешнего анализа необходимо наличие соответствующей доступной информации. Такая информация содержится в приложении №4 «Отчет о движении денежных средства».

Показатели, содержащиеся в приложении №4, могут быть использованы для анализа динамики потока денежных средств, расчета показателей платежеспособности, изучения структуры расходования денежных средств (на текущую деятельность, капитальные вложения, социальное развитие, финансовые вложения и пр.).

В таблице 7 приведены показатели, отражающие динамику движения денежных средств за 20011-2012 годы по видам деятельности на основании приложения.


Таблица 7 - Показатели движения денежных средств ОДО «Центр уникальных технологий» за 2011-2012 гг. по видам деятельности

Показатель

Сумма денежных средств, млн. руб.

Отклонение в млн. руб.

Удельный вес, %

Отклонение в%

Темпы роста, %









01.01. 2012 г.

01.01. 2013 г.


2011

2012



Остаток денежных средств на начало года

2

11.5

+9.5

0.509

0.602

0.093

575

Поступило денежных средств всего в т. ч. по видам деятельности: текущей инвестиционной финансовой

 390.9   387.9 0 3

 1897   1897 0 0

 +1506.1   +1509.1 0 -3

 99.49   98.73 0 0.764

 99.4   99.4 0 0

 -0.09   0.77 0 -0.767

 486,05    486,05 0 300

Итого с остатками

392.9

1908.5

+1518.6

100

100


486,51

Расходование денежных средств всего в т. ч. по видам деятельности: текущей инвестиционной финансовой

 381.4   381.4 0 0

 1901   1898 0 3

 +1519.6   +1516.6 +0 +3

 100   100 0 0

 100   99,84 0 0.158

 498,43    476,64 0 300

Остаток денежных средств на конец года

 11.5

7.5

 -4

 -

 -

 -

 91,3


Рассматривая показатели денежных потоков по видам деятельности, следует отметить, что наибольший объем денежных средств обеспечивает текущая деятельность. Сумма притока денежных средств по текущей деятельности в 2012 году составила 1897 млн. руб., что на 1509.1 млн. руб. больше, чем в предыдущем году. Удельный вес данного показателя в общем объеме всех денежных поступлений составил в 2012 году 99.4%, что на 0,09% меньше показателя 2011 г. Все это свидетельствует о расширении масштабов деятельности организации ОДО «Центр уникальных технологий». Ведь именно текущая (основная) деятельность должна обеспечивать условие достаточности денежных средств для осуществления операций по инвестиционной и финансовой деятельности.

Отток по текущей деятельности в 2012 году увеличился по сравнению с 2011 г. на 1519.6 мыл. руб., темп увеличения составил 498.43%, это является, несомненно, отрицательным моментом, так как это свидетельствует о большем расходовании денег на предприятии, и как следствие ухудшении финансового состояния. При этом следует отметить, что удельный вес оттока денежных средств по текущей деятельности за 2012 г. снизился на 0, 16%.

Что касается инвестиционной и финансовой деятельности, то они занимает незначительную долю притока и оттока денежных средств. Удельный вес инвестиционной и финансовой деятельности в 2012 году в части притока денежных средств соответственно составили 0% и 0,158%. Абсолютная величина притока по инвестиционной деятельности не изменилась, а по финансовой деятельности снизилась на 3 млн. руб. Отток денежных средств по инвестиционной деятельности также не изменился.

Изучив данные таблицы 3, можно сделать вывод, что в 2012 г. по сравнению с 2011 г. денежные потоки по всем видам деятельности почти по всем источникам поступления и расходования имели тенденцию к повышению. Это свидетельствует об увеличении собственных ресурсов денежных средств, а также об незначительном увеличении финансовой зависимости от заемного капитала.

По имеющимся данным проанализируем структуру поступления и выбытия денежных средств ОДО «Центр уникальных технологий» за 2011-2012 гг. Показатели, характеризующие отдельные элементы положительных денежных потоков, объединены в две группы. В первую группу включаются показатели денежных поступлений, участвующих в формировании финансового результата от основной деятельности организации. В состав второй группы вошли показатели денежных поступлений в виде кредитов и займов.

Таблица 8 - Структура притока денежных средств ОДО «Центр уникальных технологий» за 2011-2012 гг.

Показатель

Сумма денежных средств, млн. руб.

Отклонение

Удельный вес, %

Отклонение в%

Темпы роста, %


2011

2012


2011

2012



Выручка от реализации товаров, работ, услуг

206

1233

+1027

61.771

56.66

-4.88

598,54

Кредиты, займы и прочие заемные средства

3

0

-3

0.769

0

-0.769

0

Прочие поступления

181

664

+483

46.46

34.34

-12.12

366.85

Всего поступило денежных средств

390

1897

+1513

100

100

-

487.18


Рисунок 3 - Динамика притока денежных средств ОДО «Центр уникальных технологий» за 2011-2012 гг.

Как видно из таблицы 4, наибольший приток денежных средств ОДО «Центр уникальных технологий» в 2011-2012 гг. был обеспечен за счет выручки от реализации товаров, работ, услуг. Их удельный вес в общей сумме денежных поступлений составил 61.54% в 2011 г. и 56.66% в 2012 г., величина снижения данных показателей составила 4.88%, при этом произошло увеличение в абсолютном выражении данного показателя на 1510 млн. руб., темп увеличения - 487.18%.

Вместе с тем сравнение относительных показателей структуры притока денежных средств показало снижение в 2012 г. по сравнению с 2011 г. кредитов, займов и прочих заемных средств на 3 млн. руб., темп снижения составил -0%, их удельный вес в 2011 г. 0.769%, что выше на 0.769% по сравнению с 2012 г. Это свидетельствует об снижении финансовой зависимости организации от внешних источников финансирования.

