Принимаем
26
мм.
По результатам расчетов чертим эскиз тихоходного вала редуктора, который показан на рисунке 5.3.

Рисунок 5.3 – Эскиз тихоходного вала

принимаем
мм;
Подобрать шлицевое соединение зубчатого колеса с валом. Соединение передает вращающий момент Т = 178,85 Н·м. Условия эксплуатации средние. Диаметр вала d = 56 мм, материал – сталь 45 с термообработкой – улучшение, твердость 290 НВ.
Как наиболее распространенное, принимаем прямобочное шлицевое соединение с центрированием по наружному диаметру (наружный диаметр втулки при твердости НВ ≤ 350 калибруется протяжкой). По таблице находим размеры для легкой серии. Для d = 56 мм z × d × D = 8 × 56 × 62 мм; фаска f = 0,5 мм; средний диаметр и высота зуба соответственно
dср = 0,5 ⋅ (D + d); (7.1)
dср = 0,5 ⋅ (62 + 56) = 59 мм;
h = 0,5 ⋅ (D – d) – 2 f; (7.2)
h = 0,5 ⋅ (62 – 56) – 2 · 0,5 = 2 мм.
Для неподвижного соединения при средних условиях эксплуатации и твердости меньше 350 НВ принимаем [σсм] = 60 МПа. Расчетную длину l зубьев определим из условия прочности на смятие при Кз = 0,75:
=
; (7.3)
Откуда
l
=
; (7.4)
l
=
=
8,42 мм.
Длина ступицы колеса
lст = l + 6; (7.5)
lст = 8,42 + 6 = 14,42 мм.
Принимаем длину ступицы lст = 14 мм (ближайшее к расчетному значение по Ra 40) по ГОСТ 6636.
8 Определение нагрузок валов редуктора
8.1 Определение сил в зацеплении первой конической передачи
Определяем окружную силу
, (8.1)
Определяем радиальную силу
(8.2)
(8.3)
H.
H.
где
- делительный угол наклона шестерни;
Определяем осевую нагрузку
(8.4)
(8.5)
.
8.2 Определение сил в зацеплении второй прямозубой передачи
Определяем окружную силу
(8.6)
Определяем радиальную силу
(8.7)
где
- угол зацепления;
H.
Определяем осевую нагрузку
(8.8)
8.3 Определение консольных сил
Консольная нагрузка, вызванная муфтой на быстроходном валу
;
(8.9)
Консольная нагрузка, вызванная муфтой на тихоходном валу
;
(8.10)
9 Подбор подшипников качения
9.1 Определение реакций в опорах подшипников быстроходного вала
A
B
C
– окружная,
– осевая,
– радиальная, T2=75,31
H·м
– крутящий момент.
Н. – консольная нагрузка от муфты.
Ft1
,
Fr1
Fa1
-28,73
11,38
-34,71
118,76
83,85
d1
Fм
Рисунок 9.1 – Расчетная схема быстроходного вала
а) Вертикальная плоскость.
Определяем опорные реакции
;
(9.1)
;
(9.2)
Проверка
(9.3)

Строим эпюру изгибающих моментов относительно оси Y в характерных сечениях (рисунок 9.1)
б) Горизонтальная плоскость
Определяем опорные реакции
;
(9.4)
;
(9.5)
Проверка
(9.6)

Строим эпюру изгибающих моментов относительно оси X в характерных сечениях (рисунок 9.1)
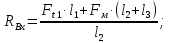
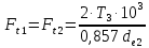
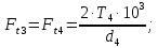
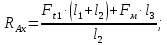
Определяем суммарные радиальные реакции
(9.7)
(9.8)
Определяем суммарный изгибающий момент в наиболее нагруженном сечении
(9.9)