Материал: UMK_Umumiy_astronomiya_Fizika

Внимание! Если размещение файла нарушает Ваши авторские права, то обязательно сообщите нам

Har bir (6.38) reaksiya uchun (6.36) va (6.37) reaksiyalar ikki marta takrorlanadi. Reaksiyaning birinchi bosqichini laboratoriyalarda o‘lchash extimoli juda kichik. Quyoshning markazidagi mavjud bo‘lgan zichlik va haroratda ikkita proton to‘qnashib deytron hosil qilish vaqti o‘rtacha 1010 yilni tashkil etadi. Ushbu reaksiya sekin-astalik bilan o‘tishi tufayligina Quyosh shu paytgacha porlab turibdi. Agar bu reaksiya biroz jadalroq o‘tganda, Quyosh allaqachon yonib tugagan bo‘lardi. (6.36) reaksiyada hosil bo‘ladigan neytrino yulduzni bemalol tark etib, uzi bilan birga ajralayotgan energiyaning ma’lum ulushini olib ketishi mumkin. Pozitron e+ elektron bilan jadal kirishib ikkita gamma-kvantni hosil qilib yo‘qoladi.

Ikkinchi reaksiyada deytron va proton birlashib geliy izotopi 3He ni hosil qiladi, bu reaksiya avvalgiga qaraganda juda jadal kechadi. Shuning uchun yulduzlarda deytronlarning miqdori juda kichik.

pp zanjiridagi so‘nggi qadami uch xil ko‘rinishga kirishi mumkin. Yuqorida ko‘rsatib o‘tilgandek, ppI eng extimolli bo‘lishi mumkin. Quyoshda energiyaning 91% ni ppI zanjirida ishlab chiqariladi. Shuningdek, pp zanjirining ikkita qo‘shimcha tarmoqlarida ikkita 3He yadro 4He yadrolariga birlashish extimoli mavjud.

ppII: (6.38) 3He + 4He → 7Be + γ ,

(6.39) 7Be + e7Li + νe ,

(6.40) 7Li + 1H → 4He + 4He ,

ppIII: (6.38) 3He + 4He → 7Be + γ ,

(6.39) 7Be + 1H → 8B + γ ,

(6.40) 8B → 8Be + e+ + νe ,

(6.41) 8Be → 4He + 4He .

6.10 rasm. CNO siklda 12S katalizatsiya qilinadi. Unda to‘rtta proton ishtirok etib, geliy yadrosiga, ikkita pozitron, ikkita neytrino va nurlanishga aylanadi. U massasi 1,5 MϾ dan kattaroq yulduzlarda asosiy energiya manbai deb hisoblanadi.

Uglerodli sikl (6.10- rasm). 20 million gradusdan pastroq haroratlarda energiya chiqarishning pp-zanjiri asosiy mexanizm bo‘lib qoladi. Massasi 1,5 MϾ dan kattaroq yulduzlarga mos keluvchi yanada yuqoriroq haroratlarda uglerodli (CNO) sikl ustun kela boshlaydi, chunki uning sur’ati harorat oshishi bilan tezlashib boradi. Uglerodli (CNO) siklda kislorod va azot katalizator (tezlatkich) rolini o‘ynaydi. Reaksiya sikli quyidagi bosqichlaridan iborat:

(6.36) 12C + 1H → 13N + γ ,

(6.37) 13N → 13C + e+ + νe ,

(6.38) 13C + 1H → 14N + γ ,

(6.39) 14N + 1H → 15O + γ ,

(6.40) 15O → 15N + γ+ νe ,

(6.41) 15N + 1H → 12C + 4He .

(6.39) reaksiya eng sekin kechuvchidir, shuning uchun u (CNO) siklning tezligini aniqlab beradi. 20 million gradusda (6.39) reaksiya uchun talab etiladigan vaqt million yilni tashkil etadi.

(CNO) siklda nurlanish ko‘rinishida ajraladigan energiya ulushi pp-zanjiridagiga nisbatan biroz kamroq, chunki energiyaning katta qismini neytrino olib ketadi.

Uch karra α-reaksiya. Avvalgi ko‘rib chiqilgan reaksiyalarda yulduz tublarida geliy miqdori ortib boradi. Harorat 108 gradusdan oshganda geliy uglerodga uch karra α-reaksiya orqali aylanishi mumkin:

(6.36) 4He + 4He ↔ 8Be ,

(6.37) 8Be + 4He → 12C + γ .

