1600 yili Iogann Kepler Tixo Brage taklifi bilan Pragaga hamkorlikda ishlash uchun keladi. U yerda T. Brage tomonidan o`tkazilgan kuzatuv natijalari bo`yicha sayyoralar harakat jadvallari tuzishga kirishiladi. Kopernikning hisoblaridan foydalangan holda Kepler emperik yo`l bilan sayyoralarning harakatidagi qonuniyatlarini topadi va "Yangi astronomiya" (1609 y) kitobida ularni e`lon qiladi.
Keplerning 1-qonuni. Sayyoralar Quyosh atrofida elliptik orbita bo’ylab harakat qiladilar va ushbu ellips fokuslaridan birida Quyosh joylashadi.
|
|
|
|
3.4 a-rasm |
3.4 b-rasm |
Elliptik
orbitaning katta o`qi AP=2a, markazi O va fokal masofasi OS = s
bo`lsin. Orbitaning Quyoshga eng yaqin nuqtasi P - perigeliy, eng
uzoq nuqtasi A - esa afeliy deyiladi, katta o`qning o`zi apsidlar
chizig`i deb ham ataladi. P sayyora Quyosh atrofida
harakatlanayotganda uning radius-vektor deb ataluvchi geliotsentrik
masofasi o`zgarib turadi va vaqtning istalgan paytidagi sayyoraning
orbitadagi vaziyati r radius-vektor va haqiqiy anomaliya
,
ya`ni sayyoraning harakatlanayotgan tomonga perigeliydan burchak
uzoqlashishi bilan aniqlanadi. Orbitaning geometrik shaklini topish
uchun orbita tenglamasini topishimiz kerak. Agar r - radius-vektor va
-haqiqiy anomoliya bolsa, ular o`zaro quyidagi tenglama orqali
bog`langan:
(3.3)
bu
yerda e - orbitaning ekssentrisiteti. Sayyora orbita bo`ylab to`liq
aylanib chiqishi uchun ketgan vaqt oralig`i yulduz yoki siderik
aylanish davri deyiladi. Bu vaqt oralig`ida
haqiqiy anomaliya 0
dan 360
gacha, radius-vektor esa eng kichik qiymat q dan (
= 00
perigeliy masofasi q = SP) eng katta qiymat Q gacha (
= 1800
afeliy masofasi, Q = CA) o`zgaradi. Bunda perigeliy masofasi q = a –
c, afeliy masofasi esa Q = a + c. Yerdan Quyoshgacha bo`lgan o`rtacha
masofa Quyosh sistemasida masofa o`lchov birligi sifatida
qo`llanilib, astronomik birlik (a.b.) deb ataladi. Zamonaviy
o`lchovlar natijalariga ko`ra a0
=
1 a.b. =149.6*106
km ga teng.
Keplerning 2-qonuni. Sayyoralar elliptik orbitalar bo’ylab harakati davomida ular teng vaqtlar ichida teng yuzalar chizadi.
Quyosh va sayyora o’rtasidagi masofa o’zgaruvchanligi sababli sayyoraning tezligi ham o’zgaruvchan bo’ladi. Keplerning II qonuniga binoan, sayyora tezligi Quyoshga yaqinlashgani sari oshib undan uzoqlashgani sayin kamayadi.
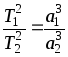
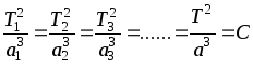
Keplerning 3-qonuni. Sayyoralarning katta yarim o’qlari kublari nisbati, ularning orbita bo’ylab aylanishlarining siderik davrlari kvadratlari nisbatiga teng.
Agar
bitta sayyoraning siderik aylanish davri T1
va o`rtacha geliotsentrik masofasi a1,
ikkinchi sayyora uchun mos ravishda T2
va a2
larga teng bo`lsa, unda
,
bundan
.
C butun Quyosh sistemasi uchun o`zgarmas kattalik bo`lib, Keplerning
uchinchi qonuni konstantasi deb ataladi va uning qiymati qabul
qilingan o`lchov birliklariga bog`liq. Agarda T ni Yerning aylanish
davrlarida (yulduz yili) va a ni astronomik birliklarda (a.b.) olsak,
unda Yer uchun T=1, a=1, bundan C=1, unda istalgan sayyora uchun
T2=a3,
bundan kuzatuvlardan olingan Quyosh atrofidagi osmon jismlari
aylanish davrlaridan (yulduz yillarida) ularning o`rtacha
geliotsentrik masofalarini (astronomik birliklarida) hisoblab chiqish
mumkin bo`ladi.