В 2012 г. наблюдалось повышение денежных поступлений от прочих видов деятельности (дивидендов, процентов и пр.), сумма которых увеличилась на 483 млн. руб., удельный вес снизился на 12.12% и составил 34.34%.

Таблица 9 - Структура оттока денежных средств ОДО «Центр уникальных технологий» за 2011-2012 гг.

Показатель

Сумма денежных средств, млн. руб.

Отклонение в млн. руб.

Удельный вес, %

Отклонение в%

Темпы роста, %


01.01.2012

01.01.2013


01.01.2012

01.01.2013



Приобретение запасов, работ, услуг

186

880

+694

49

46

-3

473

На оплату труда

11

18

+7

3

1

-2

164

На уплату налогов и сборов

35

91

+56

9

4,78

-4,15

260

На погашение кредитов и займов

0

3

+3

0

0,15

+0,15

0

На прочие выплаты

149

909

+760

39

48

+9

610

Всего израсходовано денежных средств

381

1901

+1520

100

100

-

499


Рисунок 4 - Динамика оттока денежных средств ОДО «Центр уникальных технологий» за 2011-2012 гг.

Как видно из таблицы 5, наибольший отток денежных средств ОДО «Центр уникальных технологий» в 2011-2012 гг. был обеспечен за прочих выплат. Их удельный вес в общей сумме расходования денег составил 39% в 2011 г. и 48% в 2012 г., величина увеличения данных показателей составила 9%, при этом произошло увеличение в абсолютном выражении данного показателя на 1520 млн. руб., темп увеличения - 499%.

Вместе с тем сравнение относительных показателей структуры оттока денежных средств показало увеличение в 2012 г. по сравнению с 2011 г. кредитов, займов и прочих заемных средств на 3 млн. руб., темп снижения составил -0%, их удельный вес в 2011 г. 0%, что ниже на 0.15% по сравнению с 2012 г. Это свидетельствует об увеличении финансовой зависимости организации от внешних источников финансирования.

В 2012 г. наблюдалось повышение денежных расходов на уплату налогов и выплату заработной платы. Увеличение данных показателей в абсолютном выражении составило 56 млн. руб. и 7 млн. руб. соответственно. Темп роста на 260% и 164% соответственно.

Для обеспечения финансовой независимости предприятие должно иметь достаточное количество собственного капитала. Для этого необходимо, чтобы предприятие работало прибыльно. Для обеспечения этой цели важное значение имеет эффективное управление притоком и оттоком денежных средств, оперативное реагирование на отклонения от заданного курса деятельности.

Ключевым моментом управления ликвидностью бизнеса является цикл денежного потока (финансовый цикл).

Финансовый цикл представляет собой время, в течение которого денежные средства отвлечены из оборота. Другими словами, финансовый цикл включает в себя: инвестирование денежных средств в сырье, материалы, полуфабрикаты и комплектующие изделия, и другие активы для производства продукции; реализация продукции, оказание услуг и выполнение работ; получение выручки от реализации продукции, оказания услуг, выполнения работ.

Важным моментом в управлении денежными потоками является определение продолжительности финансового цикла, заключенного в интервале времени с момента приобретения производственных ресурсов до момента поступления денежных средств за реализованный товар.

Операционный цикл характеризует общее время, в течение которого финансовые ресурсы омертвлены в запасах и дебиторской задолженности. Поскольку предприятие оплачивает счета с временным лагом, время, в течение которого денежные средства отвлечены из оборота, то есть финансовый цикл, меньше на среднее время обращения кредиторской задолженности.

Таблица 10 - Анализ чистого денежного потока по ОДО «Центр уникальных технологий» за 2011-2012 года

Показатели

Положительный денежный поток, млн. р.

Отрицательный денежный поток, млн. р.

Чистый денежный поток, млн. р.

2011 г.

390

381

9

2012 г.

1897

1901

-4

Изменение:

1507

1520

-13


Коэффициент прироста денежного притока - характеризует темп прироста денежного притока, можно рассчитывать как по совокупному денежному притоку, так и по отдельным источникам его формирования:

К =П1 - П0 / П0; (2.1)

K=(1897-390)/390=3.86.

Коэффициент прироста денежного оттока - характеризует темп и наращивания оттока денежных средств, можно рассчитывать как по валовому оттоку, так и по его отдельном элементам:

К= (Р1 - Р0) / Р0; (2.2)


К= (1901-381)/381= 3.99.

На основании расчета можно сделать вывод о том, что коэффициент прироста денежного притока незначительно меньше коэффициента денежного оттока, то есть возник дефицит денежных средств.

Коэффициент прироста чистого денежного потока - характеризует темп и чистого денежного потока как в целом по организации, так и по отдельным видам деятельности, а также по операциям внутреннего и внешнего характера.

Результат коэффициента прироста чистого денежного потока получился отрицательным. Анализ показателей динамики денежных потоков представлен в таблице 8.

Таблица 11 - Анализ показателей динамики денежных потоков в ОДО «Центр уникальных технологий» за 2011-2012 год

Показатель

Расчет

Значение

Коэффициент прироста денежного притока

(1897-390)/390

3,86

Коэффициент прироста денежного оттока

(1901-381)/301

3,99


Показатели качества денежного потока позволяет оценить структуру притока, оттока денежных средств и денежного потока. Они характеризуют далекое участие отдельных операций, видов деятельности в образовании денежного потока организации, раскрывают важнейшие составные элементы формирования денежных потоков организации с учетом специфики его функционирования; а также определяют те виды деятельности, которые генерируют основной приток денежных средств и требуют их оттока. Показатели качества способствуют выявлению закономерностей в поступлении и расходовании денежных средств организации. При этом представляют практический интерес, внутренние закономерности, формирующиеся в условиях изменений состояния отдельных видов притока и оттока денежных средств. Данные показатели проанализируем в таблице 10.

