Розподіл фононів за енергіями описується функцією Бозе − Ейнштейна, графік якої наведений на рис.4.3. З цього графіка видно, що при температурі Т в гратці збуджені нормальні коливання практично лише до частоти
; вищих частот в гратках майже немає. Оскільки
функція розподілу
виражає середнє число фононів, які мають енергію
, то, помноживши
на
одержимо середню енергію нормального коливання
, збудженого в гратках при температурі 

і частоті 

:
= |
. |
(4.8) |
|
4.3 Теплоємність твердих тіл
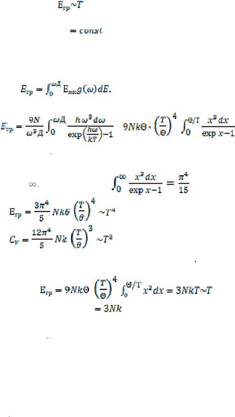
Знаючи середню енергію нормального коливання (4.8), можна визначити теплову енергію гратки
і її теплоємністю
.
У області низьких температур ( |
), у якій збуджуються в |
основному низькочастотні фонони з енергією
, вираз (4.8) можна приблизно подати так:
. (4.9)
З (4.9) витікає, що в цій області температур
росте
пропорційно Т. Це зростання обумовлено збільшенням ступеня збудження кожного нормального коливання із збільшенням Т. Вважаючи, що при температурі Т в гратці збуджуються всі коливання аж до частоти
, можна визначити число збуджених коливань Z:
. (4.10)
Таким чином, в області низьких температур енергія кристала із зростанням Т збільшується внаслідок дії двох чинників: зростання середньої енергії нормальних коливань
зростання числа
збуджених коливань
. Тому в цілому енергія кристала росте пропорційно 
:
, |
(4.11) |
а теплоємність гратки
(4.12)
− пропорційно
що добре узгоджується з досвідом.
У області високих температур (Т>0) всі нормальні коливання гратки збуджені, тому подальше підвищення температури вже не може призводити до збільшення їх числа. Внаслідок цього в області високих
40
температур зростання енергії твердого тіла може відбуватися тільки за рахунок підвищення ступеня збудження нормальних коливань, що викликає збільшення їх середньої енергії
. Оскільки
, то і зміна
енерії тіла в цілому повинна бути пропорційна Т: |
|
, |
(4.13) |
а теплоємність тіла (heat capacity) |
|
СV |
(4.14) |
не повинна залежати від Т, що також добре узгоджується з досвідом. Одержані якісні результати можна підтвердити точнішими
кількісними розрахунками. Теплова енергія гратки
(4.15)
Підставляючи сюди
і
одержуємо
= |
, (4.16) |
де
; 
− температура Дебая.
Для області низьких температур (
) верхню межу інтеграції
можна замінити Враховуючи, що |
одержуємо |
, |
(4.17) |
. |
(4.18) |
Для області високих температур
і
… Підставляючи це в (4.16), знаходимо
, (4.19)
СV |
. |
(4.20) |
Зокрема, для грама атома будь-якої речовини N = NA , де NA − число Авогадро і СV
(
− газова постійна).
Співвідношення (4.18) виражає закон Дебая, співвідношення (4.20) − закон Дюлонга і Пті. На рис. 4.4 безперервною лінією показана теоретична крива залежності теплоємності твердих тіл від температури, ділянками − експериментальні дані для ряду твердих тіл. Згода теорії з експерементом цілком задовільна.
Знаючи функцію розподілу коливань за частотами і число фононів з енергією
, можна встановити залежність від Т концентрації фононового
41
газу, тобто числа фононів
збуджених в одиниці об’єму кристала.
У області низьких температур, в якій енергія гратки
Т4,
середня енергія фонона
і концентрація фононового газу повинна бути пропорційна
T3.
У області високих температур, в якій
Т, середня енергія фонона досягає граничного значення порядку
не залежного від
температури і концентрація фононового газу (background gas) повинна бути пропорційна
T.
Теплоємність електронного газу. В металах крім іонів,
створюючих гратку, які коливаються біля положень рівноваги, є і вільні електрони, число яких в одиниці об’єму приблизно таке ж, як і число атомів. Тому теплоємність металу 