Bu erda 8Ve noturg‘un va 2,6 × 10–16 sekund ichida ikkita geliy yadrosiga yoki α-zarralarga parchalanadi. Shunday qilib, uglerod hosil bo‘lishi uchun deyarli bir vaqtning o‘zida uchta zarra to‘qnashishi talab etiladi. Reaksiya ko‘pincha quyidagicha yoziladi:

(6.39) 4He → 12C + γ .

Geliy yonishi tugagandan so‘ng yanada yuqoriroq haroratlarda temir va nikelga qadar og‘ir elementlar ishtirok etishi mumkin bo‘lgan boshqa reaksiyalar boshlanishi extimoli bor. Ana shunday reaksiyalarga misol kilib, kislorod, uglerod va kremniy yonishidek turli α-reaksiyalarni ko‘rsatish mumkin.

α-reaksiyalar. Geliy yonayotgan paytda hosil bo‘lgan uglerodning ayrim yadrolari geliy yadrolari bilan qayta reaksiyaga kirishib, kislorodni hosil qiladi, u esa, o‘z navbatida qayta reaksiyada neonni hosil qiladi, v.x.k. Bu reaksiyalar etarlicha kam amalga oshadi, shuning uchun yulduzli energiya manbalari sifatida unchalik axamiyatli emas. Bunday reaksiyalarga misol qilib quyidagilarni ko‘rsatish mumkin:

12C + 4He → 16O + γ ,

16O + 4He → 20Ne + γ ,

20Ne + 4He → 24Mg + γ .

Uglerod yonishi. Geliy tugagandan so‘ng, (5-8) × 1010 K haroratlarda uglerodning yonishi boshlanadi:

12C + 12C → 24Mg + γ

23Na + 1H

20Ne + 4He

23Mg + n

16O + 2 4He .

Kislorod yonishi. Yanada yuqoriroq haroratlarda reaksiyaga kislorod kirishadi:

16O + 16O → 32S + γ

31P + 1H

28Si + 4He

31S + n

24Mg + 2 4He .

Kremniy yonishi. Kremniy yonishidagi bir necha qadamdan so‘ng nikel va temir hosil bo‘ladi. Butun jarayon quyidagicha ifodalanishi mumkin:

28Si + 28Si → 56Ni + γ ,

56Ni → 56Fe + 2 e+ + 2 νe .

Harorat 109 K dan yuqori bo‘lganda, fotonlarning energiyasi ayrim yadrolarni yo‘q qilishga etarli katta bo‘ladi. Bunday reaksiyalar fotoyadroviy reaksiyalar yoki fotodissotsiatsiyalar deb nomlanadi.

Temirdan og‘irroq elementlarni hosil qilish uchun energiya etkazib berilishini talab etadi, shuning uchun bunday elementlar termoyadroviy reaksiyalarda hosil bo‘lmaydi. Temirdan og‘irroq elementlar yulduzli evolyusiyaning keskin va shiddatli bosqichlari davomida neytronlarni qamrab olishlaridagina paydo bo‘lishi mumkin.

Yuqorida berilgan reaksiyalarning tezliklarini laboratoriya tajribalari yordamida yoki nazariy hisob-kitoblardan aniqlash mumkin. Buni bilgan holda zichlik, harorat va kimyoviy tarkibiga bog‘langan hamda massa va vaqt birligida qancha energiya ajralib chiqishini topish imkoni topiladi:

ε = ε(T, ρ, X, Y, Z) . (6.42)

Amalda og‘ir yadrolarining nafaqat umumiy soni Z, balki nisbiy miqdori ham ma’lum bo‘lishi lozim.

23-Ma’ruza. To'siluvchan o'zgaruvchan yulduzlar. Spektral qo'shaloq yulduzlar. Eruptiv o'zgaruvchanlar. Pulsarlar – neytron yulduzlar. Qora o'ralar.

