Материал: Анализ эффективности модификаций высокодивидендных стратегий

Внимание! Если размещение файла нарушает Ваши авторские права, то обязательно сообщите нам

Для выбора стран, основные индексы которых станут базовыми для исследования, был составлен перечень государств с развитыми торговыми площадками. Причем в этих странах должны рассчитываться соответствующие индексы, которые были бы пригодны для тестирования (к примеру, были исключены страны, в которых индекс не рассчитывался в какой-то части выбранного периода исследования). Итоговый перечень стран, пригодных для использования в исследовании, выглядел следующим образом:

Таблица 14. Перечень стран, пригодных для участия в исследовании

Australia

Austria

Belgium

Brazil

Canada

Chile

China

Colombia

USA

Egypt

Finland

France

Germany

Greece

Hong Cong

India

Indonesia

Japan

Portugal

Russia

Spain

South Africa

Turkey

UK


Из представленного перечня стран случайным образом были выбраны две страны с развитой и две страны с развивающейся экономикой. К полученным странам была добавлена Россия.

Итоговый перечень стран, которые будут использованы для тестирования, выглядит следующим образом:

)        Франция (CAC-40 Index)

)        Германия (DAX-30 Index)

3)      Бразилия (Bovespa Index)

)        ЮАР (Johannesburg's Top-40 Index)

5)      Россия (MICEX Index).

Источник данных для исследования: терминал Thomson Reuters Eikon.

Помимо доходности каждого портфеля, в качестве меры риска будет рассчитано его годовое стандартное отклонение.

Показатели эффективности портфелей:

)        Превышение среднегодовой доходности портфеля над среднегодовой доходностью базового индекса.

)        Превышение значения коэффициента Шарпа, рассчитанного для портфеля, над значением коэффициента Шарпа, рассчитанного для базового индекса.

Дивидендные выплаты не учитываются при расчете доходности портфелей, так как они не включаются в стоимость самих индексов.

Глава 3. Результаты исследования

Анализ данных.

1.       Германия.

В качестве первой страны, на рынке которой будут тестироваться предложенные стратегии, была выбрана Германия. Базовый индекс - DAX-30.

Число акций в индексе - 30.

Среднее число компаний, выплачивающих дивиденды, за период исследования - 25,3.

Динамика количества компаний, выплачивающих дивиденды:

Рисунок 4. Динамика количества компаний, выплачивающих дивиденды, из числа входящих в индекс DAX-30

Средний размер дивидендной доходности среди компаний, выплачивающих дивиденды, за период исследования - 3,064%, размер медианной доходности - 2,643%.

. Франция.

Базовый индекс - CAC-40.

Число акций в индексе - 40.

Среднее число компаний, выплачивающих дивиденды, за период исследования - 34,3.

Динамика количества компаний, выплачивающих дивиденды:

Рисунок 5. Динамика количества компаний, выплачивающих дивиденды, из числа входящих в индекс CAC-40

Средний размер дивидендной доходности среди компаний, выплачивающих дивиденды, за период исследования - 3,475%, размер медианной доходности - 3,04%.

) Бразилия.

Базовый индекс - Bovespa.

Число акций в индексе - 64.

Среднее число компаний, выплачивающих дивиденды, за период исследования - 40,5.

Динамика количества компаний, выплачивающих дивиденды:

Рисунок 6. Динамика количества компаний, выплачивающих дивиденды, из числа входящих в индекс Bovespa

Средний размер дивидендной доходности среди компаний, выплачивающих дивиденды, за период исследования - 5,37%, размер медианной доходности - 3,90%.

) ЮАР.

Базовый индекс - Johannesburg's Index.

Число акций в индексе - 40.

Среднее число компаний, выплачивающих дивиденды, за период исследования - 22,9.

Динамика количества компаний, выплачивающих дивиденды:

Рисунок 7. Динамика количества компаний, выплачивающих дивиденды, из числа входящих в индекс Johannesburg

Средний размер дивидендной доходности среди компаний, выплачивающих дивиденды, за период исследования - 4,179%, размер медианной доходности - 3,841%.

) Россия.

Базовый индекс - MICEX.

Число акций в индексе - 50.

Среднее число компаний, выплачивающих дивиденды, за период исследования - 12,8.

Динамика количества компаний, выплачивающих дивиденды:

Рисунок 8. Динамика количества компаний, выплачивающих дивиденды, из числа входящих в индекс MICEX

Средний размер дивидендной доходности среди компаний, выплачивающих дивиденды, за период исследования - 4,39%, размер медианной доходности - 2,56%.

