Материал: Ekzamen-1

Внимание! Если размещение файла нарушает Ваши авторские права, то обязательно сообщите нам

28)Углеводы. Классификация. Функции

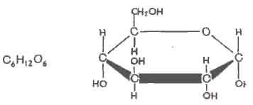
Углеводами - называют органические соединения, состоящие из углерода (C), водорода (H) и кислорода(O2). Общая формула таких углеводов Cn(H2O)m. Примером может служить глюкоза (С6Н12О6)

С точки зрения химии углеводы являются органическими веществами, содержащими неразветвленную цепь из нескольких атомов углерода, карбонильную группу (C=O), а также несколько гидроксильных групп(OH).

В организме человека углеводы производятся в незначительном количестве, поэтому основное их количество поступает в организм с продуктами питания.

Виды углеводов.

Углеводы бывают:

1) Моносахариды ( самые простые формы углеводов )

- глюкоза С6Н12О6 ( основное топливо в нашем организме )

- фруктоза С6Н12О6 ( самый сладкий углевод )

- рибоза С5Н10О5 ( входит в состав нуклеиновых кислот )

- эритроза С4H8O4 ( промежуточная форма при расщеплении углеводов )

2) Олигосахариды ( содержат от 2 до 10 остатков моносахаридов )

- сахароза С12Н22О11 ( глюкоза + фруктоза, или в просто – тростниковый сахар)

- лактоза C12H22O11 (молочный сахар )

- мальтоза C12H24O12 ( солодовый сахар, состоит из двух связанных остатков глюкозы )

110516_1305537009_Sugar-Cubes.jpg

3) Сложные углеводы ( состоящие из множества остатков глюкозы )

- крахмал (С6H10O5)n ( наиболее важный углеводный компонент пищевого рациона, человек потребляет из углеводов около 80% крахмала. )

- гликоген ( энергетические резервы организма, излишки глюкозы, при поступлении в кровь, откладываются про запас организмом в виде гликогена )

крахмал12.jpg

4) Волокнистые, или неусваеваемые, углеводы, определяющиеся как пищевая клетчатка.

- Целлюлоза ( самое распостраненное органическое вещество на земле и вид клетчатки )

По простой классификации углеводы можно разделить на простые и сложные. В простые входят моносахариды и олигосахариды, в сложные полисахариды и клетчатка.

Основные функции.

Энергетическая.

Углеводы являются основным энергетическим материалом. При распаде углеводов высвобождаемая энергия рассеивается в виде тепла или накапливается в молекулах АТФ. Углеводы обеспечивают около 50 – 60 % суточного энергопотребления организма, а при мышечной деятельности на выносливость — до 70 %. При окислении 1 г углеводов выделяется 17 кДж энергии (4,1 ккал). В качестве основного энергетического источника в организме используется свободная глюкоза или запасенные углеводы в виде гликогена. Является основным энергетическим субстратом мозга.

Пластическая.

Углеводы (рибоза, дезоксирибоза) используются для построения АТФ, АДФ и других нуклеотидов, а также нуклеиновых кислот. Они входят в состав некоторых ферментов. Отдельные углеводы являются структурными компонентами клеточных мембран. Продукты превращения глюкозы (глюкуроновая кислота, глюкозамин и др.) входят в состав полисахаридов и сложных белков хрящевой и других тканей.

Запас питательных веществ.

Углеводы накапливаются (запасаются) в скелетных мышцах, печени и других тканях в виде гликогена. Систематическая мышечная деятельность приводит к увеличению запасов гликогена, что повышает энергетические возможности организма.

Специфическая.

Отдельные углеводы участвуют в обеспечении специфичности групп крови, исполняют роль антикоагулянтов (вызывающие свертывание), являясь рецепторами цепочки гормонов или фармакологических веществ, оказывая противоопухолевое действие.

ФДИ

  • Фосфатидилинозитолы довольно широко распространены в природе. Они обнаружены у животных, растений и микроорганизмов. В животном организме найдены в мозге, печени и легких.

27)Соединения стероидной природы: холестерин, желчные кислоты. Строение и роль.

Стероиды– широко распространенные в природе соединения. Они часто обнаруживаются в ассоциации с жирами. Все стероиды в своей структуре имеют ядро, образованное гидрированным фенантреном (кольца А, В и С) и циклопентаном (кольцо D) .

К стероидам относятся гормоны коркового вещества надпочечников, желчные кислоты, витамины группы D, сердечные гликозиды и другие соединения.