Таблица 12 - Анализ показателей эффективности использования денежных средств  ОДО «Центр уникальных технологий» за 2011-2012 гг.

Наименование показателя

Алгоритм расчета

Значение показателя

Изменение



2011 г.

2012 г.




Расчет

Результат

Расчет

Результат


Коэффициент прилива денежного потока

ЧДП / Он

9/2

4,5

-4/11,5

-0,3478

-4,76

Коэффициент оседания денежного потока

ЧДП / П

9/390

0,023

-4/1897

0,0021

+0,02142

Коэффициент достаточности денежных средств

П / Р

390/381

1,024

1897/1901

0,998

-0,026

Коэффициент покрытия оттока денежных средств

н + П) / Р

2+390/381

1,029

11,5+1897/1901

1,004

-0,025

Коэффициент абсолютной ликвидности

Ок / КО

11,5/243

0,047

10,5/340

0,031

-0,016


В таблице ЧДП - чистый денежный поток, Он - остатки на начало года, П - положительный денежный поток, Р - отрицательный денежный поток, Ок - остатки на конец года, КО - краткосрочные обязательства.

Данные таблицы показывают, что темп прироста денежного притока ниже темпа прироста денежного оттока на 0,026 пункта в 2012 году по сравнению с 2011 годом. Снижение чистого денежного потока составило минус 13. Данные коэффициенты показывают отрицательный прирост денежных средств на предприятии.

Превышение оттока денежных средств относительно их притока подтверждается и коэффициентом достаточности денежных средств, значение которого больше единицы, однако произошло его снижение на 0,025 за 2012 год.

Сопоставляя фактические данные по каждой статье поступления и расходования денежных средств с базовыми данными (плана, предыдущего периода), можно сделать выводы относительно способности предприятия наращивать денежные средства в результате своей основной деятельности. Если результатом основной деятельности является не приток, а отток денежных средств и эта ситуация повторяется из года в год, то это может привести в конечном итоге к несостоятельности предприятия.

Расчет чистого денежного потока косвенным методом осуществляется путем соответствующей корректировки чистой прибыли на сумму изменений в запасах, дебиторской задолженности, кредиторской задолженности, краткосрочных финансовых вложений и других статей актива, относящихся к текущей деятельности. Источниками информации для расчета и анализа денежных потоков косвенным методом являются отчетный бухгалтерский баланс и отчет о прибылях и убытках. Косвенный метод более предпочтителен с аналитической точки зрения, так как позволяет объяснить причины расхождений между финансовыми результатами и свободными остатками денежной наличности. Косвенный метод позволяет перейти от величины полученного финансового результата к показателю чистого денежного потока (общего изменения денежных средств за период). Источниками информации для проведения анализа являются анализы и карточки счетов 50, 51, 52, 57 за 2011 г. и 2012 г.


Таблица 131 - Динамика денежных потоков в ОДО «Центр уникальных технологий» за 2011-2012 гг.

Месяц периода

Показатель, руб.


2011 г.

2012 г.


Положит. денежный поток ПДП

Отрицат. ден. поток ОДП

Чистый денежный поток ЧДП

Положит. ден. Поток ПДП

Отрицат. ден. поток ОДП

Чистый денежный поток ЧДП

Январь

8387770

4173185

4214585

57147296

51954821

5192475

Февраль

20284101

21249888

-965787

126640387

139184887

-12544500

Март

62314426

51415888

10898538

379395624

316092195

63303429

Апрель

68061666

49134760

18926906

182838743

218060237

-35221494

Май

41103205

25591872

15511333

280697472

296455449

-15757977

Июнь

23418322

47540841

-24122519

242894432

250729079

-7834647

Июль

12438443

24776580

-12338137

120431947

105706437

14725510

Август

37126554

29163677

7962877

107876140

111773757

-3897617

Сентябрь

46827745

48436043

-1608298

157628292

176139527

-18511235

Октябрь

36311763

46314966

-10003203

101154120

92969025

8185095

Ноябрь

14544658

20326945

-5782287

76856751

79030571

-2173820

Декабрь

20081347

13275355

6805992

66435796

62904715

+3531081

Итого за период

390000000

381000000

9500000

1897000000

1901000000

-4000000

Среднее

32500000

31750000

750000

158083333

158416667

-333334


Приведенные в таблице данные наглядно показывают, в какие периоды у организации был излишек денежных средств, а в какие - недостаток. Так в январе, марте, апреле, мае, августе, декабре предприятие имело положительный денежный поток, превышающий отрицательный. В остальной же период предприятие испытывало недостаток денежных средств.


Рисунок 5 - График синхронизации денежных потоков в ОДО «Центр уникальных технологий» за 2011 г.

Рисунок 6 - График синхронизации денежных потоков в ОДО «Центр уникальных технологий» за 2012 г.

По полученным графическим результатам можно сделать вывод о том, что в 2012 году соотношение притока и оттока денежных средств являлось более синхронизированным, по сравнению с 2011 годом, где на протяжении всего периода наблюдалось превышение оттока над притоком.

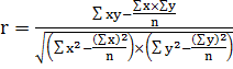
Прежде всего, проведем корреляционный анализ прямолинейной зависимости. Для этого необходимо составить уравнение связи: Yx=a+bx.

Для определения параметров а и b воспользуемся системой уравнений:

, (2.4)

где n - число наблюдений;

х - положительный денежный поток;

у - отрицательный денежный поток.