Расчет доходности стратегий.

На данном этапе будет осуществлен расчет доходности стратегий без учета их риска. Представление результатов будет выполнено отдельно по каждой из выбранных стран.

. Германия.

Таблица 15. Результаты расчета доходности сформированных стратегий на примере индекса DAX-30


Как можно видеть из представленной таблицы, высокодивидендные стратегии неэффективны при работе с данным инструментом. В подавляющем большинстве случаев доходность индекса превосходит доходность каждой из тестируемых стратегий.

Лучше других показали себя стратегии, предусматривающие включение в портфель всех акций, по которым выплачивались дивиденды. Но даже доходность этих стратегий оказалась ниже рыночной.

Рассмотрим динамику годовой доходности портфеля, сформированного по стратегии div - 1 в сравнении с аналогичной динамикой индекса DAX-30.

Рисунок 9. Динамика годовых доходностей портфеля div - 1 и индекса DAX - 30

На представленном графике можно увидеть, что практически во все периоды времени рыночный портфель опережал предложенный портфель по доходности. Близкие значения доходности двух портфелей объясняются тем, что подавляющее число компаний индекса DAX-30 выплачивают дивиденды, и, следовательно, большинство компаний, входящих в рыночный портфель, входят и в портфель div - 1.

Из представленных результатов можно сделать вывод, что высокодивидендные стратегии не рекомендуются для использования на немецком рынке.

. Франция.

Рассмотрим результаты тестирования на французском индексе CAC-40.

Таблица 16. Результаты тестирования стратегий на рынке Франции


Большая часть тестируемых стратегий также показали низкую эффективность, их доходность оказалась ниже рыночной. Тем не менее, «дивидендные» портфели и, в частности, портфели div и div - 1 показали хорошую динамику доходности.

Рассмотрим сравнение динамики доходности портфеля div - 1 и индекса CAC - 40.

Рисунок 10. Динамика годовых доходностей портфеля div - 1 и индекса CAC - 40

Как видно на графике, в большинстве случаев на периоде тестирования портфель div - 1 показывает лучшую доходность, нежели рыночный портфель. Таким образом, стратегии div и div - 1 могут быть рекомендованы для применения на рынке Франции.

При выборе контрольного месяца следует отдавать предпочтение периоду с июля по сентябрь, так как портфели, сформированные именно в эти месяцы, показывают наилучшую доходность.

. Бразилия

Таблица 17. Результаты тестирования стратегий на рынке Бразилии


Тестирование стратегий на рынке Бразилии с использованием индекса Bovespa в качестве базового показало крайне высокую их эффективность. Особенно хорошо проявили себя портфели «1», «5» и «5»+1, многократно превзойдя рыночную доходность.

Рисунок 11. Динамика годовых доходностей портфеля "5"+ 1 и индекса Bovespa

Сравнение доходностей портфеля «5» +1 и рыночного портфеля показывает, что в большинстве случаев, если не брать в расчет спад в 2013 году, доходность сформированного портфеля оказывалась существенно выше доходности рыночного портфеля.

Отдельно хотелось бы отметить тот факт, что портфель «5» +1 прошел кризисный период без серьезных потерь, в то время как доходность рыночного портфеля оказалась в районе -40%.

Указанные выше портфели могут применяться на рынке Бразилии. При выборе контрольного месяца следует отдавать предпочтение августу, ноябрю и декабрю.

. Южная Африка.

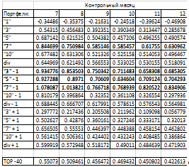
Таблица 18. Результаты тестирования стратегий на рынке ЮАР


Тестирование высокодивидендных стратегий на рынке Южной Африки показало их крайне высокую эффективность. При рыночной доходности за период тестирования в районе 200-240%, более половины тестируемых портфелей показали доходность в 300% и выше.

Особенно большая доходность могла быть получена при использовании портфелей «5», «7», «3» - 1, «5» - 1, «7» - 1. Увеличение числа акций в портфеле, как правило, приводило к снижению общей доходности портфеля.

В качестве контрольных месяцев рекомендуется выбирать период с июля по октябрь.

Рассмотрим сравнение доходности стратегии «3» - 1 и рыночной доходности за период тестирования.

Рисунок 12. Динамика годовых доходностей портфеля "3"- 1 и индекса Johannesburg's Index

По аналогии с результатами на бразильском рынке, сформированный оптимальный портфель в большинстве случаев опережал рыночную доходность. Особенно ярко выражается преимущество сформированного портфеля в период кризиса, когда он практически не потерял в доходности при серьезном падении доходности рыночного портфеля.

