1.Исходные данные 3
2.Кинематический расчет привода 4
2.1.Выбор электродвигателя. 4
2.2. Определение передаточного числа редуктора u для каждого типа двигателя 5
2.3. Определение силовых и кинематических параметров привода 7
3. Расчет быстроходной внутренней конической передачи 12
3.1 Выбор твёрдости, термообработки и материала колёс быстроходной зубчатой передачи 12
3.2 Расчет допускаемых напряжений изгиба 15
3.3 Проектный расчет закрытой конической зубчатой передачи 16
3.4 Проверочный расчет закрытой конической зубчатой передачи 20
4. Расчет тихоходной внутренней прямозубой передачи 23
4.1 Выбор твёрдости, термообработки и материала колёс тихоходной зубчатой передачи 23
4.2 Расчет допускаемых напряжений изгиба 26
4.3 Проектный расчет закрытой цилиндрической зубчатой передачи 27
4.4 Проверочный расчет закрытой цилиндрической зубчатой передачи 32
5. Проектный расчет валов 36
5.1 Выбор материала валов 36
5.2 Определение геометрических параметров ступеней валов 36
6.Расчет конструктивных размеров зубчатой пары редуктора 43
6.1 Быстроходная коническая ступень 43
Геометрические параметры колеса: 43
6.2 Тихоходная цилиндрическая ступень 44
Геометрические параметры шестерни: 44
Геометрические параметры колеса: 44
7.Расчет шлицевого соединения 46
8 Определение нагрузок валов редуктора 48
8.1 Определение сил в зацеплении первой конической передачи 48
8.2 Определение сил в зацеплении второй прямозубой передачи 49
8.3 Определение консольных сил 49
9 Подбор подшипников качения 51
9.1 Определение реакций в опорах подшипников быстроходного вала 51
9.2 Определение реакций в опорах подшипников промежуточного вала 54
9.3 Определение реакций в опорах подшипников тихоходного вала 59
10. Проверочный расчет подшипников 63
10.1 Проверочный расчет подшипников быстроходного вала 63
10.2 Проверочный расчет подшипников промежуточного вала 66
10.3 Проверочный расчет подшипников тихоходного вала 69
11. Выбор способа смазки и смазочного материала 72
11.1 Смазывание зубчатых зацеплений 72
11.2 Смазывание подшипников 72
12. Уточненный расчет валов 73
12.1 Расчет быстроходного вала 73
12.2 Расчет промежуточного вала 76
12.3 Расчет тихоходного вала 79
13. Расчет корпуса редуктора 81
14. Назначение посадок деталей 86
15. Выбор муфт 87
16. Порядок сборки редуктора 88
ЗАКЛЮЧЕНИЕ 89
СПИСОК ИСПОЛЬЗОВАННЫХ ИСТОЧНИКОВ 90
Вычерчиваем кинематическую схему двухступенчатого коническо-цилиндрического редуктора, соединённого с электродвигателем упругую муфту (рисунок 1.1).

Рисунок 1.1 – Кинематическая схема привода
1 – двигатель; 2 – упругая муфта; 3 – быстроходная коническая передача; 4 – тихоходная прямозубая цилиндрическая передача; 5 – жесткая муфта; 6 – барабан;
I, II, III, IV, V – обозначения валов;
Исходные данные:
- окружное усилие на барабане - Ft = 2,7 кН;
- окружная скорость на барабане - v = 1,9 м/с;
- диаметр барабана – D = 390 мм;
Определим мощность привода на приводном валу конвейера:
(2.1)
где - общий кпд привода от двигателя до конвейера, равный произведению частных кпд отдельных элементов составляющих привод. Для приближенной оценки кпд привода воспользуемся таблицей [1, т. 1.1]:
кпд
муфты.
кпд
конической зубчатой передачи;
кпд
цилиндрической зубчатой передачи;
коэффициент,
учитывающий потери пары подшипников
качения;
Общий кпд привода определится:
(2.2)

Частота вращения приводного барабана:
(2.3)

Угловая скорость барабана:
(2.4)

Необходимая мощность двигателя:

Выбираем двигатель в соответствии с номинальной мощностью Рном = 7,5 кВт по ГОСТ 19523-74.
Типы двигателей подходящих по номинальной мощности приведены в таблице 2.1.
Таблица 2.1 – Применяемые в расчёте двигатели
|
Вариант |
Тип двигателя |
Номинальная мощность Рном, кВт |
Частота вращения, об/мин |
|
|
синхронная |
номинальная |
|||
|
1 2 3 4 |
4А112M2У3 4А132S4У3 4А132M6У3 4А160S8У3 |
7,5 7,5 7,5 7,5 |
3000 1500 1000 750 |
2895 1440 960 727 |
(2.4)
;
;
;
.
Производим разбивку передаточного числа редуктора u, принимая для всех вариантов передаточное число конической передачи постоянным uкп = 2,5. Получим следующие передаточные числа для цилиндрической передачи привода.
(2.6)
;
;
;
.
Результаты расчёта приведены в таблице 2.2.
Таблица 2.2 – Результаты расчёта передаточного числа редуктора
|
Передаточное число |
Обозначение |
Варианты |
|||
|
1 |
2 |
3 |
4 |
||
|
Привода |
u |
31,12 |
15,48 |
10,32 |
7,81 |
|
Конической передачи |
uкп |
2,5 |
2,5 |
2,5 |
2,5 |
|
Цилиндрической передачи |
uцп |
12,45 |
6,19 |
4,13 |
3,12 |
Анализируя полученные значения передаточных чисел делаем следующие выводы:
- в первом и втором варианте получены слишком большие значения передаточного числа цилиндрической передачи;
- из рассмотренных вариантов предпочтительнее четвертый.
Окончательно принимаем четвертый вариант.
Таким образом, выбираем двигатель 4А160S8У3 (Рном = 7,5 кВт, nном = 727 об/мин); передаточное число привода uф = 7,87; редуктора uзп =7,875;
Определим мощности на валах
(2.7)
(2.8)
(2.9)
(2.10)
(2.11)
Определим частоты вращения валов
(2.12)
(2.13)
(2.14)
(2.15)
(2.16)
Отклонение

Определим угловые скорости на валах
(2.17)
(2.18)
(2.19)
(2.20)
(2.21)
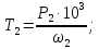
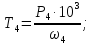
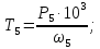
Определим вращающие моменты на валах
(2.22)
(2.23)
(2.24)
(2.25)
(2.26)
Сведем полученные данные в таблицу.
Таблица 2.3 Кинематические и силовые параметры привода по валам
|
Номер вала |
Мощность Р, кВт |
Частота вращения n, об/мин |
Угловая скорость ω, рад/с |
Момент
Т,
|
|
1 |
5,91 |
727 |
76,13 |
77,63 |
|
2 |
5,733 |
727 |
76,13 |
75,31 |
|
3 |
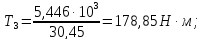
5,446 |
290,8 |
30,45 |
178,85 |
|
4 |
5,228 |
92,32 |
9,67 |
540,64 |
|
5 |
5,124 |
92,32 |
9,67 |
529,89 |