Материал: Melnuchuk_Promuslova biotexnologij

Внимание! Если размещение файла нарушает Ваши авторские права, то обязательно сообщите нам

РОЗДІЛ 5. ПРИНЦИПИ ТА МЕТОДИ ОТРИМАННЯ ПРОМИСЛОВИХ ШТАМІВ ПРОДУЦЕНТІВ

Клітини заморожують в широкому діапазоні температур (від -10 до - 196°С) і при різних швидкостях заморожування. Для захисту від шкідливої дії низьких температур клітини попередньо суспендують в розчинах кріопротекторів. Частіше за інших застосовують 10-20%-й розчин гліцерину, 7 - 10%-й розчин диметилсульфоксиду або 20%-й розчин сахарози. Суспензію клітин з високою щільністю (109 - 1010 клітин в 1 мл) розливають в ампули або флакони з кришкою, що загвинчується. Ампули запаюють і поміщають в холодильник з температурою -70°С (швидкість охолодження 1°С/с), а потім переносять в рідкий азот, де і зберігають при - 196°С. Відтавання заморожених клітин має бути як можна більш швидким. Тому ампули занурюють на 2 хв. у водяну баню з температурою 35 - 45°С. Клітини з ампул висівають на багаті живильні середовища. При температурі зберігання від -20 до -40°С добре виживають небагато мікроорганізмів; значно ефективніше зберігання при -70°С у твердій вуглекислоті і особливо в умовах наднизьких температур: при -196°С (рідкий азот) або при -210°С (газова фаза рідкого азоту).

5.5.4. Зберігання у гліцеролі

Одним з найбільш зручних методів є зберігання мікроорганізмів при низьких температурах (-20°С) у розчинах гліцеролу, який служить кріопротектором. Даний спосіб широко розповсюджений, проте не всі мікроорганізми витримують таку обробку. Тому вважається, що для клітин, що піддаються заморожуванню в гліцеролі, необхідні попередні експерименти по визначенню ступеня їх життєздатності. Найбільшого поширення цей спосіб консервації мікроорганізмів отримав при зберіганні суспензій різних спор.

Для проведення експериментів по зберіганню готують 50%-й розчин гліцерола в дистильованій воді і стерилізують його при 1 атм протягом 30 хв. Клітини з вирослих культур (зазвичай з середини експоненційної фази росту), призначені для зберігання, змішують в пропорції 1:1 з 50%-м гліцеролу, перемішують і ставлять в морозильник. Зберігати суспензії зручно в стерильних пробірках Еппендорф, а для їх приготування використовувати автоматичні піпетки зі стерильними наконечниками і готувати суміші в ламінарному шафі. З клітин, що зберігаються, періодично (2 - 6 раз на рік) відбирають проби для перевірки на життєздатність. В залежності від результатів перевірки розраховують схеми консервації тієї чи іншої культури і періодичності їх пересіву.

Для культур мікроорганізмів з твердих середовищ перед змішуванням з гліциролом готують суспензії в рідкому середовищі або в оптимальному для зберігання буферному розчині (перевіряється експериментально). Можна також суспендувати клітини з твердих середовищ безпосередньо в 25%-му стерильному гліцеролу.

121

РОЗДІЛ 5. ПРИНЦИПИ ТА МЕТОДИ ОТРИМАННЯ ПРОМИСЛОВИХ ШТАМІВ ПРОДУЦЕНТІВ

5.5.5. Зберігання в дистильованій воді або 1%-му розчині хлориду натрію

Цей метод не вимагає спеціального устаткування і доступний кожному експериментатору.

Мікроорганізми попередньо вирощують в оптимальних умовах, при необхідності центрифугують, після чого клітини суспендують в дистильованій воді або 1%-му розчині хлориду натрію. Успішному збереженню клітин сприяє висока щільність суспензії: не менше 108 -109 клітин в 1 мл.

Суспензію розливають у стерильні пробірки або флакони і зберігають у холодильнику або при кімнатній температурі.

