По результатам сопоставлений выбираем соответствующую формулу для определения эквивалентной динамической нагрузки
RE1=V·Rr1·Kσ·Kt; (10.4)
RE2=(X·V·Rr2+YRa2)·Kσ·Kt; (10.5)
RE1=1·3733,07·1,1·1,0=4106,38 Н.
RE2=(0,4·1·2379,49+1,62·1376,64)·1,1·1,0=3500,14 Н.
Ведем расчет по первому нагруженному подшипнику.
Определяем динамическую грузоподъемность по формуле
(10.6)
где n = 727 об/мин – частота вращения внутреннего кольца подшипника;
m = 3,33 – показатель степени;
а1 = 1 – коэффициент надежности;
а23 = 0,7 – коэффициент, учитывающий влияние качества подшипников и качество его эксплуатации;
Lh = 49000 ч. – долговечность подшипника;
RE – эквивалентная динамическая нагрузка;
Определяем базовую долговечность
(10.7)
Подшипник пригоден.
Подшипник пригоден.
По результатам проектирования были выбраны шариковые радиальные однорядные подшипники 212 по ГОСТ 8338-75.
Определяем коэффициент влияния осевого нагружения, исходя из типа выбранного подшипника
Определяем осевые составляющие радиальной нагрузки
(10.15)
(10.16)
Определяем осевые нагрузки подшипников
(10.17)
Вычисляем отношения
По результатам сопоставлений выбираем соответствующую формулу для определения эквивалентной динамической нагрузки
RE1=V·Rr1·Kσ·Kt; (10.18)
RE2=(X·V·Rr2+YRa2)·Kσ·Kt; (10.19)
RE1=1·2023,81·1,1·1,0=2226,19 Н.
RE2=(0,56·1·1266,94+2,3·384,52)·1,1·1,0=1753,28 Н.
Ведем расчет по первому нагруженному подшипнику.
Определяем динамическую грузоподъемность по формуле
(10.20)
где n = 92,32 об/мин – частота вращения внутреннего кольца подшипника;
m = 3 – показатель степени;
а1 = 1 – коэффициент надежности;
а23 = 0,7 – коэффициент, учитывающий влияние качества подшипников и качество его эксплуатации;
Lh = 49000 ч. – долговечность подшипника;
RE – эквивалентная динамическая нагрузка;
Определяем базовую долговечность
(10.21)
Подшипник пригоден.
Смазывание передач редуктора осуществляется методом непрерывного смазывания жидким маслом, картерным непроточным методом.
Выбираем сорт масла И-Г-А-68 ГОСТ 174794-87, рекомендуемый для цилиндрической передачи.
Объем масляной ванны принимаем в расчете 0,4…0,8 л масла на 1 кВт передаваемой мощности, то есть по формуле
(11.1)

Контроль уровня масла осуществляется жезловым маслоуказателем.
Подшипники смазываются консистентной пластичной смазкой – солидол жировой ГОСТ 1033-79. Полость подшипников закрыта с внутренней стороны маслозащитной шайбой. Смазочный материал набивают в подшипники вручную.
Проверочный расчет отражает разновидности цикла напряжений изгиба и кручения, усталостные характеристики материалов, размеры, форму и состояние поверхности валов.
Цель расчета – определить коэффициенты запаса прочности в опасных сечениях вала сравнить их с допускаемыми.
(12.1)
Определяем нормальные напряжения в опасном сечении
(12.2)
где М – суммарный изгибающий момент в рассматриваемом сечении;
Wнетто – осевой момент сопротивления сечения вала;
(12.3)
Определяем касательные напряжения в опасном сечении
(12.4)
где Мк – крутящий момент;
– полярный
момент инерции сечения вала;
![]()
(12.5)
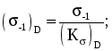
Определяем коэффициент концентрации нормальных и касательных напряжений для расчетного сечения вала
(12.6)
(12.7)
где
= 1,9 и
= 1,6 - эффективные коэффициенты напряжений;
-
коэффициент влияния абсолютных размеров
поперечного сечения;
=
1,05 – коэффициент влияния шероховатости;
=
1,6 – коэффициент влияния поверхности
упрочнения;


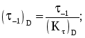
Определяем пределы выносливости в расчетном сечении вала
(12.8)

(12.9)

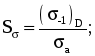
Определяем коэффициенты запаса прочности по нормальным и касательным напряжениям
(12.10)
(12.11)
Определяем общий коэффициент запаса прочности в опасном сечении
(12.12)
Вал удовлетворяет условию прочности.
Определяем нормальные напряжения в опасном сечении
(12.13)
где М – суммарный изгибающий момент в рассматриваемом сечении;
Wнетто – осевой момент сопротивления сечения вала;
(12.14)
Определяем касательные напряжения в опасном сечении
(12.15)
где Мк – крутящий момент;
– полярный
момент инерции сечения вала;
![]()