Чим характерний пружний центральний удар куль?
Чим характерний непружний центральний удар куль?
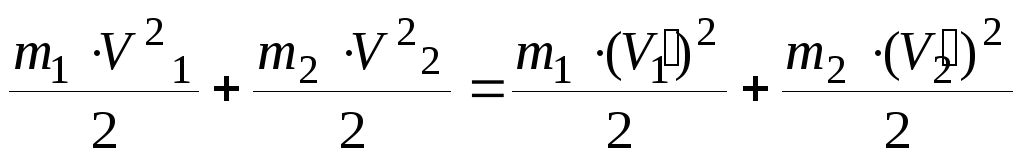
Сформулюйте закон збереження імпульсу і запишіть його, застосувавши до пружного та попружного ударів куль.
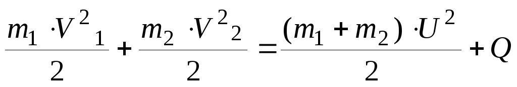
Сформулюйте закон збереження енергії і запишіть його, застосувавши до пружного і непружного ударів куль.
Що показують коефіцієнти пропорційності у формулах (10.9). (10.10), (10.11) і (10.12)?
Виведіть формули для розрахунку похибок непрямих вимірювань коефіцієнтів К у законах збереження.
Савельев И.В. Курс физики. -VI.: Наука. 1989. - Т. І.
Трофимова Т.Н. Курс физики. -М.: Высш. шк., 1990.
Яворский Б.М., Детлаф А.А. Справочник по физике. - М.: Наука. 1985.
Інструкцію підготувала старший викладач кафедри фізики Работкіна О.В.
Рецензент - доцент кафедри фізики Манько В.К.
Затверджена на засіданні кафедри фізики,
протокол № 3 від 01.12.2008 р.
THE AIM: to study the laws of perfectly elastic impact.
INSTRUMENTATION AND APPLIANCES: two balls suspended to rods, a scale for the angles measurements, a device ПС02-2М to count electric pulses and a generator of electric pulses.
1.
Calculate
a mean impact time
.
2.
Calculate a mean impact force
.
3. Calculate the absolute and relative errors of τ and F.
4. Draw the conclusions.
THE IMPACT is interaction of two or more bodies that takes place during a very short time. A magnitude of internal forces appearing in bodies system during the impact is relatively big, so the external forces acting on the bodies at this moment of time can be neglected. This enables to apply the law of conservation of momentum (law of conservation of impulse) for studying the phenomena of the body’s collision because a system of interacting bodies is isolated
PERFECTLY ELASTIC IMPACT is interaction of two bodies acting with elastic forces at each other, no mechanical energy of the system being transformed into thermal energy (heat). In this case we can apply both the law of conservation of momentum and mechanical energy.
PERFECTLY INELASTIC IMPACT is interaction of two bodies resulting in partial transformation of the mechanical energy into heat. The bodies move after collision as whole body. In this case we can not apply the law of conservation of mechanical energy, but we can apply the law of conservation of momentum and total energy of system. Hence we may write:
a) for perfectly elastic impact
,
,
where
m1
and m2
are the masses of interacting bodies; V1
and V2
are the velocities of the bodies before the impact;
and
are the velocities of the same bodies after the impact.
b) for perfectly inelastic impact
,
,
where U is the velocity of the bodies system after the impact; Q = E1 – E2 is the mechanical energy turned into heat ( E2 and E1 are the mechanical energy of the system before and after the impact.
The experimental installation to study the perfectly elastic impact consist of two rods with suspended balls, the scale for measurement of angles, a generator of elastic pulses and a device to count the pulses. Electric pulses pase through the balls of there is a contact between those balls. It is possible to obtain the bodies interaction time (impact time) if we know the numbers N of electric pulses having passed the balls during impact time and the same numbers N having passed at a second. Evidently can be calculated by the formula
(11.1)
Mean balls interaction force (mean impact force) can be calculated by the formula, which shows change of momentum of the body and impulse of the force
,
where F is a mean impact force, Δτ is the mean impact time; FΔτ is the impulse of the force; Δp is the change of body momentum.
Hence
,
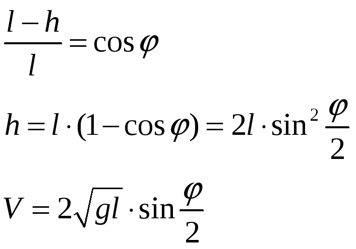
where v0 is the body velocity before the impact, v is the body velocity after the impact( v = 0 in our case). According to the law of conservation of mechanical energy
![]()
and
,
where h is a height of the lifted ball. If the rod length is equal to l then we can write (according to figure 11.1)

Figure 11.1

(11.2)
Here F is interaction force. You have to count the impact force in this laboratory work. To do this it is necessary to determine numbers N and numbers N0 of electric pulses at the beginning. For that you have to
1) switch on the device ПС02-2M;
2) wait for 5 - 7 minutes to warm up the device;
3) press the key "M" and "f";
4) connect the balls together (with you hand) and press them to each other for good electric contact and press the key "cбpoc" and then "ПУСК";
5) look at the indicator and write down the numbers of pulses passing during 1 second - N0 ;
6) repeat this measurement process four times (you must have five measurements of value N0 ).
Then you have to obtain the value of N. To do that you have to
1) press the key "100";
2) deviate one of the balls at the angle φ= 100 ;
3) release the ball and press the key "ПУСК" simultaneously;
4) press the key "СТОП" after the first balls impact;
5) write out the value N from the indicator;
6) repeat your measurement process four times (you must have five measurements of N).
1. Measure the number of pulses N0 by the device ПС02-2M as in
was shown above.
2. Measure the number of pulses N the same way (φ = 100 ).
3. Fill in the table
|
n |
N0 |
ΔN0 |
(ΔN0)2 |
N |
ΔN |
τ, s |
v, m/s |
F, N |
|
1 |
|
|
|
|
|
|
|
|
|
2 |
|
|
|
|
|
|||
|
3 |
|
|
|
|
|
|||
|
4 |
|
|
|
|
|
|||
|
5 |
|
|
|
|
|
4.
Calculate mean impact time by the formula (11.1) using
and
.
5. Calculate mean impact force F by the formula (11.2) using
m = 0.6 kg, l = 0.72 m, φ = 10 and obtained above.
6. Calculate absolute and relative error for τ and F.
7. Draw the conclusion.