122

РОЗДІЛ 6. БІОТЕХНОЛОГІЧНІ ОСОБЛИВОСТІ ОТРИМАННЯ МОЛОЧНОКИСЛИХ ПРОДУКТІВ

РОЗДІЛ 6. БІОТЕХНОЛОГІЧНІ ОСОБЛИВОСТІ ОТРИМАННЯ МОЛОЧНОКИСЛИХ ПРОДУКТІВ

6.1. Особливості молочнокислого бродіння

Молочнокислі бактерії широко поширені в природі і використовуються в багатьох біотехнологічних процесах, пов'язаних з виробництвом молока і кисломолочних продуктів. Середовищем існування цих бактерій є молоко, молочні продукти, поверхня рослин, ризосфера і прикоренева зона. Разом з рослинами молочнокислі бактерії потрапляють в шлунково-кишковий тракт людини і тварин, складаючи його мікрофлору. Бактерії роду Bifidobacterium переважають у кишечнику грудних дітей, особливо тих яких вигодовують грудьми, оскільки ці бактерії потребують вуглеводів, що містять N-ацетилглюкозамін, який знайдений тільки в жіночому молоці. Виявлені вони і в кишковій флорі дорослих людей, а також в гниючому мулі.

Основною властивістю молочнокислих бактерій, за якою їх об'єднують в окрему велику групу мікроорганізмів, є здатність утворювати в якості головного продукту бродіння молочну кислоту. Молочнокисле бродіння здійснюють бактеріальні організми, гетерогенні за морфологією,

які відносяться з полдо родів Lactobacillus, Leuconostoc, Bifidobacterium, Pediococcus, Streptococcus, Lactococcus.

Молочнокислі бактерії за характером продуктів зброджування гексоз (глюкоза, фруктоза, маноза, галактоза), дисахаридів (лактоза, мальтоза, сахароза) і полісахаридів (декстрин, крохмаль) відносять до гомоферментативних і гетероферментативних.

В основному молочнокислі бактерії культивують на середовищах з шестивуглецевими цукрами, але вони можуть також зброджувати деякі інші цукри. Відмінною ознакою молочнокислих бактерій є висока потреба у складних поживних середовищах, визначених амінокислотах, вітамінах, особливо групи B. Найбільш важливим джерелом енергії для молочнокислих бактерій є моно-і дисахариди - глюкоза, лактоза, сахароза, мальтоза. В якості джерела енергії і в конструктивному обміні використовують також органічні кислоти: лимонну, яблучну, піровиноградну, фумарову та ін. Властивість зброджувати різні цукри і органічні кислоти, зокрема рибозу, цитрат або ацетат, лежить в основі тестів для ідентифікації молочнокислих бактерій.

Фізіологічною особливістю молочнокислих бактерій є їх кислотостійкість як наслідок характерного для них енергетичного обміну. Кокові форми можуть розвиватися в нейтральних і лужних середовищах, більшість же паличковидних форм не здатні рости в середовищі з pH вище 6,0; біфідобактерії не ростуть при рН вище 8,2. Ріст всіх молочнокислих бактерій продовжується до тих пір, поки в процесі бродіння вуглеводів рН

123

РОЗДІЛ 6. БІОТЕХНОЛОГІЧНІ ОСОБЛИВОСТІ ОТРИМАННЯ МОЛОЧНОКИСЛИХ ПРОДУКТІВ

в середовищі не знизиться до 5,0 і нижче. У результаті життєдіяльності гомоферментативних лактококів накопичується до 1% молочної кислоти, а

Lactobacillus bulgaricus - до 3,5%.

Найбільш широке застосування молочнокислі бактерії знайшли у виробництві кисломолочних продуктів в харчовій промисловості. Гомо- і гетероферментативні молочнокислі бактерії давно використовуються в хлібопекарстві. Їх асоціації з дріжджами, сприятливі для створення аромату, смаку, пористості, забарвлення і свіжості, називаються заквасками. Молочнокисле бродіння знаходиться в основі силосування кормів і квашення овочів (капусти, огірків), плодів, ягід (маслин, яблук) і т. д. Ці процеси протікають за рахунок природних мікроорганізмів, що знаходяться на об'єкті заквашування. Останнім часом використовують спеціальні закваски, що забезпечують проведення процесів в прогнозованих режимах і з очікуваними результатами. Молочнокислими продуктами є різні сири, одержані з знежиреного або незбираного молока. Молочнокислі бактерії включають в різні композиції профілактичних і лікувальних препаратів: біфідумбактерин, біфікол, колібактерин, лактобактерин. За допомогою молочнокислих бактерій в промисловості досить широко використовують отримання молочної кислоти.