Таблица 14 - Расчет производных данных для корреляционного анализа за 2011 год

п/п

X

Y

X*Y

x2

y2

1

8.388

4.173

70,358544

17,413929

2

20.284

21.250

431,035

411,440656

451,5625

3

62.314

45.416

2830,052624

3883,034596

2062,613056

4

68.062

49.135

3344,22637

4632,435844

2414,248225

5

41.103

25.592

1051,907976

1689,456609

654,950464

6

23.418

47.541

1113,315138

548,402724

2260,146681

7

12.438

24.777

308,176326

154,703844

613,899729

8

37.127

29.164

1082,771828

1378,414129

850,538896

9

46.828

48.436

2268,161008

2192,861584

2346,046096

10

36.312

46.315

1681,79028

1318,561344

2145,079225

11

14.545

20.327

295,656215

211,557025

413,186929

12

20.081

13.275

266,575275

403,246561

176,225625

Итого

390,000

381,000

149089,26

152802,81

145465,96

Среднее

32.500

31.750

1035,331225

1061,130625

1010,159089





Таблица 15 - Расчет производных данных для корреляционного анализа за 2012 год

п/п

X

Y

Xy

x2

y2

1

2

3

4

5

6

1

57.147

51.955

2969,072385

3265,779609

2699,322025

2

126,640

139.184

17626,26176

16037,6896

19372,18586

3

379.395

316.092

119923,7243

143940,566

99914,15246

4

182.838

218.060

39869,65428

33429,73424

47550,1636

5

280.697

296.455

83214,02914

78790,80581

87885,56703

6

242.894

250.729

60900,56973

58997,49524

62865,03144

7

120.432

105.706

12730,38499

14503,86662

11173,75844

8

107.876

111.773

12057,62415

11637,23138

12493,20353

9

157.628

176.139

27764,43829

24846,58638

31024,94732

10

101.154

92.969

9404,186226

10232,13172

8643,234961

11

76.856

79.030

6073,92968

5906,844736

6245,7409

12

66.436

62.904

4179,090144

4413,742096

3956,913216

Итого

1897

1901

3611900

3610000

3613801

Среднее

158.083

158.416

25091.985

25088.342

25095.629


. (2.5)

Данный показатель за 2011 г.:

Данный показатель за 2012 г.:

Коэффициент вариации характеризует относительную меру отклонения отдельных значений от среднего уровня показателя. Для его расчета используется формула:

. (2.6)

Данный показатель за 2011 г.:

Данный показатель за 2012 г.:

Коэффициент корреляции показывает степень синхронизации денежных потоков за анализируемый период. Он рассчитывается по формуле:

. (2.7)

Данный показатель за 2011 г.:

      

Данный показатель за 2012 г.:

С учетом всех полученных данных можно составить уравнение корреляции. Для данных 2011 г. оно будет иметь вид:

Y=0,04365+0.97558x

А для данных 2012 г. будет иметь вид:

Y=0.2702+1.0004x

По полученному уравнению корреляции за 2011 год можно сделать вывод о том, что при увеличении положительного денежного потока, отрицательный увеличится в 0,97558 раза. Соответственно за 2012 год - при увеличении положительного денежного потока, отрицательный увеличится в 1,0004 раза. Полученные результаты за 2012 год свидетельствует о неудовлетворительном финансовом состоянии на предприятии.


3.3 Анализ оборачиваемости и рентабельности денежных потоков

Показатели рентабельности, при расчёте которых вместо прибыли используется чистый денежный поток, характеризуют эффективность использования активов и собственного капитала. При расчёте рентабельности продаж в числителе должен быть взят чистый денежный поток от операционной деятельности, так как выручка от реализации продукции (товаров, работ и услуг) является результатом и основным источником поступления денежных средств именно этого вида деятельности. Рентабельность продаж раскрывает долю чистого денежного потока в сумме притока денежных средств от реализации продукции.

Коэффициенты рентабельности позволяют сопоставить темпы изменения чистого денежного потока с темпами изменения собственного капитала, активов, выручка от реализации продукции и оттока денежных средств.

Рентабельность активов - характеризую эффективность использования активов организации, сумму чистого денежного потока на 1 руб. имеющегося имущества.

Анализ показателей рентабельности представлен в таблице 11. Источником информации для составления данной таблицы является бухгалтерский баланс.

Таблица 16-Анализ показателей рентабельности в ОДО «Центр уникальных технологий» за 2011-2012 гг.

Наименование показателя

Алгоритм расчета

Значение показателя

Изменение



2011 г.

2012 г.




Расчет

Результат

Расчет

Результат


Рентабельность оборотных активов

ЧДП/КА

9/152

0,059

-4/387

-0,0103

-0,0693

Рентабельность собственного капитала

ЧДП/СК

9/-90

-0,1

-4/48

-0,0833

+0,0167

Рентабельность продаж

ЧДП/В

9/240

0,0375

-4/1077

-0,0037

-0,0412


В данной таблице ЧДП - чистый денежный поток КА - краткосрочные активы, СК - собственный капитал, В-выручка от реализации товаров, работ, услуг.

Рисунок 7 - Динамика изменения рентабельности денежных средств ОДО «Центр уникальных технологий» за 2011-2012 гг.

Показатели эффективности использования денежных средств по абсолютной величине поступления, использования и остатка денежных средств не позволяют судить о том, насколько эффективно организация использовала эти средства в исследуемом периоде. Для оценки эффективности использования денежных средств определяют показатели оборачиваемости и рентабельности денежных средств.

Показатели оборачиваемости денежных средств можно рассматривать и как показатели ликвидности денежного потока, которые обеспечивают поддерживание постоянной платежеспособности организации. Оборачиваемость в днях денежных средств характеризует период, в течение которого они находятся на счетах организации без движения.

