Материал: UMK_Umumiy_astronomiya_Fizika

Внимание! Если размещение файла нарушает Ваши авторские права, то обязательно сообщите нам
ko‘rinishga ega. Energiya ajralish tezligi markazgacha bo‘lgan masofaga bog‘liq bo‘ladi. Umuman olganda, yulduz nurlantirayotgan barcha energiya qaynoq va zich yadroda ajraladi. Tashqi qatlamlarda energiya ajralishi kam va Lr deyarli o‘zgarmasdir.

Harorat gradienti. Muvozanatning to‘rtinchi tenglamasi haroratning radiusga bog‘lanishini, ya’ni, harorat gradienti ni beradi. Tenglamaning shakli energiya ko‘chishi ko‘rinishiga: issiqlik o‘tkazuvchanlik, konveksiya yoki nurlanishga bog‘liqdir.

Normal yulduzlarning tublarida issiqlik o‘tkazuvchanlik o‘ta samarasiz, chunki energiyani ko‘chishida ishtirok etuvchi elektronlar boshqa zarralar bilan to‘qnashmasdan kichik masofalarda harakatlana oladilar. Issiqlik o‘tkazuvchanlik faqat kompakt yulduzlarda – oq karlik va neytron yulduzlarda axamiyatli bo‘lib qolishi mumkin, ularda fotonlarning erkin yugurish uzunligi juda kichik, ammo ayrim elektronlar uchun nisbatan katta bo‘ladi. Demak, normal yulduzlarda energiya ko‘chishining o‘tkazuvchanligini inobatga olmasa ham bo‘ladi.

Energiyaning radiatsion ko‘chishida yulduzning qaynoqroq qismlaridan nurlangan fotonlar sovuqroq qismlari tomonidan yutiladi va qiziydi. Yulduz tubida ajralgan energiya butkul nurlanish orqali ko‘chayotgan bo‘lsa, yulduz nuriy muvozanatda bo‘ladi.

Haroratning radiatsion gradienti Lr ga mos ravishda energiya oqimi bilan quyidagicha bog‘liq:

, (6.20)

bu erda a = 4σ/c = 7.564 × 10−16 J m−3 K−4 – nurlanishning doimiysi, s – yorug‘lik tezligi va ρ – zichlik. Massaning yutilish koeffitsienti k massa birligida yutilish kattaligini ifodalaydi. Uning qiymati haroratga, zichlikga va kimyoviy tarkibga bog‘liq bo‘ladi.

(6.20) ni olishda nurlanish ko‘chishi tenglamasi (5.44) dan foydalanildi. Ushbu bobda qo‘llanilayotgan o‘zgaruvchilar nuqtai nazaridan quyidagicha yozish mumkin.

.

Ushbu tenglamada kv mos keluvchi o‘rtacha qiymat x ga almashtiriladi. Shundan so‘ng tenglama cos θ ga ko‘paytirilib, barcha yo‘nalish va chastota bo‘yicha integrallanadi. Chap tomondagi Iν Plank funksiyasi Bν yordamida approksimatsiyalanishi mumkin. Integral chastotasi (5.16) yordamida topilishi mumkin. O‘ng tomondagi birinchi had (4.2) ga mos oqim zichliklarida ifodalanadi, ikkinchi hadning yo‘nalishlar bo‘yicha integrali nolni beradi, chunki jv θ ga bog‘liq emas. Shunday qilib,

.

va nihoyat, oqim zichligi Fr va energiya oqimi Lr orasidagi bog‘lanish

dan foydalanib, (6.20) ni oldik.

ning hosilasi manfiydir, chunki harorat ichkariga ortib boradi. Ravshanki, agarda u erda energiya nurlanish orqali ko‘chsa, harorat gradienti mavjud bo‘lishi lozim, aks holda nurlanish maydoni barcha yo‘nalishlarda bir xil bo‘ladi va sof oqim Fr nolga teng bo‘lib qoladi.

