Материал: 2лрматмод

Внимание! Если размещение файла нарушает Ваши авторские права, то обязательно сообщите нам

Национальный исследовательский университет

«Московский энергетический институт»

Кафедра математического моделирования

ЛАБОРАТОРНАЯ РАБОТА 1

ТЕОРИЯ ПОГРЕШНОСТЕЙ И МАШИННАЯ AРИФМЕТИКА

Группа: ТФ-13-15

Студент: Кокоев К. М.

Преподаватель: Казенкин К. О.

Задача:1.2 вариант 32

Москва, 2016

Задача 1.1.Исследовать поведение погрешности формулы численного дифференцирования при уменьшении величины h, определяющей приращение аргумента.

ПОРЯДОК РЕШЕНИЯ ЗАДАЧИ:

1.Для функции из индивидуального варианта вычислить аналитически значение производной и построить график исходной функции и график производной на указанном отрезке[a,b]. Взять среднюю точку отрезка и вычислить значение производной .

2. Взять первоначальный шаг дифференцирования . Затем вычислить массив приближенныx значений производных в точке , уменьшая последовательно в 10 раз первоначальный шаг дифференцирования : , k=0,…15.

3. Вычислить массив погрешностей и построить таблицу

полученных результатов см. ПРИЛОЖЕНИЕ 1.В. По таблице найти оптимальное значение шага h, при котором погрешность минимальна.

6. Для каждого значения hуказать количество верных цифр результата.

ТЕОРИЯ

Как известно, по определению производная функции есть предел отношения

(1)

Поэтому для приближенного вычисления производных можно использовать значение этого отношения при достаточно малой величине приращения h.

РЕШЕНИЕ

Дана функция . Её производная равна

В заданной точке С=-1,6 значение

Видно, что оптимальный результат получается при выборе приращения . При этом формула позволяет получить ответ с 8 верными цифрами.

Задача 1.2. Постановка задачи: для пакета MATHCAD найти значения машинного нуля, машинной бесконечности, машинного эпсилон.

Порядок решения задачи.

Написать в среде Mathcad функции для поиска значения машинного нуля, машинной бесконечности, машинного эпсилон.

Методом подстановки определить значения аргументов, при котором выполняются условия.

Теоретический материал.

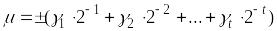
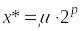
В ЭВМ для вещественных чисел используется двоичная система счисления и принята форма представления чисел с плавающей точкой ,

.

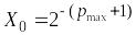
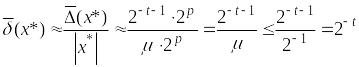
Здесь - мантисса ; - двоичные цифры, причем всегда =1, p-целое число, называемое двоичным порядком. Количество t цифр, которое отводится для записи мантиссы, называется разрядностью мантиссы. Диапазон представления чисел в ЭВМ ограничен конечной разрядностью мантиссы и значением числа p. Все представимые числа на ЭВМ удовлетворяют неравенствам: , где , . Все числа, по модулю большие , не представимы на ЭВМ и рассматриваются как машинная бесконечность. Все числа, по модулю меньшие , для ЭВМ не отличаются от нуля и рассматриваются как машинный нуль. Машинным эпсилон называется относительная точность ЭВМ, то есть граница относительной погрешности представления чисел в ЭВМ. Покажем, что . Пусть , тогда граница абсолютной погрешности представления этого числа равна . Поскольку , то величина относительной погрешности представления оценивается так:

.

Машинное эпсилон определяется разрядностью мантиссы и способом округления чисел, реализованным на конкретной ЭВМ.

Решение

Примем следующие способы определения приближенных значений параметров, требуемых в задаче:

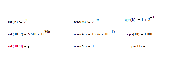
1. Положим , где n - первое натуральное число, при котором происходит переполнение.

2. Положим , где m – первое натуральное число , при котором совпадает с нулем.

3. Положим , где k – наибольшее натуральное число, при котором сумма вычисленного значения 1+ еще больше 1. Фактически есть граница относительной погрешности представления числа .

При работе в среде MATHCAD получились следующие значения:

Результаты вычислительного эксперимента:

Машинная бесконечность 1020

Машинный нуль 50

Машинное эпсилон 11