Yuqorida keltirilgan qonunlar faqat sayyoralarning harakatiga tegishli bo‘lmay, balki ularning tabiiy va sun’iy yo‘ldoshlarga ham qo‘llasa bo‘ladigan qonunlardir. Ushbu qonunlarining kashf etilishi Nyuton tomonidan sayyoralarning harakatlarini boshqaruvchi kuchni aniqlanishiga sabab bo‘ldi. Keyinchalik Nyuton tomonidan 1687 yilda butun olam tortishishi qonuni kashf etilgan. Bu qonuning matematik ifodasi quyidagicha
(3.4)
bu
erda m1-
va m2-
ixtiyoriy ikki jismning massasini, r- ular orasidagi masofani
ifodalaydi, G - gravitatsion doimiy (
).
Keyinroq
Nyuton, matematik yo‘l bilan Keplerning barcha qonunlarini keltirib
chiqargan.
Bir jism ikkinchi jism atrofida aylanishi uchun tortishish kuchi ta’sirida ro‘y beradi, bunda jismning aylana, ellips, parabola yoki giperbola ko‘rinishidagi traektoriyalar bo‘yicha harakat qilishi ham Nyuton tomonidan aniqlangan hamda u Kepler birinchi qonunining umumlashgan ko‘rinishi deb nom olgan.
Keplerning
II-qonuni adabiyotda yuzalar integrali deb ham ataladi. Sayyoraning
radius-vektori vaqt oralig`iga to`g`ri proporsional bo`lgan yuzalar
chizadi. Agarda
vaqt oralig`ida sayyora P1P2,
oraliqda esa P3P4
yo`lni bosib o`tgan bo`lsin, xuddi shu vaqt oraliqlarida sayyoraning
radius-vektori
(P1CP2
sektorining yuzasi) va
(P3CP4
sektorining yuzasi) yuzalarini chizadi, bunda
.
Sayyoraning radius-vektori vaqt birligida chizadigan yuzasi uni
sektorial tezligi deyiladi. Yuqoridagi tenglikda sektorial tezlik
ekanligi kelib chiqadi. Shuning uchun, Keplerning ikkinchi qonunini
boshqacharoq, ya`ni sayyoraning sektorial tezligi o`zgarmas
kattalikdir deb ham talqin etiladi. Keplerning ikkinchi qonuni
harakat miqdori momenti (impuls momenti) saqlanish umumiy qonunining
xususiy holidir. Ikki jism masalasining tenglamalari
va
mos ravishda y va x ga ko`paytirilib, natijalarini ayiraylik. Unda
kuch markaziy ekanligi, ya`ni
sababli
kelib chiqadi. Agar qutb koordinatalar sistemasiga o`tsak,
.
Shuning uchun eng katta
q
tezlikga sayyora perigeliyda, eng kichik
q
tezlikga esa afeliyda ega bo`ladi.
Orbitaning
geotsentrik shartini bilish uchun orbita tenglamasini bilishimiz
kerak. Vektor e konstanta bo'lib orbita tekisligida yotganligi
sababli biz uni ma'lum yo'nalish sifatida tanlaylik. Vektorlar r va e
orasidagi burchak
bo'lsin. Unda bu burchak “haqiqiy
anomaliya”
deyiladi (yana boshqa anomaliyalar ham mavjud. Ular peregeliy
nuqtasidan boshlab o'lchanadilar). Skalyar ko'paytma xossasiga ko'ra

|
|
3.4 c-rasm. Biron bir obyektning boshqa obyektning gravitatsion maydonidagi orbitasi konik kesmalardan biri bo'lishi mumkin: ellips, parabola yoki giperbola. Vektor e peritsentrga yo'naltirilgan,
u yerda orbitadagi obyekt markaziy jismga eng yaqin joylashgan
bo'ladi. Agarda markaziy jism Quyosh bo'lsa bu yo'nalish perigeliy
deyiladi; agarda biron bir boshqa yulduz bo'lsa, unda periastr
deyiladi; agarda Yer bo'lsa, unda perigey bo'ladi va hokazo.
