The aim: to determine the internal friction coefficient of a liquid.
Equipment: a glass cylinder filled of oil, with a scale and two sliding rings AB and CD; metal balls; a vernier caliper; a stopwatch.
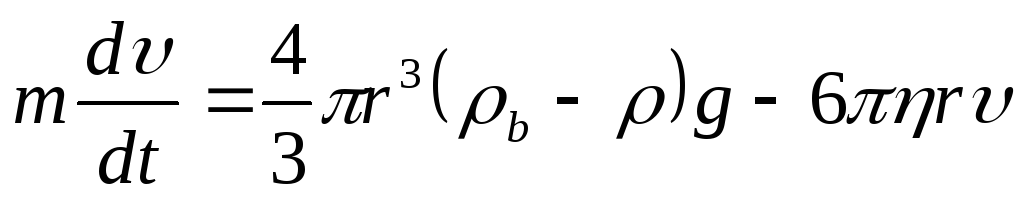
For a body falling in a liquid, the equation of motion is
.
(8.1)
Here,
is weight,
is Archimedes’ force and
is the force of viscous friction. Stocks established a resistance
force experienced by a ball, which moves with low speed in a viscous
medium. This force is
,
(8.2)
where
is the coefficient of viscous friction,
is the radius of the ball,
is the speed of motion. Criterion of “smallness” for the speed
may be written as follows:
,
(8.3)
where
is the Reynolds number,
is the density of the medium.
Projecting the forces onto z-axis pointed out vertically from the surface of the liquid, we obtain
,
(8.4)
where
=
7800 kg/m3
is density of the ball,
= 960 kg/m3
is density of the liquid. Just after the ball has dipped into the
liquid, it moves with acceleration,
.
The force of viscous friction increases until the moment of the force
equilibrium
.
(8.5)
From
this moment, the ball falls with constant speed. Assuming
in (8.4),
we
obtain
.
. (8.6)
1. Select 5 balls of approximately equal radius.
2. Fix the upper ring at the point of 0.1 m under liquid level. Place the lower ring CD at the distance 0.35 m from the upper one.
3.
Measure radius
of a ball by the vernier caliper. Drop the ball into the cylinder.
Switch on the stopwatch at the moment the ball passes by the upper
ring, and switch off it when the ball moves near the lower ring. Put
down time
of crossing the distance
between rings into the table 8.1.
Table 8.1
|
№ |
|
|
|
|
|
|
1 |
|
0.35 |
|
|
|
|
2 |
|
0.40 |
|
||
|
3 |
|
0.45 |
|
||
|
4 |
|
0.50 |
|
||
|
5 |
|
0.55 |
|
||
|
|
|
|
|
|
|
1. What is the physical origin of viscous friction in liquids and gases?
2. Write down Stocks’ formula for resistance force experienced by a ball moving in a viscous medium.
3. What is condition of validity for Stocks’ method?
4. Obtain (8.6) starting from the equation of ball’s motion.
5.
Substituting into (6) reasonable values for radius and speed,
estimate the coefficient of viscous friction of water (
= 1000 kg/m3).
Authors: V.P. Kurbatsky, the reader, candidate of physical and mathematical sciences.
Reviewer: S.P. Lushchin, the reader, candidate of physical and mathematical sciences.
Approved by the chair of physics. Protocol № 3 from 01.12.2008 .
МЕТА РОБОТИ: вивчення законів збереження механічної енергії та імпульсу.
ПРИЛАДИ: дві металеві кулі підвішені на легких стержнях, генератор імпульсів, лічильник імпульсів ПСО 2-2ЕМ.
Ударом називається процес кінцевої зміни швидкостей тіл за відносно короткий час їх взаємодії. При абсолютно пружному ударі кінетична енергія руху тіл перетворюється в потенціальну енергію деформації, яка потім повністю знову перетворюється в кінетичну енергію. При такому ударі виникає абсолютно пружна деформація, коли форма і розміри тіл повністю відтворюються. Теплова (не механічна) енергія при такому ударі не виділяється, а отже система консервативна і замкнута (робота зовнішніх сил дорівнює нулю). В таких системах виконується закон збереження як імпульсу, так і механічної енергії.
![]()
Рисунок 9.1
Розглянемо пружний центральний удар. Запишемо рівняння збереження імпульсу та енергії:
,
(9.1)
.
(9.2)
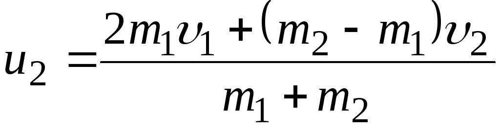
При відомих масах тіл m1 і m2 та швидкостях 1 і 2 перед ударом знайдемо швидкості u1 та u2 після удару. Для цього рівняння представимо у вигляді
,
(9.3)
(9.4)
5.
Draw the graph
versus
.
Make conclusions about character of ball’s motion. Determine the
speed of motion
as a slope of the line to the
-
axis.
6.
Substituting speed
and average radius
into (8.6), calculate the coefficient of viscous friction
.
7.
Find out what is the main error in determination of
.
Estimate
.
8. Examine condition (8.3).
звідки після ділення рівняння (9.4) на (9.3) маємо
(9.5)
помноживши (9.5) на m2 і віднімаючи з (9.3), отримуємо:
,
(3.6)
а помноживши (9.5) на m1 та додаючи до (9.3), отримуємо:
.
(9.7)
Розглянемо такий випадок: маси тіл однакові m1 = m2 і одна із куль не рухається 2 = 0. Із (9.6) і (9.7) одержуємо u1 = 2; u2 = 1. Це означає, що тіла обмінюються швидкостями.
Схема установки показана на рисунку 9.2. Дві однакові сталеві кулі масою m1 = m2 = 0,6 кг. Закріплені на металевих стержнях довжиною l = 0,72 м. Відхилимо одну кулю від положення рівноваги на кут . Потенціальна енергія Eп = mgh. Після відпускання кулі ця енергія повністю переходить в кінетичну :
,
звідки
.
(9.8)
З АВС випливає, що h = l(1-cosj) = 2lsin2j / 2 . Тоді швидкість першої кулі до удару
(9.9)
Швидкість другої кулі до удару 2 = 0. Внаслідок пружного удару перша куля зупиняється і її швидкість після удару u1 = 0. Друга куля після удару починає рухатись з швидкістю u2 = 1, тобто кулі під час удару обмінюються швидкостями.

Рисунок 9.2
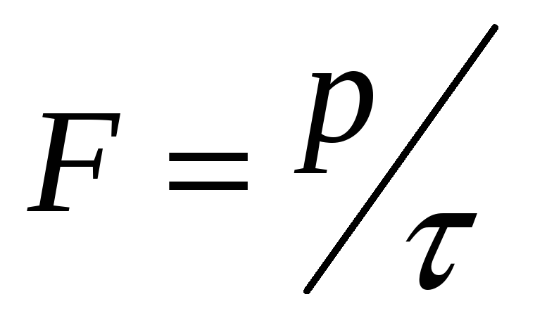
Імпульс кулі до удару p, Силу взаємодії куль F, кінетичну енергію кулі напередодні удару ЕК, можна визначити за формулами:
(9.10)
(9.11)