Материал: Mekhanika_Ch1

Внимание! Если размещение файла нарушает Ваши авторские права, то обязательно сообщите нам

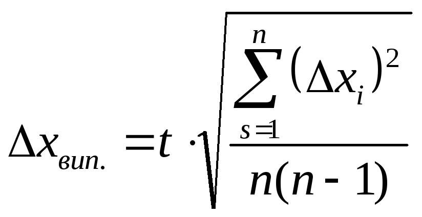
Множимо знайдене значення коефіцієнта Стьюдента t (коефіцієнт Стьюдента, залежить від і кількості вимірів n) на середню квадратичну похибку середнього значення, знаходимо випадкову похибку Δхвип результатів прямих вимірювань

. (1.12)

Таблиця 1.1

n\α

0,4

0,5

0,6

0,7

0,8

0,9

2

0,73

1,00

1,38

2,0

3,1

6,3

3

0,62

0,82

1,06

1,4

1,9

2,9

4

0,58

0,77

0,98

1,3

1,6

2,4

5

0,57

0,74

0,99

1,2

1,5

2,1

6

0,56

0,73

0,92

1,2

1,5

2,0

7

0,55

0,72

0,91

1,1

1,4

1,9

8

0,55

0,71

0,90

1,1

1,4

1,9

9

0,54

0,71

0,89

1,1

1,4

1,9

10

0,54

0,70

0,88

1,1

1,4

1,8

20

0,58

0,69

0,86

1,1

1,3

1,7

0,52

0,67

0,84

1,0

1,3

1,6

1.2 Похибки засобів вимірювання

До засобів вимірювань належать вимірювальні прилади та установки. Кожен прилад дає похибку, так як його неможливо зробити ідеальним. Похибка засобів вимірювання не перевищує деякої величини. Цю величину називають межею основної допустимої похибки вимірювального приладу (МОДП). МОДП на засоби вимірювання встановлюється державними стандартами і визначається у вигляді абсолютних, відносних та приведених похибок.

Абсолютна похибка приладу  – це є різниця

, (1.13)

де a – показання приладу, X – справжнє значення вимірюваної величини. Взагалі дорівнює ціні найменшої поділки інструмента. Наприклад: для лінійки =1 мм. Відносна похибка вимірів – це відношення

. (1.14)

Як правило, вона визначається у відсотках

. (1.15)

Приведена похибка вимірювання або клас точності визначається відношенням

, (1.16)

і визначається у відсотках. D – максимальне значення шкали інструмента. Наприклад: сила струму вимірюється амперметром з діапазоном 0 ÷ 1 А, клас точності 0,5. Це означає, що Хн = 1 А; γ = 0,5 % і

.

Якщо амперметр показує 0,3 А , тоді

.

1.3 Похибки табличних величин

1. Похибка табличної величини визначається за формулою

, (1.17)

де - довірча ймовірність; ν - половина ціни розряду останньої залишеної цифри табличної величини. Наприклад: величина π дорівнює 3,14. В цьому випадку ν = 0,005 і

.

Якщо величина π дорівнює 3,141 і ν = 0,0005, то

.

2. При користуванні вимірювальними приладами виникають похибки відліку. Типово, похибка відліку дорівнює половині ціни поділки шкали приладу. Наприклад: лінійка має похибку відліку ν = 0,5 мм.

1.4 Правила округлення і виконання наближених обчислень

Точність обчислень завжди повинна відповідати точності вимірів. Зайва арифметична точність обчислень не позитивна якість, а недолік в роботі. Наприклад, якщо середнє арифметич­не значення товщини пластинки після розрахунку було взято рі­вним 2,2543 мм при абсолютній похибці вимірів 0,03 мм, то при цьому показане лише невміння виконувати арифметичні дії з на­ближеними числами. Щоб не витрачати даремно часу для одер­жання сумнівної арифметичної точності, необхідно всі отримані величини перед підстановкою в формули округляти, залишаючи в них на одну значущу цифру більше, ніжу самої з наближених величин (з найменшим числом знаків). При округленні набли­женого числа необхідно відкидати останні цифри, якщо перша з цифр, що відкидаються, менша 5, і додавати одиницю до попе­редньої цифри, якщо перша з цифр, що відкидаються, 5 або бі­льше.

За написаним числом, що виражає результат виміру або об­числення, можна говорити про ступінь точності.

Значущі цифри – це усі цифри, крім нулів, що стоять перед числом, і нулів, поставлених наприкінці записаного результату замість відкинутих цифр при округленні.

Десяткові таки числа – це усі цифри, розміщені праворуч від коми. Наприклад, число 25,002 має п'ять значущих цифр, а десяткових знаків три; число 0,0034 має дві значущі цифри, але чотири десяткових знаки.

Якщо обчислення за наближеними даними проводяться у декілька дій, то в проміжних діях треба зберігати на одну значу­щу цифру більше в порівнянні з точністю визначуваних величин у даному досліді (тобто дві сумнівні цифри). У всіх арифметичних діях над наближеними числами в ос­таточному результаті треба уберігати стільки десяткових знаків, скільки їх мають наближені дані з найменшим числом десяткових знаків .

Округлення чисел у процесі обчислення призводить до систематичної похибки. Відносна похибка, яку знаходять в результаті обчислень, має бути приблизно на порядок (тобто у 10 разів) менша за похибку результату непрямих вимірювань.

У записі результату вимірювань залишають одну (максимум дві) сумнівні цифри. Похибку вимірювань округляють до однієї значущої цифри, якщо ця цифра не «1». Якщо ж ця цифра «1», то у похибці залишають дві значущі цифри, в записі результату вимірювань – дві сумнівні цифри. Сумнівними називаються значущі цифри в записі результату вимірювань, десяткові розряди яких збігаються з десятковими розрядами значущих цифр у записі похибки цього результату.

Розряди останніх цифр Δx і x мусять співпадати. Для цього округляють x або приписують до нього невистачаючі нулі справа. Е округляють по тим же правилам, що і Δx. Спочатку округляють Δx, Δx=0,3 мм. Розряд останньої цифри Δx - десяті долі, а – соті долі. Округляємо до десятих долів. Маємо = 73,6 мм.

Знаходимо Е:

Кінцевий результат x = 173,6 ± 0,3 мм , α = 0,7 , Е = 0,4 %

1.5 Похибки прямих вимірювань Похибки прямих вимірювань визначаються за формулою

, n = 1, (1.18)

якщо деяку величину виміряти один раз.

Якщо вимірювання виконувались n раз , то

, n > 1. (1.19)

В цих рівняннях t - коефіцієнт Стьюдента для заданого при необмеженому числі вимірів; - похибка приладу; ν - похибка відліку, .

Наприклад: довжина тіла була виміряна 3 рази:

n

х, мм

∆хi , мм

(Δхi

1

12,8

0,446

0,217

2

13,6

0,334

0,111

3

13,4

0,134

0,018

=13,2

∑(Δхi)²=0,3

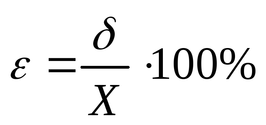
Відносна похибка дорівнює

.

Кінцевий результат: x = (13,3 ± 0,3) мм ; α = 0,7 ; Е = 3,6 %.

1.6 Похибки непрямих вимірювань

Якщо y - величина, що вимірюється посередньо, її розраховують за відомою залежністю y=f(x1,x2,…xn) від змінних x1,x2,,…xn, які вимірюють безпосередньо.

1. Похибки непрямих вимірів визначаються за формулою:

, (1.20)