. Россия.

Таблица 19. Результаты тестирования стратегий на рынке России


На вопрос об эффективности тестируемых стратегий на российском рынке ответить однозначно нельзя. С одной стороны, большинство стратегий показали общую доходность ниже рыночной. С другой, использование нескольких стратегий позволило бы превысить рыночную доходность.

Если же решение использовать высокодивидендные стратегии на российском рынке уже принято, рекомендуется применение стратегии «3» - 1 с контрольным месяцем сентябрь-октябрь.

Рисунок 13. Динамика годовых доходностей портфеля "3"- 1 и индекса MICEX.

Сравнение доходности указанной стратегии с рыночной доходностью показывает, что тестируемая стратегия лучше показала себя как в кризисный период, потеряв меньше, чем рыночный портфель, так и в послекризисный период, демонстрируя более быстрые темпы восстановления.

Анализ соотношения риска/доходности оцениваемых стратегий.

На данном этапе будет выполнен расчет коэффициента Шарпа для всех тестируемых портфелей, после чего будет возможным дать ответ на вопрос об эффективности стратегий с точки зрения риска/доходности.

. Германия

Таблица 20. Значения коэффициента Шарпа при тестировании стратегий на рынке Германии


Как видно из таблицы, результаты аналогичны результатам первого этапа. Коэффициент Шарпа для тестируемых стратегий оказался ниже того же показателя для рыночного портфеля, что означает низкую эффективность высокодивидендных стратегий на немецком рынке не только с точки зрения простой доходности, но и с точки зрения риска/доходности.

. Франция

Таблица 21. Значения коэффициента Шарпа при тестировании стратегий на рынке Франции


Расчет коэффициента Шарпа для рассматриваемых стратегий на французском рынке подтвердил возможность их использования для долгосрочного инвестирования. В большинстве случаев значение коэффициента для стратегий div и div - 1 оказалось выше рыночных значений, что позволяет использовать эти стратегии на рынке Франции.

. Бразилия

Таблица 22. Значения коэффициента Шарпа при тестировании стратегий на рынке Бразилии


Результаты, полученные при расчете доходности стратегий в предыдущей части, нашли свое подтверждение и при расчете коэффициента Шарпа. Сразу несколько стратегий оказались эффективными для инвестирования.

При торговле на бразильском рынке рекомендуется использовать различные вариации стратегий, подразумевающих вложение в портфели из 3, 5 и 7 акций, выбирая при этом август-сентябрь в качестве контрольного месяца.

. ЮАР

Таблица 23. Значения коэффициента Шарпа при тестировании стратегий на рынке ЮАР


Использование коэффициента Шарпа при анализе эффективности стратегий на рынке ЮАР также доказывает их эффективность. Портфели, состоящие из 3, 5 и 7 бумаг показали наивысшую эффективность не только с точки зрения простой доходности, но и с поправкой на риск. Как и в предыдущих случаях, рекомендуется использовать август - сентябрь в качестве контрольных месяцев.

. Россия

Таблица 24. Значения коэффициента Шарпа при тестировании стратегий на рынке России


Наконец, расчет коэффициента Шарпа для сформированных стратегий на российском рынке показал результаты, схожие с результатами, полученными на предыдущем этапе исследования. Эффективным оказался лишь портфель «3» - 1, уже рекомендованный ранее.


Заключение


В данной работе была исследована эффективность высокодивидендных стратегий на рынках стран мира. При тестировании использовались различные вариации классических высокодивидендных стратегий, такие как изменение количества акций в портфеле, исключение из портфеля или удвоение веса акции с наибольшей дивидендной доходностью, изменение контрольного месяца.

В качестве базовых стран для тестирования были выбраны Германия, Франция, Бразилия, ЮАР и Россия. Соответственно, в качестве базовых индексов были использованы индексы DAX-30, CAC-40. Bovespa, Johannesburg’s Index (TOP 40 index) и MICEX. Период тестирования - 2006 - 2015 гг., при этом 2005 год использовался для определения бумаг, который войдут в портфель в 2006 году.

Произведенные расчеты подтвердили возможность использования высокодивидендных портфелей в ряде случаев. В частности, такие портфели показали высокую эффективность на рынках развивающихся стран, а именно в Бразилии и ЮАР. Использование некоторых высокодивидендных портфелей оказалось возможным и на рынках Франции (портфель div - 1) и России (портфель «3» - 1). В то же время, использование подобных стратегий на рынке Германии не рекомендуется.