Agar nuriy ko‘chish samarasiz bo‘lib qolsa, haroratning nuriy gradientining absolyut qiymati juda katta bo‘lib qoladi. U holda gazda nurlanishga nisbatan samaraliroq energiyani tashqariga eltuvchi harakatlar o‘rnatiladi. Ushbu konvektiv harakatlarda qaynoq gaz yuqoriga, nisbatan sovuq qatlamlarga ko‘tariladi, u erda o‘zining energiyasini yo‘qotadi va qayta cho‘kadi. O‘sib o‘tuvchi gazning elementlari yulduzning materialini qorishtirib turadi va yulduzdagi konvektiv qismining tarkibi bir jinsli bo‘lib qoladi. Ikkinchi tomondan, nurlanish va o‘tkazuvchanlik materialni qorishtiraolmaydi, chunki ular gazni emas, balki faqat energiyani ko‘chirishida ishtirok etadilar.

Konvektiv holdagi harorat gradientini tushunish uchun qo‘tariluvchi pufakni olib ko‘raylik. Faraz qilaylik, gaz pufak bilan harakatlanadi va adiabatik holatdagi tenglamaga bo‘ysunadi:

, (6.21)

Bu erda P – gaz bosimi, γ – adiabatik eksponenta, ya’ni, o‘zgarmas bosim va hajmdagi solishtirma issiqlik sig‘imlarining nisbatlaridir:

. (6.22)

Solishtirma issiqlik sig‘imlarining ushbu nisbati gazning ionlashish darajasiga bog‘liq bo‘ladi va u harorat, zichlik hamda kimyoviy tarkibi ma’lum bo‘lganda hisoblab topilishi mumkin.

(6.21) dan hosilani olib, konvektiv harorat gradienti uchun ifodani qo‘lga kiritamiz:

. (6.23)

Amalda yulduz tuzilishini hisoblayotganda aloxida (6.20) yoki (6.23) dan foydalanganda nisbatan silliqroq harorat gradienti chiqadigan tenglama tanlanadi. Yulduzning tashqi qatlamlarida atrof muhit bilan issiqlik almashinuvi ham inobatga olinishi lozim, bunda (6.23) yaqinlashuvi unchalik yaxshi emas. Ko‘pincha konvektiv harorat gradientini hisoblashda qorishtirish uzunligi nazariyasi qo‘llaniladi. Konveksiya nazariyasi hanuzgacha murakkab, takomillashmagan muammo bo‘lib kelmoqda uning echimi ushbu taqdimnomaning doirasidan chiqib ketadi.

Haroratning radiatsion gradienti absolyut qiymati bo‘yicha adiabatik gradientidan katta bo‘lib qolganda, ya’ni, radiatsion gradient keskinlashganda yoki konvektiv gradient kichrayganda konvektiv harakatlar yuzaga keladi. (6.20) formuladan ko‘rinib turganidek, energiya oqimining zichligi yoki massadagi yutilish koeffitsienti kattalashganda radiatsion gradientining keskinlashuvini kutish mumkin. Adiabata ko‘rsatkichi 1 ga yaqinlashganda konvektiv gradient kichrayadi.

Chegaraviy shartlar. Masala to‘g‘ri qo‘yilishi uchun avvalgi differensial tenglamalarda chegaraviy shartlar yozilishi lozim:

- r = 0 radius ichidagi markaziy qismda energiya manbai yoki massa bo‘lmasligi lozim; shunday qilib, M0 = 0, L0 = 0.

- Yulduz radiusi R chegarasida ichidagi umumiy massa qat’iy etib olinadi: MR = M.

- Yulduz sirtidagi harorat va bosim qandaydir aniq TR yoki PR qiymatlarga ega. Ular, odatda, o‘rtachalardan ancha kichik, shuning uchun TR = 0 va PR = 0 olish kifoyadir.

Ushbu chegaraviy shartlarga qo‘shimcha sifatida holat tenglamasi bilan beriladigan bosim uchun ifoda, shuningdek, massalar yutilishi koeffitsienti hamda energiya ishlab chiqarish tezligi uchun ifodalari zarur bo‘ladi. Asosiy differensial tenglamalarining echimi massani, haroratni, energiya oqimi va zichligini radius funksiyasi ko‘rinishida beradi. Yulduzning radiusi va uning yorituvchanligini kuzatuvlardan taqqoslab ham topish mumkin.

Muvozanatli yulduzli modellarning xossalari, umuman olganda, berilgan massa va kimyoviy tarkibi orqali aniqlanadi. Bu natija Fogt – Ressel teoremasi sifatida tanishdir.

