розсіватися один на одному. Таке розсіювання називають фононним. Воно приводить до хаотизації руху фононів, перетворюючи процес розповсюдження тепла в типово дифузійний. Саме цим пояснюється відносно низька теплопровідність гратки твердих тіл, властива діелектрикам. Метали і напівпровідники окрім граткової теплопровідності Кгр мають ще електронну теплопровідність Кел, обумовлену наявністю в них електронного газу, здатного ефективно переносити тепло.
Теплопровідність гратки. Як вказано вище, теплопровідність
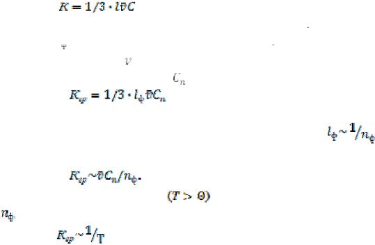
(thermal conductivity) обумовлена дифузією фононового газу з більш нагрітих об’ємів гратки, де його концентрація nф вища, в менш нагріті, де вона нижча. Тому для коефіцієнта теплопровідності гратки Кгр як теплопровідності фонноного газу можна скористатися виразом, який дає кінетична теорія для коефіцієнта теплопровідності звичайного газу:
(4.26)
замінивши в цьому виразі довжину вільного пробігу молекул
на довжину вільного пробігу 

, середню швидкість руху молекул 
швидкістю звуку
(швидкістю руху фононів) |
і теплоємність одиниці об’єму газу на |
||
теплоємність гратки (фононного газу) |
. Тоді одержимо |
|
|
|
. |
|
(4.27) |
При фонон-фононному розсіюванні довжина вільного пробігу |
|||
фононів повинна бути обернено пропорційна їх концентрації: |
. |
||
Tому |
|
|
(4.28) |
|
|
|
|
У області високих температур |
теплоємність CV не залежить |
||
від Т, а − пропорційна Т. Тому |
|
|
|
. |
|
|
(4.29) |
Теплопровідність гратки істотно залежить від жорсткості зв'язку між частинками b , оскільки з зменшенням b зменшується модуль пружності
Е, а отже, і швидкість розповсюдження звуку
(
− густина
твердого тіла); крім того, із зменшенням b росте ангармонічність коливань атомів, що приводить до посилення фонон-фононного розсіювання. Обидва ці чинника повинні призводити до зменшення теплопровідності гратки.
Граткова теплопровідність сильно залежить також від маси частинок М, створюючих гратку, оскільки збільшення М приводить, як показує розрахунок, до зростання коефіцієнта ангармонічності і, отже, до посилення фонон-фононного розсіювання. Цим значною мірою пояснюєтся той факт, що коефіцієнти теплопровідності легких елементів,
45
розташованих у верхній частині таблиці Д. І. Менделєєва ( B,C, Si і ін.), мають величини порядку десятків і навіть сотень ват на метр-кельвін; у елементів середини таблиці Д. І. Менделєєва
зменшується до одиниць
ват на метр-кельвін, а у важких елементів − вже до десятих часток. Практично це важливо не тільки для підбору матеріалів з високою
гратковою теплопровідністю, але і для розуміння фізичних основ пошуку і розроблення матеріалів з необхідною гратковою теплопровідністю. З цієї точки зору стає ясним, наприклад, чому кераміка з оксидів легша металів, особливо берилієва, яка має відносно високу теплопровідність.
При температурах нижчих за температуру Дебая концентрація фононів різко зменшується при зниженні Т, внаслідок чого їх довжина вільного пробігу різко зростає і врешті-решт досягає величини, порівняної з розмірами кристала. Оскільки стінки кристала розсіюють фонони, подальше зниження температури вже не приводить до збільшення 
,
оскільки остання визначається просто розмірами кристала. В цьому випадку
. |
(4.30) |
Аналогічна картина повинна спостерігатися і у аморфних діелектриків, у яких розміри областей правильної структури за порядком величин порівнянні з атомними. Розсіювання фононів на межі таких областей повинно переважати при всіх температурах, і тому 
не повинна
залежати від Т. Через це у таких діелектриків коефіцієнт теплопровідності повинен бути пропорційний 



у області низьких температур і не залежати
від Т в області високих температур, що і має місце в дійсності.
Електронна теплопровідність. В металах перенесення тепла здійснюється не тільки фононами, але і вільними електронами. Тому
теплопровідність металів К складається з теплопровідності гратки |
і |
||
теплопровідності електронного газу |
. Останню можна |
обчислити, |
|
підставивши в (4.26) теплоємність електронного газу |
, швидкість |
||
фермієвських електронів і довжину їх вільного пробігу : |
|
|
|
. |
|
|
(4.31) |
Визначимо якісний характер температурної залежності теплопровідності чистих металів. Підставивши 


