44.1 Определение возвышения наружного рельса из условия обеспечения равномерного износа обеих рельсовых нитей
Внутренняя
и наружная рельсовые нити будут
изнашиваться одинаково при условии
идентичного суммарного воздействия
на них вертикальных и горизонтальных
сил.
Возвышение наружного рельса
должно быть таким, чтобы центробежная
сила
и центростремительная
взаимно уравновесились, тогда
равнодействующая будет направлена по
оси пути и обе рельсовые нити будут
нагружены одинаково.
Фактически
по одной и той же кривой идут поезда с
разными скоростями, поэтому величину
возвышения следует устанавливать из
условия:

Отсюда
величину расчетного возвышения
,
мм, определим по формуле:

где
- радиус кривой, м;
- квадратичная средневзвешенная по
тоннажу скорость движения поездов в
кривой,

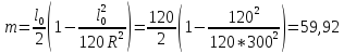
Минимальное
расчетное возвышение наружного рельса
в кривых
,
необходимое для пропуска пассажирских
поездов, определяется из условия
по формуле:

Где
-
радиус кривой, м;
-
максимальная скорость, установленная
в данной кривой для скоростного
пассажирского поезда, км/ч.
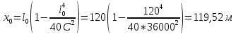
Минимальное
расчетное возвышение
,
необходимое для пропуска грузовых
поездов, определяется из условия
по формуле:

где
-
максимальная скорость, установленная
в данной кривой для грузовых поездов,
км/ч.
При
определении возвышения
рациональная работа пути обеспечивается
при скоростях движения потока грузовых
поездов
,
находящихся в пределах

75,89

Условие выполняется.
<hптэ=150
мм.
Переходная кривая — кривая переменной кривизны, сопрягающая круговую кривую с прямым участком железнодорожного пути. Переходная кривая обеспечивает постепенное изменение центробежной силы при входе поезда в криволинейный участок пути. В пределах переходной кривой линейно возрастает необходимое в круговой кривой возвышение наружного рельса. Переменный радиус переходной кривой ρ плавно изменяется от ρ = ∞ в точках HK и KK сопряжения с прямой до ρ = R в точках КПК1 и КПК2сопряжения переходной кривой с кривой радиуса R. Разбивка переходной кривой производится по радиоидальной спирали, кривизна которой изменяется пропорционально её длине.
Элементы переходной кривой (m, Тρ и другие) для облегчения их полевой разбивки приводятся в специальных таблицах. В практических расчётах приближённо считают, что переходная кривая очерчена по кубической параболе.

При проектировании переходных кривых выбирается их длина, геометрическое очертание кривой в плане и определяются координаты для ее разбивки. Длина переходной кривой определяется несколькими условиями, основным из которых является плавность устройства отвода возвышения наружного рельса. По этому условию искомая длина


Необходимо определить параметр переходной кривой:

Возможность разбивки переходной кривой проверяется по условию


Для разбивки переходных кривых известны различные способы. Рассмотрим наиболее распространенный на практике случай разбивки переходной кривой способом сдвижки центра О. Разбивку переходной кривой производят в предположении, что на местности известно положение тангенса первоначальной круговой кривой (точки Т). Необходимо знать сдвижку ркруговой кривой и расстояниеm0 от начала переходной кривой (точки НПК) до точки тангенса Т0.Для этого находят m – расстояние от начала переходной кривой до нового положения Т, затем определяют сдвижку р, угол φ0 и все координаты кривой.

Рис.2. Схема разбивки переходных кривых методом сдвижки круговой кривой
Из приведенной схемы находим:



Координаты конца в точке КПК вычисляем по уравнению радиальной спирали в параметрической форме:


Координаты точек переходной кривой через каждые 10 м вычисляются по уравнению радиоидальной спирали в прямоугольной системе координат:

Расчет сводим в таблицу
|
|
|
|
|
|
|
|
|
|
|
|
|
|
|
|
|
|
|
|
|
|
|
|
|
|
|
|
|
|
В кривых участках пути внутренняя рельсовая нить короче наружной, поэтому при расположении стыков по наугольнику возникает необходимость укладки укороченных рельсов. Для каждой кривой выбираются тип укорочения, количество и порядок укладки укороченных рельсов.
Выбор типа укороченных рельсов для данной кривой производится по формуле:

(1) где S1
- ширина колеи
по оси головки рельсов в пределах
круговой кривой; S1
= SПТЭ
+ b,
мм
где b - ширина головки рельса;
SПТЭ - нормативная ширина колеи в кривых
в зависимости от радиуса;
1нр - длина нормального рельса;
R - радиус круговой кривой.
В РФ приняты 4 типа стандартных укорочений Кi :
при длине рельса 12,5 м К1=40 мм, К2=80 мм, К3=120 мм;
при длине рельса 25 м К2=80 мм, К4=160 мм.
Вычислив величину укорочения по формуле (1), принимаем ближайшее большее стандартное укорочение.
Ввиду невозможности
обеспечить точное расположение стыков
«по наугольнику» по
внутренней и наружной нитям допускается
забег их на величину не более половины
принятого стандартного укорочения
Кi.
Таким образом, укороченные рельсы
укладываются в тех местах кривой, где
накапливающийся забег стыков достигает
половины принятого стандартного
укорочения.
Порядок расчета укороченных рельсов в кривой:
устанавливается положение первого стыка относительно начала переходной кривой;
определяется полное укорочение на всей кривой:
Е = 2Епк
+ Екк,
=
мм
(2)
где Епк - укорочение в пределах переходной кривой; определяется по формуле
![]()

где Sср - средняя ширина колеи между осями головок рельсов в пределах переходной кривой, мм;
![]()

где S0 - ширина колеи между рабочими гранями головок рельсов в прямых участках пути, мм.
Укорочение в пределах круговой кривой Екк определится как
![]()

где lкк - длина оставшейся части круговой кривой после разбивки переходных кривых;
;
=65.71мм
где β - полный угол поворота кривой с учетом переходных кривых;
φ0 - угол поворота в пределах переходной кривой.
Определяют количество укороченных рельсов принятого размера, шт.:
![]()

Где Е - полное укорочение на всей кривой;
K - принятое стандартное укорочение;
Укороченные рельсы укладываются в тех местах кривой, где накапливающийся забег стыков достигает половины принятого стандартного укорочения. Порядок укладки укороченных рельсов определяется в табличной форме