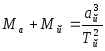
Alohida yulduzning massasini bevosita aniqlash mumkin bo‘lmay, faqat qo‘shaloq yulduzlarning tashkil etuvchilarini birgallikda olingan massalarini ularning harakatlarini o‘rganish asosida hisoblash mumkin. Buning uchun Keplerning Nyuton tomonidn aniqlashtirilgan uchinchi qonunidan foydalaniladi:
(6.4)
bu
erda
,
– mos ravishda asosiy va yo‘ldosh yulduzlarning massalarini;
,
-
esa Quyosh va Yer massalarini xarakterlaydi.
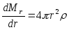
>>
,
=1
yil,
=1a.b.
deb, Yo‘ldosh yulduzning aylanish davri yillarda, orbitaning katta
yarim o‘qini astronomik birliklarda ifodalasak (6.1) ifoda quyidagi
ko‘rinishni oladi:
(6.5)
(6.2) ifoda bilan hisoblanganda, yulduzlar komponentalarining massasi Quyosh massasi birligida chiqadi.
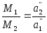
Agar qo‘shaloq sistemaga kiruvchi yulduzlarning massa markaziga nisbatan holatini alohida belgilashni va natijada ularning katta yarim o‘qlarining burchagiy o‘lchamlarini alohida aniqlashning imkoni bo‘lsa, u holda ularning massalarining munosabatlarini ushbu ifoda yordamida aniqlash mumkin:
(6.6)
Garchi alohida olingan yulduzlarning massalarini aniqlash mumkin bo‘lmasada, biroq spektr–yorqinlik diagrammasidan alohida o‘rin olgan ayrim yulduzlar gruppasi uchun ularning yorqinliklari va massalari orasida bog‘lanish borligi empirik yo‘l bilan aniqlangan. Xususan, bosh ketma-ketlik egriligidan o‘rin olgan ko‘pchilik qo‘shaloq yulduzlarning komponentalari uchun quyidagi bog‘lanish o‘rinli bo‘ladi
(6.7)
Ushbu ifodadan ko‘rinishicha, bosh ketma-ketlikning tepa qismida eng massiv yulduzlar joylashib, pastga yo‘nalgan sayin yulduzlarning massasi kamayib boradi.
21-Ma’ruza. Yulduzlarning o'lchamlarini aniqlash usullari. Radius – yorqinlik – massa munosabati. Kolorimetriya.
Elementar matematika kursidan ma’lumki, kuzatuvchidan aniq masofada joylashgan jismning burchagiy o‘lchami ma’lum bo‘lsa, uning chiziqli o‘lchamini hisoblash ortikcha qiyinchilik tug‘dirmaydi. Binobarin, agarda yulduzning burchagiy diametri d ma’lum bo‘lsa, bu yulduzgacha masofa r aniq bo‘lganda uning D diametrini ham osongina hisoblash mumkin. Buning uchun ushbu formuladan foydalaniladi:
yoki
km (6.8)
Biroq
yulduzlar juda uzoq masofada joylashganliklaridan eng yirik
teleskoplar bilan ham ularning burchagiy o‘lchamlarini aniqlab
bo‘lmaydi. Faqat maxsus yulduzlar interferometr deb yuritiluvchi
teleskoplar yordamidagina atigi bir necha o‘nlab yulduzlarning
burchagiy o‘lchamlarini va bu asosda ularning chiziqli
o‘lchamlarini aniqlash mumkin.
Ma’lum yulduz radiuslarini aniqlashning boshqa bir usuli uning bolometrik yorqinligi Lbol va effektiv temperaturasi Tef ga tayanadi. Ma’lum yulduzning 1 kv.sm yuzasi hamma yo‘nalish bo‘yicha nurlanish energiyasi uning effektiv temperaturasi bilan quyidagicha bog‘lanishda bo‘ladi:
(6.9)
U
holda yulduzning to‘la sferik sirtidan chiqayotgan nurlanish oqimi,
yulduz sirti
bo‘lganidan:
(6.10)
Bu ifodani Quyosh uchun tadbiq qilinsa
(6.11)
(6.10) va (6.11) tenglamalarning mos tomonlarini o‘zaro bo‘lsak
(6.12)
yoki

logarifmlasak
![]()
Odatda yulduzlarning radiusi va yorqinliklari Quyosh radiusi va yorqinliklari birligida (R=1, L=1) ifodalanganidan
(6.13)
ko‘rinishda yozish mumkin.
Yulduzlarning absolyut bolometrik kattaliklari Mb ma’lum bo‘lsa, yulduzlarning chiziqiy o‘lchamlari ularning effektiv temperaturalariga ko‘ra quyidagicha topiladi.
(6.14)
Yulduzlarning
diametri Ernikidan yuzlab marta kichik (neytron yulduzlar) va
Quyoshnikidan ming martagacha katta (o‘tagigant yulduzlar) bo‘lgan
oraliqlarda uchratish mumkin. Bosh ketma-ketlik egriligida joylashgan
ko‘pchilik yulduzlar uchun yulduzlarning yorqinliklari va
radiuslari orasidagi ushbu bog‘lanish empirik yo‘l bilan
aniqlanadi:
.