§ 6.8. Qo‘shaloq yulduzlar

Ko‘p holda osmondagi ikkita yulduz biri biriga yaqin joylashgan bo‘lib ko‘rinadi, aslida ularni juda katta masofalar ajratib turadi. Bunday tasodifiy juftliklar optik qo‘shaloq yulduzlar deb nomlanadi. Shunday bo‘lsada, ko‘pgina yaqin joylashgan yulduziy juftliklar bir xil masofada joylashgan bo‘lib, fizik juftlikni tashkil etadilar, bunda ikkala yulduz bir-birining atrofida aylanadilar. Barcha yulduzlarning deyarli yarimi Quyosh kabi yakka yulduzlardir, 50% dan ziyod yulduzlar ikkita va undan ko‘proq a’zolarga ega yulduzli sistemalarga taalluqlidir. Umumiy holda ko‘pchilik sistemalar ierarxik tuzilishga ega: uch karrali sistemalarda bitta yulduz qo‘shaloq yulduz atrofida, to‘rt karrali sistemalarda ikkita qo‘shaloq juftlik biri birining atrofida aylanadilar. Shunday qilib, ko‘p hollarda murakkab sistemalarni bir nechta pog‘onalarga ega juftliklar deb ko‘rsatish mumkin.

Qo‘shaloq yulduzlar ularni kuzatish usuli asosida sinflashtiriladi. Vizual juftliklarni ikkita yakka komponenta deb qabul qilish mumkin, bunda yulduzlar orasidagi masofa 0,1 burchak sekunddan kichik bo‘lmog‘i lozim. Komponentalarning o‘zaro joylashuvi ko‘p yillar davomida o‘zgarib boradi, chunki ular o‘zlarining orbitalari bo‘ylab harakatlanadilar (6.11 rasm). Astrometrik qo‘shaloqlarda faqat bitta yulduz ko‘rinadi, ammo undagi xususiy harakatining o‘zgaruvchanligi ko‘zga ko‘rinmas ikkinchi komponenta mavjudligidan dalolat beradi. Spektroskopik ko‘shaloq yulduzlar ularning spektrlari asosida topiladi. Bunda spektral chiziqlarning ikkita to‘plami yoki ana shu chiziqlar orasida davriy ravishda dopplercha siljish kuzatiladi, bu ham ko‘rinmas yo‘ldoshga ishora qiladi. Qo‘shaloqlarning to‘rtinchi sinfi fotometrik qo‘shaloq yoki tutuluvchan o‘zgaruvchan yulduzlardir. Bu sistemalarda juftlikning komponentalari muntazam biri-birini to‘sib o‘tadilar, oqibatda ularning umumiy yulduziy kattaliklari o‘zgarib turadi.

Qo‘shaloq yulduzlar, shuningdek, o‘zaro ta’sirlashuvlariga binoan ham sinflashtirilishlari mumkin. Keng juftliklarning komponentalari orasidagi masofa bir necha o‘n va bir necha yuz astronomik birliklar bo‘lib, ularning orbital davrlari bir necha o‘n yildan bir necha ming yilgacha tashkil etishi mumkin. Tig‘iz qo‘shaloq sistemalarda yulduzlar orasidagi masofa bir astronomik birlikdan yulduz radiusigacha teng bo‘lishi mumkin. Ularda orbital davr bir necha soatdan bir necha yilgacha bo‘ladi. Kontaktli qo‘shaloqlarda komponentalari shunchalik yaqinki, ular biri-biriga tegib turadi.

Qo‘shaloq sistemalardagi yulduzlar sistemaning massalar markazi atrofida harakatlanish orbitasi ham ellips ekanligi isbotlangan, va kuzatuvlarni sharhlaganda ko‘pincha komponentalarning biri qo‘zg‘almas, ikkinchisi esa, uning atrofida aylanadi deb olinadi.

6.11 rasm. Uzoq kuzatuvlar mobaynida vizual qo‘shaloqlarni kuzatib, komponentalari biri biriga nisbatan vaziyatlarini o‘zgartirishlarini payqash mumkin. Kryuger 60 yulduzining tasviri. ( Yerks observatoriyasi)

6.12 rasm. 1830 yilda ilk bor ξ Katta Ayiq qo‘shaloq yulduzining orbitasi kuzatuvlardan aniqlangan.

Vizual qo‘shaloqlar. Vizual qo‘shaloqni olib ko‘raylik, bunda bosh komponenta qo‘zg‘almas, yo‘ldoshi esa, orbita bo‘ylab uning atrofida harakatlanayapti deb faraz qilaylik. Yulduzlar orasidagi burchak masofani va pozitsion burchakni bevosita kuzatuvlardan aniqlash mumkin. Ko‘pyillik muntazam kuzatuvlardan foydalangan holda yo‘ldoshning relyativistik orbitasi topiladi. 6.12 rasmda 1830 yildagi
ξ Katta Ayiq yulduzi misolida qo‘shaloqning dastlabki orbitasi ko‘rinishi tasvirlangan.