Gazning fizik holati. Yulduzlardagi mavjud yuqori harorat tufayli gaz deyarli butkul ionlashgan. Aloxida zarralar orasidagi o‘zaro ta’sirlashuv kichik, shuning uchun gaz ideal gaz holati tenglamalariga bo‘ysunadi:

, (6.24)

bu erda k – Bolsman doimiysi, µmH birliklarida ifodalangan o‘rtacha molekulyar og‘irlik, mH – vodorod atomining massasi.

O‘rtacha molekulyar massa gaz to‘liq ionlashgan deb faraz qilgan holda taqribiy topilishi mumkin. Yadro zaryadi Z bo‘lgan atom Z+1 erkin zarralarni (yadro va Z elektronlar) chiqaradi. Vodorod atom massasi birligida ikkita zarraga ega; geliy massasining to‘rtta atom birligida uchta zarrani chiqaradi. Vodorod va geliydan og‘irroq barcha elementlar uchun atom vazni yarimiga tenglashtirish uchun Z+1 deb olinishi kifoya. (Aniq qiymatlar osongina topilishi mumkin, ammo og‘ir elementlarning miqdori shunchalik kichikki, odatda aniqroq qiymatlar talab etilmaydi.). Astrofizikada vodorodning nisbiy massa ulushi X bilan, geliyniki Y va undan og‘irroq elementlar Z bilan belgilanadi, shuning uchun

X+ Y + Z = 1. (6.25)

(Bu tenglamadagi Z ni yadro zaryadi bilan adashtirmaslik lozim, u ham shu harf bilan belgilanadi). Shunday qilib, o‘rtacha molekulyar massa

(6.26)

ga teng bo‘ladi.

Yuqori haroratlarda nurlanish bosimi ideal gaz tenglamasidan kelib chiqadigan gaz bosimiga qo‘shilishi lozim. Nurlanish tufayli hosil bo‘ladigan bosim (shuningdek, 239 betga qaralsin)

(6.27)

ga teng, bu erda a – nurlanish doimiysi. Shunday qilib, umumiy bosim

(6.28)

ga teng. O‘ta yuqori zichliklardagi gazga buni qo‘llab bo‘lmaydi.

Pauli taqiqi tamoyiliga ko‘ra, bir necha elektronli atom bir vaqtning o‘zida teng bo‘lgan to‘rtta kvant soniga ega bittadan ortiq elektronga ega bo‘laolmaydi. Buni tarkibida elektron yoki boshqa fermion mavjud gazga ham tadbiq etish mumkin. Elektronlarni bayon etishda olti o‘lchamli fazodan foydalanish mumkin, ulardan uchta koordinatasi zarraning vaziyatini, qolgan uchtasi x, y, z yo‘nalishlardagi impuls koordinatalarini beradi. Fazaviy fazo elementining hajmi

. (6.29)

Noaniqlik tamoyilidan, eng kichik sezilarli hajm elementi h3 tartibida bo‘ladi. Istisno tamoyiliga ko‘ra, bunday element hajmida qarama-qarshi spinlarga ega faqat ikkita elektron mavjud bo‘lishi mumkin. Zichlik etarlicha katta bo‘lganda fazaviy fazo hajmining barcha elementlari qandaydir chegaraviy impulsga qadar to‘lgan bo‘ladi. Bunday modda aynigan modda deb nomlanadi.

Elektron gazning zichligi taxminan 107 kg/m3 tartibiga etganda u aynay boshlaydi. Oddiy yulduzlarda gaz odatda aynimagan bo‘ladi, ammo oq karlik va neytron yulduzlarda degeneratsiya muhim axamiyatga ega bo‘lib qoladi. Aynigan elektron gazning bosimi (239 betga qaralsin):

, (6.30)

bu erda me – elektronning massasi, N / V – hajm birligida elektronlarning soni. Ushbu tenglamani zichliklar birliklarida yozish mumkin:

,

bu erda µe – erkin elektronning mH birliklarida ifodalangan o‘rtacha molekulyar massasi. µe uchun ifoda (6.26) ga o‘xshash holda olinishi mumkin:

. (6.31)

Quyoshdagi vodorod miqdori uchun uning qiymati

ga teng. Bosim uchun natijaviy ifoda quyidagichadir:

. (6.32)

Bu – aynigan elektron gazning holat tenglamasi, ammo bunda ideal gaz uchun qonunidan farqli ravishda bosim haroratga bog‘liq emas, u faqat zarralarning massasi va zichligiga bog‘liqdir.