Yulduzlarning
spektral sinfi (temperaturasi) va yorqinliklari orasidagi
bog‘lanishdan tashqari ularga tegishli asosiy fizik kattaliklar –
yorqinlik, effektiv temperatura va radius orasidagi bog‘lanish
borligi (6.13) dan ham bizga ma’lum. Binobarin
yulduzlarning radiusi va spektral sinfi (temperaturasi) orasidagi
bog‘lanish mavjud. Bunday bog‘lanish diagrammada aks qilish uchun
Gersщprung-Ressel diagrammasidagi vizual – absolyut yulduz
kattaligi Mv
o‘rniga logarifmik shkalada absolyut bolometrik yulduz kattaligi
Mb,
spektral sinflar o‘rniga unga mos logarifmik shkaladagi effektiv
temperaturani kuyamiz. Bunday diagrammada bir xil radiusga ega
bo‘lgan yulduzlar bir to‘g‘ri chiziq bo‘yicha joylashadi,
chunki (6.13) ifodadan ko‘rinishicha
va
o‘zaro chiziqli bog‘langandir.
|
|
|
6.4-rasm. Massa-Yorqinlik diagrammasi |
6.4-rasmda shunday diagramma tasvirlangan bo‘lib, unda bir xil radiusli yulduzlar joylashadigan to‘g‘ri chiziqlar aks ettirilgan.
Bordiyu yulduzlarning yorqinliklari va massalari orasidagi bog‘lanishni ifodalovchi formula, boshqa sinflarga kiruvchi yulduzlarning yorqinliklari uchun ham o‘rinli deb qaralsa, unda spektr-yorqinlik diagrammasida massalari ma’lum yulduzlarni joylab, ular asosida bir xil massali yulduzlarning ham o‘rinlarini belgilash mumkin bo‘ladi.
Shunday qilib 6.4-rasmda ifodalangan diagramma spektr-yorqinlik diagrammasidan yana ham to‘laligi bilan farq qilib, yulduzlar holatining diagrammasi sifatida qaralishi mumkin.
Xususan bunday diagramma yulduzlarning evolyusiyasi haqida, hamda evoyusiya tufayli uning asosiy fizik parametrlarining o‘zgarish tendensiyasi haqida qimmatli ma’lumotlarni berishi mumkin.
22-Ma’ruza. Yulduzlarning ichki tabiati va tuzilishi. Yulduzlarning atmosferalari. Planetar tumanliklar. Qo'shaloq sistemalar. Vizual qo'shaloq yulduzlar.
Yulduz ichidagi muvozanatning matematik shart-sharoitlarini massa taqsimotini, gaz bosimini, yulduzdagi energiya ajralib chiqishi va ko‘chishini ifodalovchi to‘rtta differensial tenglama yordamida ifodalash mumkin. Ana shu tenglamalarni chiqaraylik.
Gidrostatik muvozanat. Og‘irlik kuchi yulduzdagi materialni markazga tortadi. U gaz molekulalarning issiqlik harakati tufayli yuzaga keladigan bosim kuchiga qarama-qarshi yo‘nalgan. Muvozanatning birinchi shartidan ushbu ikkala kuch muvozanat holatida ekanligi kelib chiqadi.
|
|
|
6.5-rasm. Gidrostatik muvozanatdagi hajm birligiga ta’sir etayotgan bosim va gravitatsion kuchlarning yig‘indisi nolga teng |
(6.15)
bo‘ladi, bu erda G – gravitatsion doimiy. Ushbu ifodadagi minus ishorasi kuch yulduz markaziga yo‘nalganligini bildiradi. Agar hajm birligidagi tag sirtida bosim R, yuqori sirtida P + dP bo‘lsa, unda elementga ta’sir etayotgan jami kuch
(6.16)
ga teng bo‘ladi.
Tashkariga yo‘nalgan sari bosim kamayib borganligi uchun dP manfiy, dFp esa, musbat bo‘ladi. Muvozanat sharti shundan iboratki, hajm birligiga ta’sir etayotgan jami kuch nolga teng bo‘lishi lozim, ya’ni:
![]()
yoki
.
(6.17)
Ushbu ifoda gidrostatik muvozanat tenglamasidir.
|
|
|
6.6 rasm. Yupqa sferik qobiqning massasi uning hajmi va zichligiga bog‘liq bo‘ladi |
.
(6.18)
Energiya ajralishi. Muvozanatning uchinchi sharti energiya saqlanishini talab etadi, bundan, yulduzda ajralgan ixtiyoriy energiya uning sirtigacha etishi va nurlantirilishi lozim. Yana, r radius ichida dMr joylashgan va qalinligi dr bo‘lgan sferik qobiqni olib ko‘raylik (6.7 rasm). Energiya oqimi Lr bo‘lsin, ya’ni, vaqt birligida r sirtidan o‘tayotgan energiya miqdori bo‘lsin. Agar yulduzda vaqt va massa birliklarida ajralgan energiya miqdori, ya’ni, energiya ajralish koeffitsienti ε bo‘lsa, unda
.
Shunday qilib, energiya saqlanish tenglamasi
(6.19)
|
|
|
6.7 rasm. Sferik qobiqdan oqib o‘tayotgan energiya qobiqning o‘zidan oqayotgan va qobiqning ichida ajralayotgan energiyalarning yig‘indisiga teng |