Материал: KTE (1)

Внимание! Если размещение файла нарушает Ваши авторские права, то обязательно сообщите нам

Для розв’язування таких задач можна використовувати декілька шляхів, наприклад, через пошук похідних за правилами математичного аналізу або безпосередньо за допомогою команд Maple.

Для пошуку точок екстремуму функції є команда

extrema(expr, constraints, vars, ‘v’). Її аргументами є:

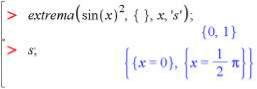
expr – вираз, що досліджується; constraints – обмеження; vars – незалежна змінна або список незалежних змінних; v - ім'я змінної, якій буде функцією extrema присвоєне значення абсциси точки екстремуму. Сама функція extrema повертає значення ординати точки екстремуму. Обмеження constraints являють собою певні вирази або рівняння у вигляді f(x) = 0. У найпростішому випадку замість обмежень зазначають пусті фігурні дужки {}. Наприклад:

Так, у даному випадку маємо дві точки екстремуму з координатами (0; 0) та (π/2; 1). Причому досліджувана функція sin2x є періодичною з періодом π, і точки екстремуму знайдені для одного періоду x [0;π].

Якщо необхідно дослідити функцію на максимальне або мінімальне значення на певному відрізку, то потрібно мати на увазі, що ці значення не завжди збігаються з екстремальними точками. Наприклад, для тієї ж функції sin2x на відрізку [2; 4] максимальним буде значення в точці А (2; 0,83), а мінімальним буде значення в точці екстремуму В (π; 0) (див. рис. 2.5).

76

Рисунок 2.5 – Графік функції y = sin2x

Для пошуку максимального значення функції на відрізку

використовують команду minimize(expr, vars, ranges), а для

пошуку максимального значення – аналогічну команду

maximize(expr, vars, ranges), де expr – вираз, що

досліджується; vars – змінні; ranges – відрізок значень змінної у вигляді x = a..b (за замовчуванням x = -∞..∞). Наприклад:

Для аналізу функції на неперервність використовують такі дві команди Maple: iscont та discont. Перша з них відповідає на запитання "чи є функція неперервною на певному відрізку?" Тому її результатом є логічне значення true (так) або false (ні). У разі, якщо функція перервна, тобто відповідь false, можна

визначити координати точок розриву за допомогою другої

команди discont.

Синтаксис цих команд є таким: iscont(expr, ranges,

'closed') та discont(expr, var), де expr – вираз, що

досліджується; ranges – відрізок значень змінної у вигляді x = a..b, необов'язкова опція 'closed' свідчить про те, що крайові

77

точки відрізку також перевіряються; var – ім'я змінної. При цьому команда discont шукає точки розриву для всіх дійсних значень аргументу var. Наприклад:

2.5. Робота з матрицями та векторами

2.5.1. Створення векторів та матриць

Задачі лінійної алгебри є одними з найпоширеніших у техніці, науці та освіті. Розглянемо у цьому підрозділі основні засоби Maple для роботи з такими структурами даних, як вектори та матриці, а також розглянемо їх використання для розв’язання систем лінійних рівнянь.

Матрицею розміром m n будемо називати прямокутну двовимірну таблицю, що містить m рядків та n стовпчиків елементів, кожен з яких може бути числом, константою, змінною, символьним або математичним виразом.

Вектором будемо називати одновимірну матрицю, яка містить лише один рядок або один стовпчик елементів.

Створення векторів та матриць детально описано в п. 1.5.2.6. Розглянемо процес створення матриці розміром більше ніж 10 10 за допомогою палітри шаблонів Matrix (п. 1.5.2.6). Після введення кількості рядків та стовпчиків у шаблон, наприклад 11 3, в робочому документі отримаємо вставку об'єкта, який

має назву placeholder та заміщує матрицю:

78

Подвійний клік на заміщувальному елементі відкриває віконце перегляду та редагування змісту матриці (див. рис. 2.6) – Browse Matrix. Це віконце містить три вкладки:

-Table – для введення даних;

-Image – для відображення даних у вигляді картинки;

-Options – для транспонування матриці.

Вкладка

Table

має вигляд електронної таблиці (див.

рис. 2.6 а),

яку

необхідно заповнити даними та можна

експортувати до Excel.

Вкладка Image відображає дані у вигляді кольорових комірок (див. рис. 2.6 б), де числова величина даних відповідає інтенсивності кольору обраної кольорової шкали. Кнопка Insert дозволяє вставити цю картинку в робочий документ. Меню Scale задає масштаб відображення, меню Display задає тип відображення картинки: magnitude – інтенсивність кольору відповідатиме значенню, structure – відображення нульових та ненульових елементів; в меню Colormap можна вибрати кольорову гаму.

а б Рисунок 2.6 – Типовий вигляд вікна для перегляду та

редагування матриць: а – вкладка Table; б – вкладка Image

79

Для звертання до елемента вектора, необхідно зазначити його ім’я та в квадратних дужках – індекс. Причому якщо рахувати з кінця, то індекс від'ємний:

Для створення нового вектора з визначеного раніше необхідно задати список або інтервал індексів потрібних елементів:

Аналогічні правила стосуються доступу і до елементів матриць із тією відмінністю лише, що зазначаються два індекси: перший індекс – індекс рядка, а другий – стовпчика, наприклад,

M[1,2].

Для великих задач рекомендовано збільшувати ефективність обчислень шляхом створення векторів та матриць із властивостями, наприклад зазначати тип даних або тип матриці.

2.5.2. Обчислення з векторами та матрицями. Пакет

LinearAlgebra

Усі обчислення з даними об'єктами можна проводити за допомогою елементарних операцій, контекстного меню та команд спеціалізованого пакета LinearAlgebra.

Для векторів і матриць застосовують такі елементарні операції:

-додавання (оператор +);

-віднімання (оператор -);

-скалярне множення (оператор *, що перетворюється на · );

-некомутативне множення (оператор . );

-піднесення до степеня (оператор ^);

-транспонування (оператор ^%T).

80