Данный период определяет величину остатка денежных средств. Отсутствие такого минимально необходимого запаса денежных средств свидетельствует о серьёзных финансовых затруднениях организации. И наоборот чрезмерная их величина свидетельствует о нерациональном их вложении и использовании. Замедление оборачиваемости денежных средств отрицательно сказывается на темпах их поступления. Показатели оборачиваемости денежных средств могут быть определены как в целом по организации, так и по видам деятельности.

Показатели рентабельности денежных средств определяются путём сопоставления их остатка и потока с полученным финансовым результатом или чистым денежным потоком.

В зависимости от принимаемых в расчёте показателей денежных потоков организации можно выделить следующие показатели рентабельности денежных средств: рентабельность остатка денежных средств, рентабельность притока денежных средств и рентабельность опока денежных средств. Данные показатели раскрывают сумму прибыли (чистого денежного потока) приходящихся на один рубль денежных средств, находящихся в распоряжении предприятия в течении исследуемого периода, или на один рубль денежных средств, израсходованных организацией за исследуемый период, или на один рубль денежных средств, полученных организацией за исследуемый период.

Рентабельность денежных средств, рассчитанная по чистому денежному потоку, может быть определена как в целом по организации, так и по видам деятельности. Показатели рентабельности, рассчитанные по чистой прибыли, позволяют увязать эффективность использования денежных средств с экономической эффективностью организации.

Коэффициент оборачиваемости денежных средств - характеризует скорость обновления денежных средств на счетах организации за анализируемый период.

Оборачиваемость денежных средств в днях характеризует период обращения денежных средств в анализируемом периоде, раскрывает продолжительность нахождения денежных средств организации с момента их поступления до момента их выбытия.

Результат оборачиваемости денежных средств говорит о том, что денежные средства находятся в процессе своего использования в 2011 году 41,54 дня. Это значит, что у организации нет трудностей со свободной наличностью.

Рентабельность остатка денежных средств характеризует сумму чистого денежного потока (чистой прибыли) на один рубль используемых денежных средств организации.

Рентабельность притока денежных средств характеризует сумму чистого денежного потока (чистой прибыли) на один рубль поступивших денежных средств, позволяет сопоставить темпы роста абсолютного эффекта и положительного денежного потока.

Рентабельность оттока денежных средств характеризует эффективность расходования денежных средств, сумму чистого денежного потока (чистой прибыли) на один рубль израсходованных денежных средств. Позволяет сопоставить темпы роста абсолютного эффекта и отрицательного денежного потока.

Анализ показателей оборачиваемости денежных средств сведен в таблице 12, а анализ показателей рентабельности денежных средств в таблице 13.

Таблица 17 - Анализ показателей оборачиваемости денежных средств в ОДО «Центр уникальных технологий» за2011-2012 гг.

Наименование показателя

Алгоритм расчета

Значение показателя



2011 г.

2012 г.



Расчет

Итог

Расчет

Итог

Коэффициент оборачиваемости денежных средств

Р / Оср

381/5,75

66,26

1901/3,75

506,93

Оборачиваемость денежных средств в днях

Оср * Д / Р

5,75*360 /381

5,43

-3,75*360/1901

0,71


В таблице Р - отрицательный денежный поток, Оср - остатки средние, Д - количество дней в году. Для 2011 года Оср=(2+11,5)/2=5,75. Для 2012 года Оср=(11,5+(-4))/2=3,75.

Рисунок 8 - Динамика изменения оборачиваемости денежных средств ОДО «Центр уникальных технологий» за 2011-2012 гг.

Ликвидность денежных средств определяют посредством расчета показателей оборачиваемости денежных средств. По сравнению с прошлым периодом произошло замедление оборачиваемости денежных средств - с 5,43 до 0,71 дня.


Таблица 18 - Анализ показателей рентабельности денежных средств в ОДО «Центр уникальных технологий» за 2011-2012 гг.

Наименование показателя

Алгоритм расчета

Значение показателя



2011 г.

2012 г.



Расчет

Итог

Расчет

Итог

Рентабельность остатка денежных средств

ЧДП/Оср.

9/5,75

1,57

-4/3,75

-1,06

Рентабельность притока денежных средств

ЧДП/П

9/390

0,023

-4/1897

-0,0021

Рентабельность оттока денежных средств

ЧДП/Р

9/381

0,0236

-4/1901

-0,00211


Рисунок 9 - Динамика изменения рентабельности денежных средств ОДО «Центр уникальных технологий» за 2011-2012 гг.

Показатели рентабельности денежных средств рассчитаны по чистому денежному потоку и характеризуют отдачу денежных средств за соответствующий период. Рентабельность остатка денежных средств снизилась с 1,57 до 1,06.

Рост рентабельности израсходованных и поступивших денежных средств не всегда трактуется как положительная тенденция, т.к. финансовый результат определяется по принципу начисления, а движение денежных средств - по кассовому принципу.

3.4 Выявление и мобилизация текущих и прогнозных резервов интенсивности и эффективности использования чистого денежного потока

Процесс анализа завершается оптимизацией денежных потоков путем выбора наилучших форм их организации на предприятии с учетом внешних и внутренних факторов с целью достижения их сбалансированности, синхронизации и роста чистого денежного потока.

В первую очередь необходимо добиться сбалансированности объемов положительного и отрицательного потоков денежных средств, поскольку и дефицит, и избыток денежных ресурсов отрицательно влияет на результаты хозяйственной деятельности.

Наличие избыточного денежного потока на протяжении длительного времени может быть результатом неправильного использования оборотного капитала.