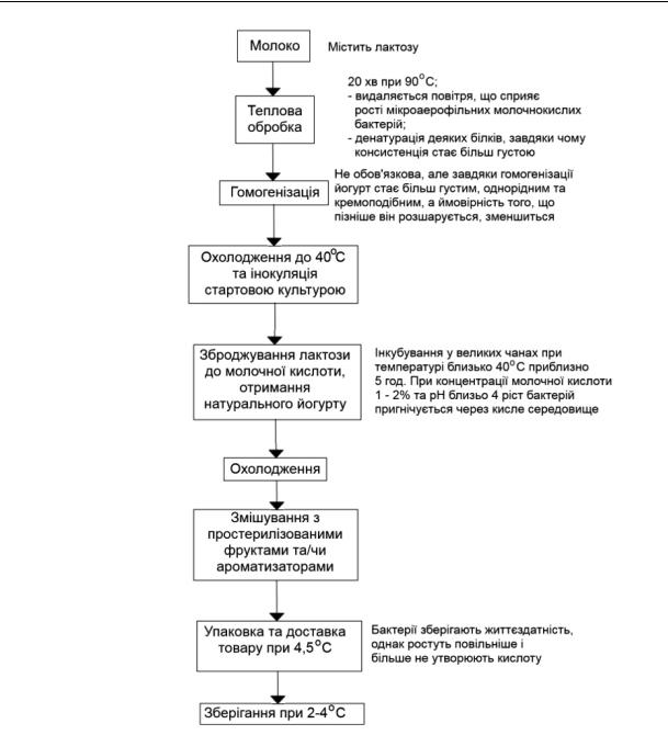
Отримання молочних продуктів у харчовій промисловості побудовано на процесах ферментації (рис.34). Основою біотехнології молочних продуктів є молоко. Молоко (секрет молочних залоз) - унікальне природне живильне середовище, що містить 82-88% води і 12-18% сухого залишку. До складу сухого молочного залишку входять білки (3,0-3,2%), жири (3,3-6,0%), вуглеводи (молочний цукор лактоза - 4,7%), солі (0,9-1%), мінорні компоненти (0,01%): ферменти, імуноглобуліни, лізоцим і т.д. Молочні жири дуже різноманітні за своїм складом. Основні білки молока - альбумін, казеїн. Завдяки такому складу молоко являє собою прекрасний субстрат для розвитку мікроорганізмів. У сквашуванні молока зазвичай беруть участь молочнокислі бактерії. Шляхом використання реакцій, які супроводжують головний процес зброджування лактози отримують і інші продукти переробки молока: сметану, йогурт, сир і т.д. Властивості кінцевого продукту залежать від характеру та інтенсивності реакцій ферментації. Ті реакції, які супроводжують утворення молочної кислоти, визначають зазвичай особливі властивості продуктів. Наприклад, вторинні реакції ферментації, що йдуть при дозріванні сирів, визначають смак окремих їх сортів. У таких реакціях беруть участь пептиди, амінокислоти і жирні кислоти, що знаходяться в молоці.

Всі технологічні процеси виробництва продуктів з молока діляться на дві частини: 1) первинна переробка - знищення побічної мікрофлори, 2) вторинна переробка. Первинна переробка молока включає в себе кілька етапів. Спочатку молоко очищається від механічних домішок і

124

РОЗДІЛ 6. БІОТЕХНОЛОГІЧНІ ОСОБЛИВОСТІ ОТРИМАННЯ МОЛОЧНОКИСЛИХ ПРОДУКТІВ

Рис. 34. Схема виготовлення йогурту.

охолоджується, щоб уповільнити розвиток природної мікрофлори. Потім молоко сепарується (при виробництві вершків) або гомогенізується. Після цього проводять пастеризацію молока, при цьому температура піднімається до 80ºС, і воно закачується в танки або ферментери. Вторинна переробка молока може йти двома шляхами: з використанням мікроорганізмів і з використанням ферментів. З використанням мікроорганізмів випускають кефір, сметану, сир, кисляк, казеїн, сири, біофруктолакт, біолакт, з використанням ферментів – харчовий гідролізат казеїну, суху молочну суміш для коктейлів і т.д. При внесенні мікроорганізмів у молоко лактоза гідролізується до глюкози і галактози,

125