Оптическая схема спектрофотометра состоит из оптических схем двух каналов "У" и "В". Каждый из каналов представляет собой полихроматор, построенный на основе вогнутой дифракционной решетки с коррекцией аберраций.
Свет от источника ультрафиолетового излучения через объектив направляется на образец, а затем проецируется на входную щель канала "У" спектрофотометра. Затем световой пучок попадает на дифракционную решетку, после чего диафрагмированный свет фокусируется на поверхности многоэлементного приемника. Аналогично свет от источника видимого излучения через объектив направляется на образец и проецируется на входную щель канала "В" спектрофотометра. Затем световой пучок направляется на дифракционную решетку, после чего диафрагмированный свет фокусируется на поверхности многоэлементного приемника.
Каждый из многоэлементных приемников регистрирует свой спектральный диапазон (200–395) нм и (395–1000) нм одновременно. Принцип работы многоэлементного приемника состоит в преобразовании светового сигнала в электрический, причем величина электрического сигнала прямо пропорциональна как величине светового сигнала, так и времени освещения приемника (экспозиции).
В приборе зафиксированы определенные варианты рабочих значений щелей.
Кюветное отделение спектрофотометра снабжено подвижной кареткой, обеспечивающей возможность установки различных держателей жидких и твердых образцов. Имеется возможность термостатирования исследуемой жидкости в кювете с длиной оптического пути 10 мм и меньше при температуре (37 ± 1) °С. Спектрофотометр работает под управлением компьютера.
Инфракрасные (ИК) фурье-спектрометры так же, как и традиционные дисперсионные ИК-спектрометры, предназначены для измерения спектров поглощения проб исследуемых веществ в ИК-об-ласти спектра, которая характеризуется значениями длины волны электромагнитного излучения в диапазоне λ = (0,8…50) мкм, что соответствует волновым числам ν = 1/λ в диапазоне (200–12500) см–1. В данной области спектра проявляется поглощение, связанное с характеристическими молекулярными колебаниями, которые определяют индивидуальный вид ИК-спектра каждого вещества. Наиболее информативной для идентификации веществ является область (400–1800) см–1, которую по этой причине обычно называют областью «отпечатков пальцев».
Основное отличие ИК-фурье-спектрометров от традиционных состоит в том, что для получения спектра здесь не используются какие-либо дисперсионные элементы, решетки или призмы, пространственно раскладывающие излучение с различными длинами волн. Основным элементом фурье-спектрометра является двухлучевой интерферометр Майкельсона (рис. 6.11), состоящий из полупрозрачного для ИК-излучения светоделителя и двух зеркал, одно из которых может перемещаться, изменяя длину пути, проходимого пучком излучения.
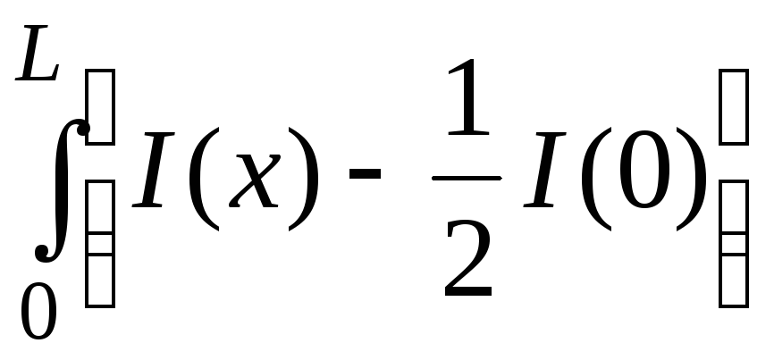
Зависимость регистрируемого сигнала от оптической разности хода пучков в интерферометре I(x) называется интерферограммой. Максимум сигнала интерферограммы соответствует нулевой разности хода, когда все спектральные составляющие излучения двух пучков приходят на выход интерферометра в одинаковой фазе. Интерферограмма содержит информацию о спектральном составе излучения, а соответствующий спектр интенсивности S(ν) может быть получен с помощью обратного фурье-преобразования интерферограммы:
S(ν)
= 2
exp
(i2x)
dx,
(6.6)
где S(ν) – спектр интенсивности, здесь ν – частота; L – максимальная разность хода; I(x) – ход лучей при измерении; I(0) – ход лучей при нулевой разности.
S M1 B M1' M2 x/2 D





















