Закон збереження імпульсу:
а) для абсолютно пружного удару
,
або в проекції на вісь ОХ, що збігається з лінією удару,
,
(10.1)
б) для абсолютно непружного удару
.
(10.2)
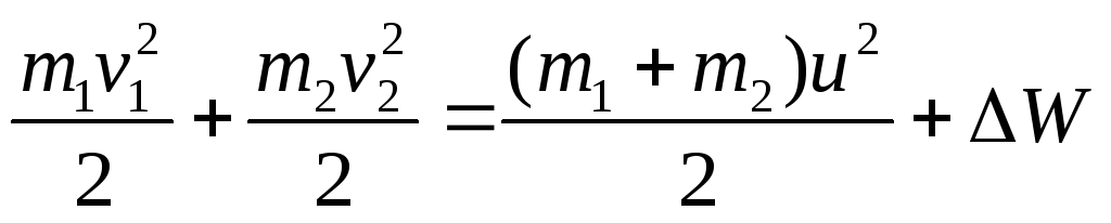
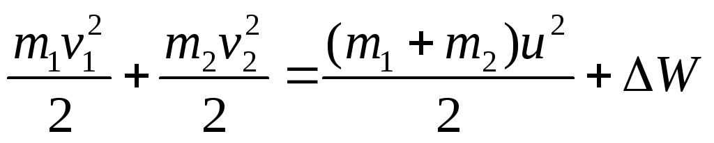
Закон збереження енергії:
а) для абсолютно пружного удару
,
(10.3)
б) для абсолютно не пружного удару
,
(10.4)
де ΔW величина механічної енергії куль, що перейшла в їхню внутрішню енергію. У випадку, якщо одна із куль (наприклад, із масою m2) перед зіткненням знаходилася в спокої, то вирази (10.1), (10.2), (10.3 ) і (10.4) набудуть вигляду:
,
(10.5)
,
(10.6)
,
(10.7)
.
(10.8)
Проте досвід показує, що відносна швидкість тіл після удару не досягає свого колишнього значення. Це пояснюється тим, що немає ідеально пружних тіл і ідеально гладких поверхонь. Крім того, системи реальних тіл не бувають абсолютно замкнутими.
У застосуванні до реальних тіл рівняння (10.5), (10.6), (10.7) і (10.8) можуть бути записані тільки з відповідними коефіцієнтами пропорційності:
,
(10.9)
,
(10.10)
,
(10.11)
.
(10.12)
Індекси при коефіцієнтах К означають: іпр - для імпульсу при пружному ударі; інепр - для імпульсу при непружному ударі; епр - для енергії при пружному ударі; енепр - для енергії при непружному ударі.
Оцінимо величину введених коефіцієнтів К для випадку, що реалізується в нашому лабораторному пристрої.
Система застосовуваних куль слабо взаємодіє з навколишніми тілами (через повітря, нитку підвісу і т. п.), тому "втрати" імпульсу й енергії при пружному ударі будуть незначними і коефіцієнти Кіпр, Кінепр, Кепр повинні бути трохи меншими одиниці. При непружному ударі у внутрішню енергію переходить значна частина початкової кінетичної енергії і коефіцієнт Кенепр повинен значно відрізнятися від 1. (Легко показати, що при m1 = m2 ідеальний коефіцієнт Кенепр= 0..5. Для цього потрібно розв'язати спільно рівняння (10.10) і (10.12), враховуючи, що Кінепр=1). Довівши експериментально, що Кіпр, Кінепр, Кепр трохи менші за 1, а значення Кенепр значно відрізняється від 1, ми тим самим підтвердимо справедливість рівностей (10.9), (10.10), (10.11) і (10.12) (у межах похибок виміру), а отже підтвердимо і закони збереження імпульсу й енергії при співударянні реальних тіл.
Зведемо вирази (10.9), (10.10), (10.11) і (10.12) до вигляду, зручному для обчислення коефіцієнтів К. Розглянемо рис.10.1, куля масою m2 знаходиться в стані спокою, а масою m1 - відведена від положення рівноваги на кут α1 (умовимося позначати кути до взаємодії куль через α , а після взаємодії - через β; індекси: 1 для першої кулі, 2 - для другої).