повинна складатися з теплоємності
гратки |
і теплоємності електронного газу |
Оцінимо порядок |
величини
.
При нагріванні металу до температури Т термічному збудженню піддається
електронів. Кожний збуджений електрон набуває в
середньому енергію рівну 3/2 kT. Помноживши її на число збуджених електронів, одержимо зміну в енергії електронного газу Еел, обумовлене нагріванням його до температури Т:
.
Теплоємність такого газу
. |
(4.21) |
Рисунок 4.4 – Температурна
залежність теплоємності твердих тіл
Для металів m вимірюється одиницями електрон - вольт; для Т = = 300К kT 0,025еВ. Підставляючи це в (4.21), одержуємо Сел >> 0,01 Сгр.
Таким чином, внаслідок того, що при звичайних температурах термічному збудженню піддається лише незначна частина вільних електронів металу, теплоємність електронного газу складає одиниці відсотків від теплоємності гратки.
42
4.4 Теплове розширення твердих тіл
При нагріванні переважна більшість твердих тіл підлягає розширенню, що приводять до зміни їх розмірів. Відмінність коефіцієнтів теплового розширення (КТР) викликає появу внутрішніх напружень в плівках, покриттях, адгезійних з'єднаннях, зварних швах і т. д., що не завжди бажано і допустимо. Тому практично важливим є узгодження КТР матеріалів, що йдуть на виготовлення РЕА. Для підбору цих матеріалів і направленої зміни їх КТР потрібні знання фізичної природи самого явища
теплового розширення (thermic expansion) тіл.
Причиною теплового розширення тіл є несиметричний характер кривої залежності енергії взаємодії частинок від відстані між ними (рис.4.5). Насправді, якби частинка 2 здійснювала чисто гармонічні коливання біля положення рівноваги, то сила F, що виникає при відхиленні її на відстань х, була б пропорційна х:
F=-bx, |
(4.22) |
а зміна потенційної енергії U (x) описувалася б параболою |
|
U(x)=1/2bx2, |
(4.23) |
показаною на рис. 4.5 кривою. Ця парабола симетрична відносно прямої bd, паралельної осі ординат і віддаленої від неї на відстані r0 . Тому відхилення частинки при коливаннях вправо і вліво були б однаковими (x1 = x2 ) і середина розмаху збігалася б з положенням рівноваги 0.
Нагрівання в цьому випадку не могло б викликати розширення тіла, оскільки із збільшенням температури відбувалося б лише збільшення амплітуди коливань частинок, а середня відстань між ними залишалися б незмінною.
Насправді ж потенційна крива abc є несеметричною щодо прямої bd: її ліва гілка ba підіймається значно крутіше правої bc. Це означає, що коливання частинок в твердому тілі не є строго гармонічними, вони ангармонічні. Така ангармонічність виявляється тим сильніше, чим сильніше частинки відхиляються від положення рівноваги.
Для розрахунку асиметрії потенційної кривої (potential curve) можна
ввести в рівнянні (4.22) додатковий член gx2: |
|
F(x)=-bx+gx2, |
(4.24) |
який приведе до такого виразу для енергії U(x) |
|
U(x)=1/2bx2 –1/3gx2. |
(4.25) |
43
0 |
|
U |
U(x) |
Рисунок 4.5 – До розрахунку теплового розширення твердих тіл
При відхиленні частинки 2 вправо (x > 0) член 1/ 3gx2 віднімається з
1/ 2b x2 |
і гілка bc йде пологіше гілки bс'; при відхиленні вліво (x < 0) член |
1/ 3gx3 |
додається до 1/ 2b x2 і гілка ba йде крутіше за гілку ba'. |
Несиметричний характер кривої U (x) призводить до того, що частинка 2, що коливається, відхиляється вправо на більшу відстань ніж вліво. Внаслідок цього середнє положення цієї частинки зміщується вправо, що відповідає збільшенню відстані між частинками на x. Це і викликає розширення тіла при нагріванні.
4.5 Теплопровідність твердих тіл
Швидкість розповсюдження пружних хвиль (швидкість звуку) в твердих тілах достатньо висока (3-5)·103 м/с). Здавалося б, що з такою ж швидкістю повинні розповсюджуватися і теплові коливання, внаслідок чого теплопровідність твердих тіл повинна бути дуже високою. Проте подібна картина мала б місце лише в тому випадку, якщо б атоми твердого тіла робили строго гармонічні коливання, що розповсюджувалися в гратках у вигляді системи гармонічних хвиль, оскільки такі хвилі не взаємодіють одна з одною і тому не розсіюються одна на одній подібно світловим хвилям, що розповсюджуються в просторі. В дійсності ж теплове коливання атомів носить ангармонічний характер, що приводить до взаємодії нормальних коливань гратки і розсіювання їх одна на одній. Ці процеси зручно описувати на мові фононів. Строго гармонічним нормальним коливанням, не взаємодіючим між собою, на корпускулярній мові відповідає ідеальний фононний газ, що складається з невзаємодіючих фононів; перехід до ангармонічних нормальних коливань еквівалентний введенню взаємодії між фононами, в результаті якої вони починають
44