Normal yulduzlarda aynigan gazning bosimi juda kichik, ammo gigant yulduzlarning markazlarida va zichligi 108 kg / m3 tartibiga etadigan oq karliklarda haroratdan qat’iy nazar aynigan gazning bosimi ustun keladi.

Elektronlarning yanada kattaroq zichliklarida impulslar shunchalik kattalashib ketadiki, ularning tezliklari yorug‘lik tezligiga yaqinlashadi. U holda maxsus nisbiylik nazariyasidagi formulalardan foydalangani ma’qul. Aynigan relyativistik gazning bosimi quyidagichadir:

. (6.33)

Relyativistik holda bosim zichlikning 5/3 darajasiga emas, balki norelyativistik holdagidek, 4/3 darajasiga proporsionaldir. Relyativistik holga o‘tish zichlikning taxminan 109 kg / m3 qiymatlaridan boshlanadi.

Umumiy holda yulduz tubidagi bosim haroratga (butkul aynigan gaz bundan mustasno), zichlik va kimyoviy tarkibiga bog‘liq bo‘ladi. Real yulduzlarda gaz hech qachon butunlay ionlashgan yoki butunlay aynigan bo‘lmaydi. Bunda bosim nisbatan murakkabroq ifodalarga bo‘ysunadi. Shunday bo‘lsada, u har bir qiziqtirgan hol uchun hisoblab topilishi mumkin. Unda, bosimni harorat, zichlik va kimyoviy tarkib funksiyasi sifatida yozish mumkin bo‘ladi:

P = P(T, ρ, X, Y, Z). (6.34)

Gazning shaffofsizligi nurlanish uchun ko‘rsatgan qarshiligini ifodalaydi. Masofa dr da intensivlik dI o‘zgarishi quyidagicha ifodalanishi mumkin: , bu erda α shaffofsizlik koeffitsienti. Shaffofsizlik gazning kimyoviy tarkibiga, harorat va zichligiga bog‘liq bo‘ladi. Odatda u α = κρ ko‘rinishda yoziladi, bu erda ρ – gazning zichligi, κ – yutilishning massaga bog‘liq koeffitsienti ([ κ ] = m2 / kg).

Shaffofsizlikga teskari qiymati nurlanishning muhitda erkin yugurish o‘rtacha uzunligini, ya’ni, sochilishsiz yoki yutilishsiz tarqalishi mumkin bo‘lgan masofani beradi. Yutilishning turli xil jarayonlari (bog‘langan-bog‘langan, chekli-erkin, erkin-erkin) haqida 5.1 bo‘limida bayon etilgandi. Yulduzli moddaning har bir jarayon uchun shaffofsizligi mos keluvchi harorat va zichlik berilgan qiymatlari orqali hisoblab olinishi mumkin.

Yulduzlar energiyasining manbalari. Yulduz tuzilishining tenglamalari olingan paytda yulduziy energiya manbalarining tasniflari noma’lumligicha qolib ketayotgan edi. Yulduzning odatiy yorituvchanligini bilgan holda energiya manbalari davomiyligini va turlarini bilish mumkin. Masalan, normal kimyoviy yonish energiyani atigi bir necha ming yil davomida etkazib berishi mumkin. Yulduz siqilishida ajraladigan energiya biroz ko‘proq muddatga cho‘zilishi mumkin, ammo u ham bir necha million yildan so‘ng tugashi lozim.

Erdagi biologik va geologik ma’lumotlardan Quyoshning yorituvchanligi bir necha milliard yil davomida deyarli o‘zgarishsiz kelayotganligidan dalolat beradi. Erning yoshi taxminan 5 milliard yil tashkil etadi, bundan Quyosh ana shu davr ichida mavjud bo‘lishi lozim. Quyoshning yorituvchanligi 4 × 1026 Vt, u 5 × 109 yil davomida 6 × 1043 J energiyani nurlantirgan. Quyoshning massasi 2 × 1030 kg ekanligini inobatga olsak, u kamida 3 × 1013 J / kg ni ishlab chiqarishga qodir.