Рис. 6.11. Схема использования двухлучевого интерферометра:
S –
источник излучения; M1 –
неподвижное зеркало;
–
изображение неподвижного зеркала
относительно светоделителя;
M2 –
подвижное зеркало; B –
светоделитель; D –
фотоприемник
Спектральное разрешение, т. е. минимальное регистрируемое расстояние между отдельными линиями в спектре, для фурье-спект-рометра равно Δν ≈ 1/L.
Благодаря своему принципу действия ИК-фурье-спектрометры обладают существенно более высокой эффективностью по сравнению с дифракционными приборами.
При заданном разрешении Δν в исследуемом интервале значений частоты между ν1 и ν2 укладываются R = (ν1–ν2)/Δν спектральных элементов, где R – так называемая разрешающая сила. Для дисперсионного ИК-спектрометра каждый спектральный элемент наблюдается в течение времени T/R, где T – общее время, необходимое для регистрации спектра. Следовательно, накопленный сигнал от одного спектрального элемента пропорционален T/R. Для интерферометра все спектральные элементы рабочего спектрального диапазона регистрируются одновременно в течение всего времени регистрации T. Таким образом, при одинаковом времени регистрации спектров выигрыш в отношении сигнал–шум для фурье-спектрометра будет составлять R1/2. Для рутинных ИК-измерений разрешающая сила обычно составляет 1000–4000, что соответствует выигрышу в отношении сигнал–шум примерно 30–70 раз. Кроме того, в дифракционном приборе для достижения требуемого разрешения необходимо использовать щели, которые существенно ограничивают мощность регистрируемого светового потока. Для фурье-спектрометра таких ограничений нет, что дает дополнительный выигрыш в 10–20 раз.
Излучение тепловых источников ИК-диапазона имеет низкую интенсивность, поэтому возможности дисперсионных ИК-спектро-метров весьма ограничены, они не могут эффективно применяться для проведения массовых лабораторных измерений или контроля качества на производстве. Широкое использование ИК-фурье-спектро-метров стало возможным после появления доступных персональных компьютеров. В настоящее время, благодаря своим преимуществам, ИК-фурье-спектрометры практически вытеснили дифракционные приборы.
Основные преимущества фурье-спектрометров:
– высокая чувствительность. Фурье-спектрометр в 100–1000 раз превосходит по чувствительности дифракционные приборы, что позволяет регистрировать низкие концентрации и предельно малые количества веществ, до 100 мкг и менее;
– высокая производительность. Время получения спектра в 10–30 раз меньше, чем для дифракционных приборов. Это позволяет получать качественные спектры менее чем за 1 мин и выполнять экспрессные измерения, переходя от выборочного контроля к полному, а также осуществлять мониторинг параметров технологического процесса в реальном времени;
– автоматизация измерений. Инструментальная часть процесса измерений и обработка полученных данных, включая количественный анализ и расчеты любой сложности, а также протоколирование результатов, выполняются автоматически под управлением програм-много обеспечения;
– высокая надежность измерений. Благодаря автоматизации повышаются уровень стандартизации и качество оперативного контроля процесса измерений, снижается вероятность ошибки оператора;
– простота эксплуатации. Инфракрасный фурье-спектрометр имеет встроенный стандарт длины волны, процессы тестирования и поверки автоматизированы.
Устройство и работа фурье-спектрометра. Схема устройства фурье-спектрометра и получения спектров показана на рис. 6.12. Излучение от источника с помощью параболического зеркала коллимируется и в виде параллельного пучка падает на полупрозрачный светоделитель двухлучевого интерферометра Майкельсона, который расщепляет его на два примерно равных по интенсивности пучка. После отражения от соответствующих зеркал интерферометра излучение двух пучков снова складывается на светоделителе и с помощью фокусирующей оптики после прохождения через исследуемый образец направляется на приемник, который преобразует его в электрический сигнал. Подвижное зеркало интерферометра перемещается (сканирует), приводя к изменению оптической разности хода между двумя пучками. Изменение условий интерференции двух пучков при движении зеркала приводит к изменению интенсивности излучения, регистрируемой приемником.
Подвижное
зеркало

Источник Светоделитель
Образец
Приемник





АЦП Вычислитель

Неподвижное

зеркало
Датчик
разности
хода
Рис. 6.12. Фурье-спектрометр
Электрический сигнал с выхода приемника усиливается и поступает на вход аналого-цифрового преобразователя (АЦП). Работа АЦП синхронизируется импульсами, поступающими с датчика разности хода. Цифровые данные с выхода АЦП поступают в вычислитель, в качестве которого может использоваться персональный компьютер или встроенное микропроцессорное устройство. Компьютер (встроенный микропроцессор) также обычно используется для управления исполнительными устройствами фурье-спектрометра, например управления сканированием подвижного зеркала.
Все промышленные ИК-фурье-спектрометры построены по однолучевой схеме. Поэтому спектр пропускания исследуемого образца определяют как отношение спектра интенсивности излучения S(ν) при установленном образце в измерительном канале к аналогичному спектру S0(ν) без образца или с образцом сравнения T(ν) = S(ν) / S0(ν).
Наличие компьютера делает процесс получения спектра пропускания в однолучевом приборе таким же простым, как и в двухлучевом. При необходимости несложно рассчитать и оптическую плотность D(ν) = –lg T(ν).
Оптическая часть фурье-спектрометра включает источник ИК-излучения, двухлучевой интерферометр Майкельсона, приемник ИК-излучения, а также оптику для коллимирования пучка и фокусирования излучения в кюветном отделении на образце и приемнике. Для регистрации интерферограммы используется неселективный пироэлектрический приемник. Параллельное перемещение подвижного зеркала интерферометра обеспечивается прецизионной механикой, а в качестве датчика оптической разности хода используется вспомогательный лазерный интерферометр с гелиево-неоновым лазером в качестве источника. Поскольку длина волны излучения гелиево-неонового лазера λ0 = 0,6328 мкм, фотоприемник на выходе лазерного интерферометра регистрирует серию импульсов, соответствующих изменению оптической разности хода на λ0/2 = 0,3164 мкм. Эти импульсы используются для запуска АЦП. В кюветном отделении предусмотрена возможность установки исследуемых образцов, в том числе жидкостных и газовых кювет, а также различных приставок.
Оптические элементы ИК-фурье-спектрометра обычно размещаются в герметичном корпусе, снабженном патронами с силикагелем, также может быть предусмотрена система продувки сухим инертным газом. Осушка камер и продувка инертным газом позволяют существенным образом уменьшить влияние паров воды и углекислого газа, находящихся в воздухе и поглощающих ИК-излучение, на результаты измерения спектров.
Электронная часть спектрометра состоит из системы регистрации сигнала, включающей детектор с предварительным усилителем, усилитель и АЦП, схем управления, обеспечивающих организацию накопления и обмена данными, интерфейсного устройства для сопряжения с компьютером, а также блока питания.