Материал: KTE (1)

Внимание! Если размещение файла нарушает Ваши авторские права, то обязательно сообщите нам

Для матричної алгебри немає спеціального оператора ділення. Його можна замінити множенням на обернену матрицю, тобто матрицю в степені –1.

Приклад 2.20. Операції з матрицями.

Скалярне множення:

Некомутативне множення:

Транспонування:

Піднесення до степеня:

Пакет LinearAlgebra містить команди для різноманітних дій із векторами та матрицями, наприклад, створення та виконання перетворень, стандартних операцій та розв’язування задач лінійної алгебри. Більшість команд цього пакета є специфічними і детального розгляду в даному курсі не потребують. У таблиці 2.4 наведені вибрані та найбільш використовувані команди.

Розглянемо декілька прикладів використання команд пакета

LinearAlgebra.

Приклад 2.21. Створення матриці 2 3 з випадковими елементами.

У наступних прикладах вважатимемо, що пакет LinearAlgebra вже підключено.

81

Таблиця 2.4 – Вибрані команди пакета LinearAlgebra

Basis

Повертає

базис

для

векторного

 

простору

 

 

 

 

 

 

CharacteristicPolynomial

Будує характеристичний

поліном

 

матриці

 

 

 

 

 

 

CrossProduct

Обчислює векторний добуток двох

 

векторів

 

 

 

 

 

 

DeleteRow

Видаляє рядки матриці

 

 

 

Determinant

Обчислює детермінант матриці

 

Dimension

Обчислює

розмірність

матриці

чи

 

вектора

 

 

 

 

 

 

DotProduct

Обчислює скалярний добуток двох

 

векторів

 

 

 

 

 

 

Eigenvalues

Обчислює власне значення матриці

 

(розв’язки

 

 

характеристичного

 

рівняння)

 

 

 

 

 

 

Eigenvectors

Обчислює власні вектори матриці

GaussianElimination

Розв'язання системи лінійних

 

алгебраїчних

рівнянь

(СЛАР)

 

методом виключення Гауса

 

LeastSquares

Розв'язання

СЛАР

 

методом

 

найменших квадратів

 

 

 

LinearSolve

Обчислює

 

апроксимацію

А ∙ х = В

 

методом найменших квадратів

 

Map

Застосовує

 

певну операцію

до

 

виразу

 

 

 

 

 

 

MatrixInverse

Знаходить обернену матрицю для

 

квадратної матриці

 

 

 

MatrixScalarMultiply

Знаходить

 

добуток

матриці

та

 

скаляра

 

 

 

 

 

 

RandomMatrix

Створює випадкову матрицю

 

ReducedRowEchelonForm

Розв'язання

СЛАР

 

методом

 

Жордана–Гауса

 

 

 

 

SubMatrix, SubVector

Добуває підматрицю (вектор) із

 

даної матриці

 

 

 

 

Transpose

Транспонує матрицю або вектор

 

 

82

 

 

 

 

 

 

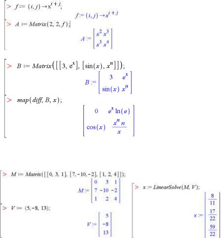
Приклад 2.22. Створення матриці 2 2, елементи якої залежать від власних індексів рядка та стовпчика, наприклад степеневою залежністю:

Приклад 2.23. Створення матриці 2 2 та диференціювання її елементів.

Приклад 2.24. Розв’язування системи лінійних алгебраїчних рівнянь матричним методом.

Рівняння можна подати у матричному вигляді як М ∙ Х = V. Матриця M та вектор V задані, необхідно знайти вектор розв’язків Х.

2.6. Робота з диференціальними рівняннями

Диференціальні рівняння покладені в основу математичних моделей різноманітних фізичних систем, процесів та пристроїв. Система Maple має потужні засоби для розв'язування диференціальних рівнянь і роботи з ними та їх розв'язками. При цьому система дозволяє проводити розв’язування як у символьному, так і в числовому вигляді, для окремих рівнянь та

83

їх систем, для звичайних рівнянь (ordinary differential equations ODE) та рівнянь у частинних похідних (partial differential equations PDE). Крім того, система має спеціальні засоби та пакети команд для виконання специфічних задач, пов'язаних із диференціальними рівняннями.

2.6.1. Символьне розв'язування диференціальних рівнянь та їх систем. Перевірка розв'язків

Існують два головні засоби Maple для розв'язування диференціальних рівнянь – це команда dsolve та помічник ODE Analyzer. Використання цих засобів описане в п. 2.2.5. У цьому підрозділі згадаємо використання команди dsolve на прикладах.

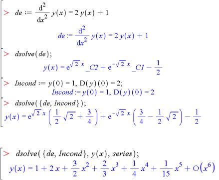
Приклад 2.25. Дано ODE. Необхідно його розв'язати без та з урахуванням початкових умов, а також із використанням методу розвинення в ряд та перетворення Лапласа.

Часто за неможливості отримати розв'язок використовують опцію розвинення в ряд:

84

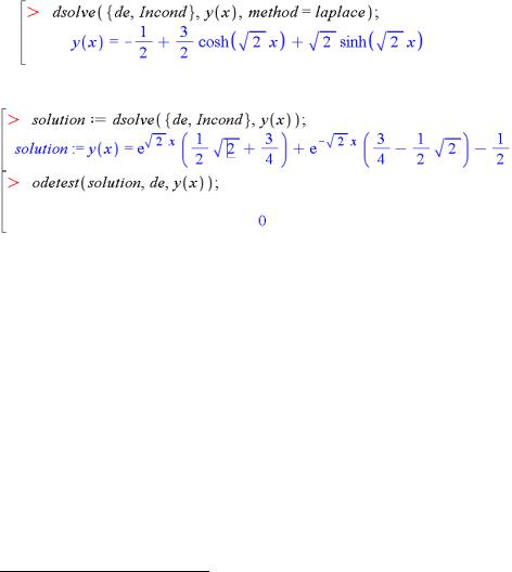
або опцію перетворення Лапласа1):

Перевірити результати розв'язання можна за допомогою

команди odetest(solution, ODE, y(x)):

Якщо команда odetest повертає значення 0, то це означає, що розв'язок правильний.

Для розв'язування системи диференціальних рівнянь до команди dsolve необхідно включити систему рівнянь у фігурних дужках та необов'язково набір шуканих функцій також у фігурних дужках. Команда буде мати такий вигляд:

dsolve({desystem, Incond}, {x(t), y(t)}).

Приклад 2.26. Розв'язати систему двох лінійних ODE з урахуванням початкових умов x(1) = 1, y(0) = 0:

dx(t)

 

y(t)

 

dt

 

 

 

dy(t)

 

 

 

 

2x(t)

 

 

 

dt

 

 

 

 

 

1)Перетворення Лапласа – це інтегральне перетворення, яке пов'язує функцію F(s) комплексної змінної (зображення) з функцією f(x) дійсної змінної (оригінал). Його переваги полягають у тому, що багатьом співвідношенням та операціям над оригіналами відповідають простіші співвідношення над їх зображенням. Наприклад, лінійні диференціальні рівняння стають алгебраїчними.

85