з (4.21) в (4.31), одержимо
. |
|
|
(4.32) |
У області високих температур |
зі всіх величин, що входять в |
||
(4.32), від температури залежить практично тільки |
, яка для |
чистих |
|
металів визначається розсіюванням |
електронів на |
фононах. |
Тому |
46 |
|
|
|
оскільки в області високих температур
. Підставивши це в (4.32), знаходимо
. |
(4.33) |
Таким чином, в області високих температур теплопровідність чистих металів не повинна залежати від температури.
У області низьких температур
тому
і
. |
(4.34) |
Отже, в області низьких температур, де виконується закон Дебая, теплопровідність чистих металів повинна бути обернено пропорційна квадрату абсолютної температури, що також підтверджується експерементом.
Поблизу абсолютного нуля концентрація фононного газу стає настільки малою, що 
починає визначаться розсіюванням електронів на домішкових атомах, завжди зосереджених в металі, на скільки б чистим він не був. В цьому випадку
(
− концентрація домішкових атомів)
не залежить від Т і електронна теплопровідність металу згідно з (4.32) повинна бути пропорційна Т
. |
(4.35) |
Теплопровідність напівпровідників. Напівпровідникові матеріали хороші тим, що можуть мати високу граткову теплопровідність, якщо їх кристали не дуже дефектні і складаються з легких атомів, як це має місце, наприклад, у кремнію і германію. Їх електронну теплопровідність можна змінювати в широких межах, змінюючи концентрацію електронного газу шляхом легування. Проте для більшості напівпровідників основний внесок в теплопровідність вносять гратки. Так, для германію, що має питомий опір 1 Ом см при кімнатній температурі, відношення
.
Навіть для такого напівпровідника, як телурід вісмуту ( Bi2Te3 ), який має дуже низький питомий опір
Ом см, відношення
досягає величини всього лише порядку 0,2.
47
5 ЕЛЕКТРОПРОВІДНІСТЬ ТВЕРДИХ ТІЛ
5.1 Природа електричної провідності твердих тіл
У відсутності електричного поля електронний газ в провіднику знаходиться в рівноважному стані і описується рівноважними функціями розподілу Фермі – Дірака fф-Д (вироджений газ) і Максвелла – Больцмана
fМ-Б (невироджений газ). |
На рис. 5.1, а, |
б наведені |
графіки розподілу |
fф-Д ( J x ) і fМ-Б ( J x ) для |
випадку, коли |
J y = J z = 0 . |
Вони симетричні |
відносно осі ординат, що вказує на те, що кількість електронів в провіднику, які рухаються в протилежних напрямах, завжди однакова, а їх середня швидкість в будь-якому напрямі рівна нулю. Цим пояснюється той факт що в провіднику, що містить скільки завгодно велике число електронів, електричний струм у відсутності зовнішнього поля не виникає.
Встановлення рівноваги електронного газу відбувається в результаті взаємодії електронів з дефектами гратки, яка супроводжується обміном енергії і імпульсом. Такими дефектами є перш за все теплові коливання гратки (фонони) і домішкові атоми. Взаємодія приводить до розсіювання електронів і встановлення безладного руху їх в провіднику.
Дрейф електронів. При прикладенні до провідника електричного поля напруженістю e у ньому виникає електричний струм, густина якого,
згідно з законом Ома, пропорційна e : |
|
j=se. |
(5.1) |
Коефіцієнт пропорційності e називають питомою електропровідністю
(specific electric conductivity) провідника.
Виникнення струму в провіднику свідчить про те, що під дією поля електрони набувають направленого руху і їх функція розподілу по станах змінюється. Такий направлений рух називають дрейфом електронів (drift electron), асередню швидкість цього руху – швидкістю дрейфу vд.
Сила, діюча на електрон з боку поля е, F=-qe. Якби ця сила була єдиною, то вільний електрон рухався б в провіднику весь час прискорено і швидкість його направленого руху могла б зрости до скільки завгодно великої величини навіть в полях низької напруженості. Електропровідність такого провідника була б нескінченною, а електричний опір – нульовим.
Чим же обумовлена скінченна величина електропровідності реальних провідників?
На перший погляд відповідь на це питання здається дуже простою. Адже електрони рухаються не в порожньому просторі, а в кристалі. Кристал же побудований з іонів, які мають скінченні розміри. Електрони, прискорювані полем, стикаються з іонами і тим самим гальмуються.
Проте таке пояснення є дуже примітивним. Воно засноване на уявленні про електрон як про «кульку», яка стикається з іншою «кулькою» – іоном. Але, як ми знаємо, загальний електрон це не «кулька», а швидше хвиля,
48
делокалізована по всьому кристалу. Якщо кристал має ідеально правильну структуру (не містить дефектів), то загальний електрон вільно розповсюджується по такому кристалу – його з рівною вірогідністю можна знайти у будь-якого атома гратки. Електричний опір подібного кристала дійсно дорівнював би нулю.
Отже, справа зовсім не в тому, що електрони-кульки натрапляють на іони-кульки. Поява електричного опору пов'язана з наявністю в гратках різного роду дефектів, що спотворюють її ідеальну структуру. До таких дефектів відносяться перш за все теплові коливання гратки і домішкові атоми. Тільки взаємодія вільних електронів з цими дефектами приводить до їх розсіювання, до відновлення безладу їх руху і, як наслідок цього – до обмеження швидкості дрейфу і до скінченної величини електропровідності реальних кристалів.
Рисунок 5.1 – Функції розподілу електронів за швидкостями для невиродженого (а) і виродженого (б) електронного газу
Вплив гратки на електрон, рухомий в ній під дією зовнішньої сили F, формально можна звести до дії сили опору Fc випробовуваної електроном, подібно кульці, рухомій у в'язкому середовищі (рис. 5.2). Ця сила пропорційна швидкості руху електрона vд і його ефективній масі тп і
направленапротилежно vд: |
|
Fc = -(1/t)mnvд, |
(5.2) |
де 1/t – коефіцієнт пропорційності, фізичне значення якого |
буде |
з'ясовано надалі. |
|
Використовуючи (5.2), рівняння направленого руху електрона в гратці можна записати таким чином:
mn(d vд(t)/dt) = -qe-(1/t)mnvд(t). |
(5.3) |
З (5.3) видно, що після прикладення поля e швидкість направленого
руху електронів зростатиме і вони рухатимуться прискорено до тих пір, поки сила опору Fc, пропорційна vд(t), не виявиться рівною силі F=-qe, діючої з боку поля (рис. 5.2). Коли ці сили порівняються, результуюча сила, діюча на електрон, і прискорення його руху будуть рівні нулю.
49