Vizual qo‘shaloq yulduzlarning kuzatuvlari fazo tekisligidagi nisbiy orbital ellipsning proeksiyasini beradi, bunda haqiqiy orbitaning vaziyati va shakli aniqlanmaydi. Shunday bo‘lsada, bosh yulduz nisbiy orbitaning fokal nuqtasida joylashishi lozim degan taxmindan ularni hisoblab topish mumkin. Bosh yulduzning proeksiyalangan nisbiy orbitadagi hisoblangan vaziyatidan chetlashishlari haqiqiy orbitaning batafsil orientatsiyasini topishga imkon beradi.

6.13 rasm. Qo‘shaloq sistemaning komponentalari umumiy massalar markazi atrofida harakatlanadilar. A1 va A2 berilgan vaqt momenti A da, mos ravishda, B va C uchun yulduzlarning vaziyatlarini belgilaydi

Orbitaning absolyut o‘lchamini qo‘shaloqlar orasidagi masofani bilgan holda aniqlash mumkin. Bular orqali Kepler qonunlaridan foydalanib, sistemaning umumiy massasi hisoblab topiladi.

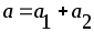
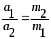
Komponentalarning aloxida massalarini ikkala komponentalari massalar markazi atrofida harakatini kuzatishlaridan aniqlasa bo‘ladi. Bosh va yo‘ldosh yulduzlar orbita ellipslari katta yarimo‘qlari a1 va a2 bo‘lsin. Bundan, massalar markazigacha masofalariga muvofiq:

(6.43)

bo‘ladi, bunda m1 va m2 – massalarning tashkil etuvchilaridir. Nisbiy orbitaning katta yarimo‘qi

. (6.44)

Masalan, ξ Katta Ayiq yulduzi komponetalarining massalari 1,3 va 1,0 Quyosh massalariga tengligi aniqlangan.

Astrometrik qo‘shaloq yulduzlar. Astrometrik qo‘shaloqlarda massalar markazi atrofida faqat yorqin tashkil etuvchisining orbitasini kuzatish mumkin. Agar ko‘rinayotgan komponentaning massasi biror yo‘sinda, masalan, uning yorituvchanligidan aniqlansa, ko‘rinmas yo‘ldoshning ham massasini aniqlasa bo‘ladi.

1830 yilda ilk bor topilgan astrometrik qo‘shaloq yulduz Sirius edi, uning xususiy harakati o‘ziga xos to‘lqinsimon ko‘rinishga ega. Uning atrofida kichik yo‘ldosh mavjud deb taxmin qilindi, u bir necha o‘n yildan so‘ng topildi (6.11 va 6.14 rasmlar). Ushbu qo‘shaloqning yo‘ldoshi Sirius B umuman yangi turdagi obyekt, ya’ni, oq karlik bo‘lib chiqdi.

6.14 rasm. Sirius va uning yo‘ldoshining fazodagi harakat yo‘llari

Sayyoraviy sistemalarni axtarish maqsadida Quyoshga yaqin tevaragida joylashgan yulduzlarning xususiy harakatlari batafsil o‘rganib chiqildi.

Masalan, harakatlarini o‘rganish orqali Barnard yulduzi ko‘rinmas yo‘ldoshlarga ega deb gumon qilinsada, boshqa yulduzlar atrofida sayyoraviy sistemalar topilganicha yo‘q, ular spektroskopik kuzatuvlar orqali ham tadqiq qilindi.

Spektroskopik qo‘shaloqlaryu Spektroskopik qo‘shaloq yulduzlar (6.15 rasm) xatto eng kuchli teleskoplarda ham kuzatilganda yakka yulduzlardek ko‘rinadilar, ammo ularning spektrlari muntazam davriy o‘zgarishlarga egadir. Dastlabki spektral qo‘shaloq 1880 yilda topilgandi, unda ζ UMa yoki Mitsar yulduzining spektral chiziqlari teng vaqtlar oralig‘ida ikkitaga parchalanib turishi aniqlandi.