Холестерин

Функции

1. Входит в состав клеточных мембран.

2. Предшественник в синтезе других стероидов:

а) жёлчных кислот;

б) стероидных гормонов (глюкокортикоидов, минералкортикоидов, половых гормонов (андрогенов и эстрогенов)).

3. Витамин D3 синтезируется в коже при УФ-излучении вследствие разрыва В-цикла. Витамин D3 является предшественником гормона кальцитриола, регулирующего обмен Са2+ в организме и остеогенез (формирование костной ткани).

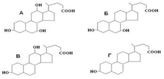
Жёлчные кислоты

синтезируются из холестерина в печени. Известны четыре желчных кислоты: холевая (3,7,12 – тригидроксихолановая кислота), хенодезоксихолевая (3, 7 – дигидроксихолановая кислота), дезоксихолевая (3, 12,- дигидроксихолановая кислота) и литохолевая (3-гидроксихолановая кислота) (рис. 19). Первые две ЖК синтезируются в печени человека, а две другие - в кишечнике под действием ферментов.

Рис. 14. Структуры желчных кислот (А – холевая, Б-хенодезоксихолевая, В – дезоксихолевая, Г – литохолевая)

Функции

1)эмульгаторы;

2)активируют панкреатическую липазу;

3)участвуют во всасывании продуктов переваривания липидов и жирорастворимых витаминов в форме мицеллы;

4)растворяют холестерин в желчном пузыре.

Защитная.

Сложные углеводы входят в состав компонентов иммунной системы; мукополисахариды находятся в слизистых веществах, которые покрывают поверхность сосудов носа, бронхов, пищеварительного тракта, мочеполовых путей и защищают от проникновения бактерий и вирусов, а также от механических повреждений.

Регуляторная.

Клетчатка пищи не поддается процессу расщепления в кишечнике, однако активирует перистальтику кишечного тракта, ферменты, использующиеся в пищеварительном тракте, улучшая пищеварение и усвоение питательных веществ.

29)Моносахариды. Классификация. Хим. Свойства. Окислительно-восстановительные реакции.

Моносахариды (монозы) являются гетерофункциональными соединениями. В их молекулах одновременно содержатся и карбонильная (альдегидная или кетонная), и несколько гидроксильных групп.

В зависимости от этого моносахариды подразделяются на альдозы (в моносахариде содержится альдегидная группа) и кетозы (содержится кетогруппа). Например, глюкоза – это альдоза, а фруктоза – это кетоза.                                По количеству атомов углерода в цепи моносахариды подразделяют на: низшие (диозы, триозы, тетрозы), средние (пентозы, гексозы) и высшие (гептозы, октозы и нонозы).

Для всех моносахаридов характерно явление  мутаротации, т.е. существование в циклической и нециклической формах.

Химические свойства

Моносахариды проявляют свойства спиртов и карбонильных соединений.

I. Реакции по карбонильной группе

1. Окисление.

a) Как и у всех альдегидов, окисление моносахаридов приводит к соответствующим кислотам. Так, при окислении глюкозы аммиачным раствором гидрата окиси серебра образуется глюконовая кислота (реакция "серебряного зеркала").

b) Реакция моносахаридов с гидроксидом меди при нагревании так же приводит к альдоновым кислотам.

c) Более сильные окислительные средства окисляют в карбоксильную группу не только альдегидную, но и первичную спиртовую группы, приводя к двухосновным сахарным (альдаровым) кислотам. Обычно для такого окисления используют концентрированную азотную кислоту.

2. Восстановление.

Восстановление сахаров приводит к многоатомным спиртам. В качестве восстановителя используют водород в присутствии никеля, алюмогидрид лития и др.

II. Реакции по гидроксильным группам

1. Алкилирование (образование простых эфиров).

2. Ацилирование (образование сложных эфиров).

3.      Как и все многоатомные спирты, глюкоза с гидроксидом меди (II) дает интенсивное синее окрашивание (качественная реакция).

III. Специфические реакции

Кроме приведенных выше, глюкоза характеризуется и некоторыми специфическими свойствами - процессами брожения. Брожением называется расщепление молекул сахаров под воздействием ферментов (энзимов). Брожению подвергаются сахара с числом углеродных атомов, кратным трем. Существует много видов брожения, среди которых наиболее известны следующие:

a)     спиртовое брожение

b)     молочнокислое брожение

c)      маслянокислое брожение

Упомянутые виды брожения, вызываемые микроорганизмами, имеют широкое практическое значение. Например, спиртовое – для получения этилового спирта, в виноделии, пивоварении и т.д., а молочнокислое – для получения молочной кислоты и кисломолочных продуктов.