Haqiqiy
anomaliy
|


Oxirgi 2 natijani o’zaro tenglab, orbita tenglamasini topamiz:

Bu
konik
kesimning
qutb koordinatalaridagi umumiy tenglamasi hisoblanadi. Kattalik
e
ekstsentrisitet
deyilib, e=0 aylana, 0<e<1 ellips, e=1 parabola, e>1
giperbolaga to'g'ri keladi. Agar
bo'lsa,
unda r o'zining eng minimal qiymatiga erishib, u vektor e bilan
ustma-ust tushadi. Demak, e perigeliy nuqtasi tomonni ko'rsatadi.
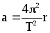
Biror burchak tezlik bilan harakatlanayotgan Quyoshdan r masofada joylashgan sayyoraning tezlanishi quyidagicha aniqlanadi:
. (3.5)
Ikkita jism bir-birining atrofida harakatlanayotgan bo‘lsin. M massali markaziy jism (Quyosh) atrofida aylanayotgan m massali jismning (sayyora) nisbiy tezlanishi
(3.6)
bo‘lib,
va
tezlanishlar, aslida bir tezlanishning ikki xil ifodasi, binobarin
.
Shuning uchun yuqoridagi
ikkita ifodani
tenglab
(3.7)
yozish mumkin.
Bundan ma’lum kattaliklarni tenglikning bir tomonda qoldirsak:
(3.8)
Bunda
biror jism ellips
bo‘yicha harakatlanayapti deb qaralsa,
ni
ellipsning katta yarim o‘qi bilan almashtirish zarur bo‘ladi,
ya’ni
(3.9)
Buni
va
jismlar atrofida,
va
katta yarim o‘qli ellipslar bo‘yicha harakatlanuvchi
va
massali jismlar uchun yozilsa:
;
(3.10)
bo‘ladi,
bu erda
va
ularning aylanish davrini xarakterlaydi. Oxirgi
ifodadagi
tenglamalarning o‘ng tomonlari tengligidan chap tomonlarini ham
tenglab yoza olamiz:
![]()
yoki
. (3.11)
Topilgan
ushbu
ifoda
Kepler uchinchi qonunining umulashgan
ko‘rinishini ifodalaydi.
U Nyuton - Kepler formulasi ham deyiladi. Xususiy holda
va
jismlarni Quyosh atrofida aylanuvchi sayyoralar deb qaralsa,
- Quyosh massasini ifodalab, oxirgi tenglikning ko‘rinishi
quyidagicha bo‘ladi:
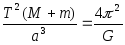
(3.12)
Agar
ushbu
ifodada
va
lar Quyosh massasi oldida juda kichikligidan, tashlab yuborilsa (
)
u
Kepler tomonidan aniqlangan
(3.13)
formulaga keladi.
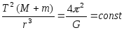
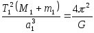
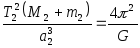
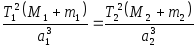
Nyuton-Kepler formulasi qator masalalarni yechishda qo`llaniladi. Masalan, osmon jismlarining massalarini aniqlashda foydalaniladi:
,
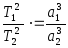
T1 va T2 - Quyosh atrofida aylanuvchi ixtiyoriy ikki sayyoraning siderik davrlari, M„ - Quyosh massasini, m1 va m2 - sayyoralar massalari, a1 va a2 lar esa ular orbitalari katta yarim o‘qlari.
Massani aniqlash uchun topilishi mo‘ljallangan sayyoraning yo‘ldoshi bilan Yer yo‘ldoshining harakati (davrlari va orbitalarining katta yarim o‘qlari) solishtiriladi, ya’ni

bunda T1 va Ts – sayyoraning va Yer yo‘ldoshining aylanish davrlarini, m1 va mc - ular yo‘ldoshlari massalarini, a1 va as esa, mos ravishda, orbitalari katta yarim o‘qlarini ifodalaydi.
Ko‘p
hollarda sayyora
massasiga
nisbatan yo‘ldoshining
massasi
juda
kichik bo‘lganidan m1<<M;
ms<<
deb
olish mumkin,
u holda sayyora massasi