Energiya manbaidan qat’iy nazar Quyosh tubidagi sharoitlar ma’lum. Shunday qilib, 10.5 misolda Quyosh ichida radiusi yarmisiga teng masofada harorat taxminan 5 million gradus tashkil etishi hisoblangan. Markazdagi harorat taxminan o‘n million Kelvinga yaqin, bu esa, termoyadroviy sintez reaksiyalari kechishi uchun etarlicha kattadir.

Sintez reaksiyalarida engil elementlar nisbatan og‘ir elementlarga aylanadi. Reaksiyadan chiqqan mahsuli dastlabki yadrolarga nisbatan kamroq summar massaga ega. Ana shu massalar farqi Eynshteynning formulasiga binoan E = mc2 miqdorida energiya ko‘rinishida ajraladi. Termoyadroviy reaksiyalarni yonish reaksiyalari deb ataladi, vaholanki, ular yoqilg‘ining oddiy kimyoviy yonishiga hech qanday aloqasi yo‘q.

Atom yadrosi proton va neytronlardan iborat, ular birgalikda nuqlonlar deb nomlanadi. Aniqlik kiritaylik:

mp = proton massasi,

mn = neytron massasi,

Z = yadro zaryadi = atom nomeri,

N = neytronlar soni,

A = Z + N = atom og‘irligi,

m (Z , N) = yadro massasi.

Yadro massasi uning barcha nuklonlar massalar yig‘indisidan kichik. Bu farq bog‘lanish energiyasi deb nomlanadi. Bir nuqlonga mos keluvchi bog‘lanish energiyasi

(6.35)

ga teng. Q temirga (Z = 26) qadar og‘ir elementlar tomon kattalashib boradi, undan so‘ng u yana kichraya boshlaydi.

Ma’lumki, yulduzlar asosan vodoroddan iborat. To‘rtta vodorod atomi geliy atomiga birlashishi natijasida qancha energiya ajralib chiqishini ko‘raylik. Protonning massasi 1,672 × 10–27 kg, geliy yadrosining massasi 6.644 × 10–27 kg. Massalarning farqi 4,6 × 10–29 kg, undan ajraladigan energiya E = 4,1 × 10–12 J ga teng. Shunday qilib, massaning 0,7 % i energiyaga aylanar ekan, bu esa vodorodning bir kilogrammidan 6,4 × 1014 J energiya ajralib chiqishini beradi. Avvalgi chamalashlarimizga qaraganda bu ancha katta, chunki atigi 3 × 1013 J / kg talab etilgandi.

6.8 rasm. Bitta nuqlonga mos keluvchi bog‘lanish energiyasi yadroning atom og‘irligiga bog‘liq. Bir xil atom og‘irligiga ega izotoplar ichida eng katta bog‘lanish energiyalilari ko‘rsatilgan. Nuqtalar juft sonli proton va neytronlarga, krestchalar toq massali sonlarga mos keladi.

1930 yillarga kelib, yulduzlar energiyasi yadroviy sintez yo‘li bilan paydo bo‘lishiga shubha qolmagandi. 1938 yilda Bete va undan mustaqil ravishda Karl Fridrix fon Veyszekker yulduzlarda energiya chiqishining batafsil mexanizmini taklif qildilar, u uglerod – azot – kislorod (carbon–nitrogen–oxygen), ya’ni CNO-sikli edi. Energiya ishlab chiqarishning proton-protonli zanjir, 3 α-reaksiyalari kabi boshqa muhim jarayonlari 1950 yilga qadar topilmagandi.

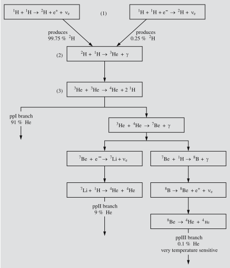
Proton-protonli zanjir. Massasi Quyoshnikiga teng yoki undan kichikroq yulduzlarda energiya proton-protonli (pp) zanjirli reaksiya orqali ajraladi.

6.9 rasm. Proton-protonli zanjir. ppI reaksiyada to‘rtta proton bitta geliy yadrosiga, ikkita pozitron, ikkita neytron va nurlanishga aylanadilar. Ushbu reaksiyalarning nisbiy salmog‘i Quyosh sharoiti uchun keltirilgan. Bu turdagi reaksiyalar massasi 1,5 MϾ dan kichik bo‘lgan yulduzlarda muhim axamiyatga ega.