Чтобы деньги работали на предприятие, необходимо их пускать в оборот с целью получения прибыли:

расширять виды предоставляемых услуг;

обновлять основные средства, приобретать новые технологии;

инвестировать в доходные проекты других хозяйствующих субъектов с целью получения выгодных процентов;

досрочно погасить кредиты банка и другие обязательства с целью уменьшения расходов по обслуживанию долга и т.д.

Дефицит денежных средств приводит к росту просроченной задолженности предприятия по кредитам банку, поставщикам, персоналу по оплате труда, в результате чего увеличивается продолжительность финансового цикла и снижается рентабельность капитала предприятия.

Уменьшить дефицит денежного потока можно за счет мероприятий, способствующих ускорению поступления денежных средств и замедлению их выплат. Ускорить поступление денежных средств можно путем перехода на полную или частичную предоплату услуг покупателям, сокращения сроков предоставления им отсрочки платежа, увеличения ценовых скидок при продажах за наличный расчет, применения мер для ускорения погашения дебиторской задолженности, привлечения кредитов банка, продажи или сдачи в аренду неиспользуемой части основных средств и т.д.

Резервы денежных средств образуются в результате увеличения выручки от реализации продукции. Чем выше выручка, тем больше денежных средств оседает на счетах предприятия.

Специфика анализируемого предприятие ОДО «Центр уникальных технологий» состоит в том, что предприятие осуществляет розничную и оптовую продажу семян, удобрений, саженцев и других видов товаров, поэтому денежный оборот, то есть приток и отток денежной наличности происходит не ежедневно.

Резерв денежной выручки может образоваться в случае, если приток денежных средств значительно больше оттока. В ОДО «Центр уникальных технологий» резервов денежных средств как таковых практически нет, так как приток денежной наличности практически равен или меньше оттока. Поэтому одной из причин уменьшения денежных средств на предприятии является сезонность поступления денежных средств от реализуемого товара. Большим минусом в работе предприятия является то, что в виду сезонности продаж к концу года на склад для продаж в весеннее-летний период закупается большое число продукции, в результате чего синхронизированность притока и оттока денежных средств резко снижается. Поэтому в качестве резерва для данного предприятия можно предложить работу по предоплате с покупателями, а также осуществлять поставки товаров от поставщиков строго под заказ.

Известно, что чем выше оборачиваемость денежных средств, вложенных в данном случае в товар, тем больше товара можно приобрести. Поэтому задачей предприятия является увеличение товарооборота. Для этого следует продавать такие товары, которые пользуются наибольшим спросом у населения и дают возможность предприятию увеличить выручку. В этих же целях предприятие может в качестве эксперимента предоставлять иного рода товары со снижением цен на допустимый процент.

Необходимо вести качественный и периодический учет товаров, которые пользуются наименьшим спросом в силу своих особых характеристик и при реализации таких товаров у покупателя в договоре об уплате устанавливать оплату по реализации.

Одним из выявленных резервов на предприятии является уменьшение отрицательного денежного потока в 2012 году, главным образом за счет сокращения расходов связанных с содержанием на балансе предприятия автомобиля. Снижение расходов можно получить, если данный автомобиль перевести с бензинового топлива на газ. Также автомобиль необходимо использовать непосредственно для нужд предприятия.

Это позволит предприятию сохранить денежные средства и увеличить чистый денежный поток за рассматриваемый период с минус 4 млн. руб. до +46 млн. руб. (-4+50=46).

Для получения суммы всех возможных резервов произведем пересчет коэффициентов с учетом увеличения чистого денежного потока. Полученные результаты сведем в таблицу.

Таблица 19 - Расчет резервов увеличения чистого денежного потока в ОДО «Центр уникальных технологий»

Показатели

2012 год.

2013 год (прогноз)

Изменение


Расчет

Результат

Расчет

Результат


Положительный денежный поток, млн. р.

1897

1897

1897

1897

0

Отрицательный денежный поток, млн. р.

1901

1901

1851

-50

Коэффициент прироста денежного притока

1897-390/390

3,86

1897-1897/1897

0

-3,86

Коэффициент прироста денежного оттока

1901-381/381

3,99

1851-1901/1901

-0,026

-4,016

Коэффициент прироста чистого денежного потока

-4-9/9

-1,44

46 - (-4)/-4

-12,5

-13,94

Коэффициент прилива денежного потока

-4/11,5

-0,35

46/7,5

6,13

6,48

Коэффициент оседания денежного потока

-4/1897

0,0021

46/1897

0,0242

0,0221

Рентабельность оборотных активов

-4/387

-0,0103

46/387

0,0242

0,0345

Рентабельность собственного капитала

-4/48

-0,0833

46/48

0,958

1,0413

Рентабельность продаж

-4/1077

-0,0037

46/1077

0,0427

0,0464




Заключение

Между предприятиями постоянно совершаются сделки по поводу покупки средств и предметов труда, реализации продукции (работ, услуг). За все приобретенное имущество следует уплачивать деньги и соответственно получать платежи за отпущенную продукцию или оказанные услуги. Помимо этого, расчеты ведутся с бюджетом, банками, органами страхования, различными общественными организациями, благотворительными фондами, непосредственно с работниками и др. Всевозможные расчеты, возникающие между предприятиями, ведутся при помощи денег.

В результате проведения исследований учета денежных средств в ОДО «Центр уникальных технологий» было выявлено:

в организации денежные средства в национальной валюте хранятся в банке «Банк Москва-Минск» на соответствующем текущем (расчетном) счете в национальной валюте. Иностранные денежные средства также хранятся в этом банке на текущем (расчетном) счете в иностранной валют;

также в организации имеется касса, задачей которой является хранение наличных денежных средств организации;

основными источниками доходов организации является получение выручки от совершения оптовой и розничной торговли;

основными статьями расходов являются расчеты по кредиторской задолженности с поставщиками, возврат краткосрочных и долгосрочных займов организации, расчеты с персоналом по оплате труда, расчеты по налогам и т.д.

