Собственные частоты колебаний являются обобщенными приведенными параметрами динамической расчетной схемы. Определение собственных частот колебаний – важная задача. Изделия при эксплуатации испытывают воздействие различных вынуждающих сил, переменных во времени, не зависящих от состояния системы и поддерживающих ее колебания. При совпадении или относительной близости собственных частот колебаний и частот вынуждающих сил появляются резонансные эффекты.
Рассмотрим линейные динамические расчетные схемы с одной степенью свободы.
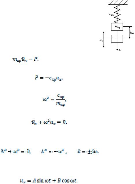
Допустим, система, представленная на рис. 4.8, выведена из состояния статического равновесия. Инерционный элемент с приведенной массой
перемещен на
.
Внешние возбуждающие силы отсутствуют. Соста- |
|
вим уравнение движения, пользуясь вторым законом ди- |
|
намики: |
Рис. 4.8 |
|
Равнодействующая внешних сил равна восстанавливающей силе:
Введя обозначение
получим
Составим характеристическое уравнение по методу Эйлера
. Получим
Для дальнейшего анализа показательные функции
и
удобно представить тригонометрическими:
26
Постоянные интегрирования определяют из начальных условий. При
перемещение
скорость , следовательно, 
Выражение свободного движения возбужденной системы носит гармонический характер:
Введенную ранее величину
(число колебаний за время ) называют
угловой собственной частотой колебаний, рад·с – 1:
Кроме угловой определяют линейную собственную частоту колебаний 
, Гц:
При расчете низшей частоты собственных колебаний корпуса изолятора приведем схему корпуса с распределенной массой (рис. 4.9, а) к схеме с одной степенью свободы (рис. 4.9, б). Она состоит из безынерционного участка длиной l с приведенной изгибной жесткостью
и сосредоточенной
приведенной массы
.
Массу последнего участка представим как сосредоточенную массу , приложенную в центре масс последнего участка. Массы всех остальных
участков – распределенные массы |
. |
Тогда приведенная масса |
|
где
.
Коэффициент жесткости для участка с жесткой заделкой с одной сторо-
ны
27
а |
б |
Рис. 4.9
Для схемы на рис. 4.9, а все участки являются последовательными, следовательно, приведенная жесткость
Коэффициент жесткости для схемы на рис. 4.9, б:
Тогда
Список литературы
1.Бегун П. И., Кормилицын О. П. Прикладная механика. – СПб.: Политехника, 1995.
2.Феодосьев В. И. Сопротивление материалов. – М.: Изд-во МГТУ им. Н. Э. Баумана, 2007.
28
ПРИЛОЖЕНИЕ
Рис. П. 1
29
Рис. П. 2
30