Куля 1 одержить потенціальну енергію
,
яка під час руху кулі перейде в його кінетичну енергію. В момент удару
,
звідки
.
Якщо
кут α1
малий
(< 10°), то
(при вимірі кута в радіанах) і тоді
.
Після
удару куля 2 масою m2
одержить швидкість u2
і
відхилиться па кут β2.
Аналогічно до
вищевикладеного можемо одержати
.
Куля 1 після удару також відхилиться на деякий кут β1. Тоді
![]()
.
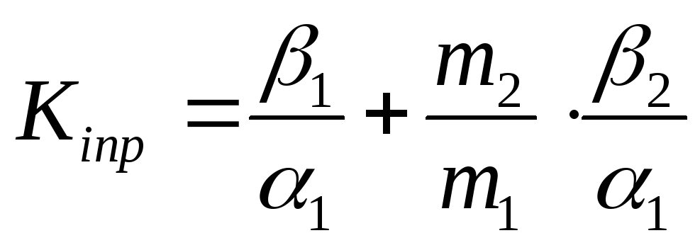
Підставивши значення v1, u1 і и2 в (10.9), (10.10). (10.11) і (10.12) і розв'язавши рівняння відносно К, одержимо
,
За допомогою терезів переконайтеся, що маси куль приблизно однакові.
Підвісьте на нитках дві кулі для одержання пружного удару. Відрегулюйте їх взаємне положення так, щоб удар був прямим і центральним.
Відхиліть праву кулю на кут α1, прикріпивши її до електромагніту. Виміряйте і запишіть величину кута α1 (у градусах) у таблицю з врахуванням похибки на нуль. Здійсніть пружний удар куль, відімкнувши живлення електромагніту. Визначте кут β2 відхилення лівої кулі (з урахуванням похибки на нуль) і запишіть його значення в таблицю 10.1.
Дослід проведіть 5 разів. Результати вимірювань запишіть у таблицю.
Поверніть кулі, підвішені на нитках так, щоб одержати непружний удар ("липучками" один до одного). Відхиліть праву кулю на кут α1, прикріпивши її до електромагніту. Занесіть значення кута α1 до таблиці.
Таблиця 10.1
|
№ |
Пружний удар |
Непружний удар |
||||
|
α1, градус |
β2, градус |
Δα, Δβ, градус |
α1, градус |
β2, градус |
Δα, Δβ, градус |
|
|
1 |
|
|
|
|
|
|
|
2 |
|
|
|
|
|
|
|
3 |
|
|
|
|
|
|
|
4 |
|
|
|
|
|
|
|
5 |
|
|
|
|
|
|
|
Середне |
Кіпр= |
Кінепр= |
||||
|
|
Кепр= |
Кенепр= |
||||
,
,
.
Якщо маси куль узяти приблизно однаковими (m1 ≈ m2 ), то кут відхилення β1 , кулі масою m1 буде дуже малим і ним можна знехтувати (β1 = 0) Тоді одержимо
,
(10.13)
,
(10.14)
,
(10.15)
.
(10.16)
Обчислення коефіцієнтів К за формулами (10.13) ÷ (10.16), зіставлення їх значень із теоретичними для замкнутих систем і одержання певних висновків складає основу даної лабораторної роботи.

Рисунок 10.1
7. Здійсніть непружний удар куль. Визначте кут β2 відхилення системи по лівій кулі (з врахуванням похибки па нуль) і запишіть його значення в таблицю.
8. Дослід проведіть п'ять разів, записуючи дані в таблицю.
9. За формулами (10.13), (10.14), (10.15) і (10.16) обчисліть значення коефіцієнтів К за середніми значеннями кутів α1 і β2.
10. Оцініть похибки непрямих вимірювань коефіцієнтів К. (Розрахункові формули для цього одержіть відповідним методом для непрямих вимірювань).
11. Зробіть висновки про підтвердження законів збереження імпульсу й енергії у явищі, що вивчається. Висновки обґрунтуйте.