На основании проведенных исследований учета денежных средств в ОДО «Центр уникальных технологий» были выявлены следующие ошибки:

В ОДО «Центр уникальных технологий» перечисление денег с расчетного счета в целях уплаты комиссии за покупку иностранной валюты на бирже в учете сопровождается бухгалтерской записью:

Дебет 44 Кредит 51.

В соответствии с типовым планом счетов №50 от 29 июня 2011 г. и инструкцией по его применению запрещаются прямые корреспонденции счетов денежных средств со счетами затрат. Таким образом при оплате комиссии банку в учете должна делаться запись:

Дебет 76 Кредит 51.

Дебет 44 Кредит 76.

В ОДО «Центр уникальных технологий» учет расчетов по оплате коммунальных услуг в учете сопровождается бухгалтерской записью:

Дебет 76 Кредит 51.

В соответствии с типовым планом счетов №50 и инструкцией по его применению счет 60 «Расчеты с поставщиками и подрядчиками» предназначен для обобщения информации о расчетах с поставщиками, подрядчиками, исполнителями за приобретенное имущество, выполненные работы, оказанные услуги и др., а также о расчетах с использованием аккредитивов. При этом в учете должна делаться запись:

Дебет 60 Кредит 51.

По результатам проведения исследований деятельности ОДО «Центр уникальных технологий» были предложены следующие пути совершенствования учета денежных средств в контексте перехода на международные стандарты финансовой отчетности в условиях использования современных информационных технологий:

приобретение и использование усовершенствованной и обновленной формы ведения бухгалтерского учета 1С: Бухгалтерия версия 8;

необходимость приобретение организацией пластиковых банковских карточек для расчетов с персоналом по оплате труда, что позволит уменьшить оборот наличных денежных средств в организации;

установку в магазинах розничной торговли, имеющихся на балансе организации электронных банковских терминалов, что также позволит сократить объем наличных денежных средств на предприятии.

В результате проведения анализа денежных средств в ОДО «Центр уникальных технологий» было выявлено:

в организации денежные средства в национальной валюте хранятся в банке «Банк Москва-Минск» на соответствующем текущем (расчетном) счете в национальной валюте. Иностранные денежные средства также хранятся в этом банке на текущем (расчетном) счете в иностранной валют;

также в организации имеется касса, задачей которой является хранение наличных денежных средств организации. Удельный вес денежных средств находящихся в кассе в 2011 г. составил 64.65%, а в 2012 г. - 31.34%;

основными источниками доходов организации является получение выручки от совершения оптовой и розничной торговли, которые соответственно в 2011 г. и 2012 г. составили 240 млн. р. И 1077 млн. р.;

основными статьями расходов являются расчеты по кредиторской задолженности с поставщиками, возврат краткосрочных и долгосрочных займов организации, расчеты с персоналом по оплате труда, расчеты по налогам и т.д.

Был проведен анализ денежных средств по данным документов ОДО «Центр уникальных технологий». При анализе этого предприятия было выявлено, что оно является платежеспособным, так как своевременно оплачивает свои обязательства. Однако кредиторская задолженность превышает дебиторскую задолженность. Коэффициент текущей ликвидности предприятия ниже норматива коэффициента, что исключает резервный запас для компенсации убытков, которые может понести предприятие при размещении и ликвидации всех оборотных активов, кроме наличности.

По результатам проведения исследований деятельности ОДО «Центр уникальных технологий» были выявлены следующие резервы учета денежных средств:

сокращение отрицательного денежного потока на предприятии, за счет сокращения расходов связанных с содержанием на балансе автомобиля.

В данной работе был проведен факторный анализ денежного потока в ОДО «Центр уникальных технологий». По результатам расчета были получены уравнения корреляции для 2011 г. и 2012 г. из которых следует, что в 2011 г. при увеличении положительного денежного потока, отрицательный увеличится в 0,97558 раза. Соответственно за 2012 год - при увеличении положительного денежного потока, отрицательный увеличится в 1,0004 раза. Полученные результаты за 2012 год свидетельствует о неудовлетворительном финансовом состоянии на предприятии.

Также можно отметить то, что в 2012 г. по сравнению с 2011 г. соотношение положительного и отрицательного денежных потоков имеет более сбалансированный характер, что свидетельствует о том что кредиторская и дебиторская задолженность на предприятии имеет более одинаковые значения.


Список используемых источников

1. Банковский кодекс Республики Беларусь: закон Республики Беларусь от 25 октября 2000 г., №441-3 (в редакции закона от 14 июня 2010 г., №132-3. // КонсультантПлюс: Беларусь. Технология 3000 [Электронный ресурс]/ ООО «ЮрСпектр».-Мн., 2012.

. О валютном регулировании и валютном контроле: закон Республики Беларусь от 22 июля 2003 г., №226-3 (в ред. Закона от 14 июня 2010 г., 132-3).. // КонсультантПлюс: Беларусь. Технология 3000 [Электронный ресурс]/ ООО «ЮрСпектр».-Мн., 2012.

. О порядке проведения переоценки имущества и обязательств в иностранной валюте при применении Национальным банком курсов иностранных валют т отражения в бухгалтерском учете курсовых разниц: декрет Президента Республики Беларусь от 30 июня 2000 г., №15 (в ред. Декрета от 28 января 2010 г., №1).. // КонсультантПлюс: Беларусь. Технология 3000 [Электронный ресурс]/ ООО «ЮрСпектр».-Мн., 2012.

. Типовой план счетов бухгалтерского учета и Инструкция о порядке применения типового плана счетов бухгалтерского учета и признании утратившими силу некоторых постановлений Министерства финансов Республики Беларусь и их отдельных структурных элементов: утв. постановлением Министерства финансов Республики Беларусь от 29 июня 2011 г. №50.. // КонсультантПлюс: Беларусь. Технология 3000 [Электронный ресурс]/ ООО «ЮрСпектр».-Мн., 2012.

. Об обязательной продаже иностранной валюты: указ Президента Республики Беларусь от 17 июля 2006 г., №452 (в ред. Указа от 25 июля 2011 г., №326).. // КонсультантПлюс: Беларусь. Технология 3000 [Электронный ресурс]/ ООО «ЮрСпектр».-Мн., 2012.

. Инструкция о банковском переводе: утв. Постановлением правления Нац. Банка Республики Беларусь от 29 марта 2001 г., №66 (в ред. Постановления от 13 февраля 2012 г., №45).. // КонсультантПлюс: Беларусь. Технология 3000 [Электронный ресурс]/ ООО «ЮрСпектр».-Мн., 2012.

. Инструкция о порядке ведения кассовых операций и порядке расчетов наличными денежными средствами в белорусских рублях на территории Республики Беларусь: утв. Постановлением Правления Нац. Банка Республики Беларусь от 29 марта 2011 г., №107.. // КонсультантПлюс: Беларусь. Технология 3000 [Электронный ресурс]/ ООО «ЮрСпектр».-Мн., 2012.

. Инструкция о порядке ведения кассовых операции в наличной иностранной валюте на территории Республики Беларусь: утв. Постановлением Правления Нац. Банка Республики Беларусь от 28 июня 2004 г., №98 (в ред Постановления от 18 октября 2010 г., №436).. // КонсультантПлюс: Беларусь. Технология 3000 [Электронный ресурс]/ ООО «ЮрСпектр».-Мн., 2012.

. О порядке осуществления обязательной продажи иностранной валюты на внутреннем валютном рынке: утв. Постановлением Правления Нац. Банка Республики Беларусь от 13 сентября 2006 г., 3 129 (в ред. Постановления от 25 августа 2011 г., №350).. // КонсультантПлюс: Беларусь. Технология 3000 [Электронный ресурс]/ ООО «ЮрСпектр».-Мн., 2012.

. О сделках купли-продажи иностранной валюты на внутреннем валютном рынке: утв. Постановлением Правления Нац. Банка Республики Беларусь от 7 сентября 2011 г., №386 (в ред. Постановления от 17 октября 2011 г., №446).. // КонсультантПлюс: Беларусь. Технология 3000 [Электронный ресурс]/ ООО «ЮрСпектр».-Мн., 2012.

. Правила проведения валютных операций: утв. Постановлением правления Нац. Банка Республики Беларусь от 30 апреля 2004 г., №72 (в ред. Постановления от 24 мая 2010 г. №169).. // КонсультантПлюс: Беларусь. Технология 3000 [Электронный ресурс]/ ООО «ЮрСпектр».-Мн., 2012.

. О бухгалтерском учете и отчетности: закон Республики Беларусь №3321-XII от 18 октября 2011 г.. // КонсультантПлюс: Беларусь. Технология 3000 [Электронный ресурс]/ ООО «ЮрСпектр».-Мн., 2012.

. Тишкова, И.Е, Прищепы, А.И. Бухгалтерский учет: 3-е издание переработанное и дополненное. - Мн.: Вышэйшая школа, 2009.-746 с.

. Стражев, Н.C. Бухгалтерский учет. - Мн., 2006 г.

. Борискина, И.П., Лясковская, Н.В. Бухгалтерское дело: Учебное пособие. - Изд-во Туло, 2008 г. -383 с.

. Гизатуллина, В.Г., Липатова, О.В. Теория бухгалтерского учета: Пособие для самостоятельного изучения тем курса. - БелГУТ, 2003.-87 с.

. Голкина, Г.Е. Бухгалтерские информационные системы (БУИС): учебное пособие. - М.: Московский государственный университет экономики, статистики и информатики, 2004. - 78 с.

. Маренков, Н.Л., Веселова, Т.Н. Бухгалтерское дело: Серия Высшее образование. - Изд-во Феникс, 2005 г. -544 с.

. Реорганизация фирм [Электронный ресурс]. Режим доступа: belbankrot.by. Дата доступа: 29.01.2011 г.

20. Басовский Л.Е., Комплексный экономический анализ хозяйственной деятельности. Басовская Е.Н.: Учеб. Пособие. - М.: ИНФРА - М, 2005.

. Канке А.А., Анализ финансово-хозяйственной деятельности предприятия. Кошевая И.П.: Учебное пособие. - 2-е изд. Испр. И доп. - М.: ФОРУМ: ИНФРА-М, 2005.

. Ковалев В.В., Анализ хозяйственной деятельности. Волкова О.Н.: Учебник. - М.: ТК Велби, Изд-во Проспект, 2004.

. Кравченко Л.И, Анализ хозяйственной деятельности в торговле: Учебник/ Л.И. Кравченко. - Мн.: Новое знание, 2004.

. Маталыцкая С.К. теория анализа хозяйственной деятельности: Практикум. - Мн.: БГЭУ, 2004.

. Савицкая Г.В, Теория анализа хозяйственной деятельности: Учеб. Пособие. - М.: ИНФРА-М, 2006.

. Стражев В.И, Анализ хозяйственной деятельности в промышленности: Учебник. - Мн.: Выш. шк, 2005.