30)Стереоизомерия моносахаридов d- и l-ряды. Открытые и циклические формулы. Пиранозы и фуранозы. Α- и β-аномеры. Циклоцепная таутомерия. Явление муторотации.

Способность ряда органических соединений вращать плоскость поляризации поляризованного света вправо или влево называют оптической активностью. Исходя из сказанного выше, следует, что органические вещества могут существовать в виде правовращающих и левовращающих изомеров. Такие изомеры получили название стереоизомеров, а само явление стереоизомерии.

В основе более строгой системы классификации и обозначения стереоизомеров лежит не вращение плоскости поляризации света, а абсолютная конфигурация молекулы стереоизомера, т.е. взаимное расположение четырех обязательно разных замещающих групп, находящихся в вершинах тетраэдра, вокруг локализованного в центре атома углерода, который получил название асимметрического атома углерода или хирального центра. Хиральные или, как их еще называют, оптически активные атомы углерода обозначают в структурных формулах звездочками

Таким образом, под термином стереоизомерия следует понимать различную пространственную конфигурацию заместителей у соединений, имеющих одну и ту же структурную формулу и обладающих одинаковыми химическими свойствами. Такой вид изомерии называют также зеркальной изомерией. Наглядным примером зеркальной изомерии могут служить правая и левая ладони руки. Ниже приведены структурные формулы стереоизомеров глицеринового альдегида и глюкозы.

Если у асимметрического атома углерода в проекционной формуле глицеринового альдегида ОН-группа располагается справа, такой изомер называют D-стереоизомером, а если ОН-группа расположена слева –L-стереоизомером.

В случае тетроз, пентоз, гексоз и других моноз, которые обладают двумя и более асимметрическими атомами углерода, принадлежность стереоизомера к D- или L-ряду определяют по расположению ОН-группы у предпоследнего атома углерода в цепи – он же является последним асимметрическим атомом. Например, для глюкозы оценивают ориентацию ОН-группы у 5-ого атома углерода. Абсолютно зеркальные стереоизомеры называют энантиомерами или антиподами.

Стереоизомеры не отличаются по своим химическим свойствам, но отличаются по биологическому действию (биологической активности). Большая часть моносахаридов в организме млекопитающих относится к D-ряду – именно к этой конфигурации специфичны ферменты, ответственные за их метаболизм. В частности D-глюкоза воспринимается как сладкое вещество, благодаря способности взаимодействовать с вкусовыми рецепторами языка, в то время как L-глюкоза безвкусна, поскольку ее конфигурация не воспринимается вкусовыми рецепторами.

В общем виде строение альдоз и кетоз можно представить следующим образом.

Стереоизомерия. Молекулы моносахаридов содержат несколько центров хиральности, что служит причиной существования многих стереоизомеров, отвечающих одной и той же структурной формуле. Например, в альдогексозе имеются четыре асимметрических атома углерода и ей соответствуют 16 стереоизомеров (24), т. е. 8 пар энантиомеров. По сравнению с соответствующими альдозами кетогексозы содержат на один хиральный атом углерода меньше, поэтому число стереоизомеров (23) уменьшается до 8 (4 пары энантиомеров).

Открытые (нециклические) формы моносахаридов изображают в виде проекционных формул Фишера. Углеродную цепь в них записывают вертикально. У альдоз наверху помещают альдегидную группу, у кетоз - соседнюю с карбонильной первичную спиртовую группу. С этих групп начинают нумерацию цепи.

Для обозначения стереохимии используется D,L-система. Отнесение моносахарида к D- или L-ряду проводят по конфигурации хирального центра, наиболее удаленного от оксогруппы, независимо от конфигурации остальных центров! Для пентоз таким «определяющим» центром является атом С-4, а для гексоз - С-5. Положение группы ОН у последнего центра хиральности справа свидетельствует о принадлежности моносахарида к D-ряду, слева - к L-ряду, т. е. по аналогии со стереохимическим стандартом - глицериновым альдегидом

Циклические формы. Открытые формы моносахаридов удобны для рассмотрения пространственных отношений между стереоизомерными моносахаридами. В действительности моносахариды по строению являются циклическими полуацеталями. Образование циклических форм моносахаридов можно представить как результат внутримолекулярного взаимодействия карбонильной и гидроксильной групп, содержащихся в молекуле моносахарида.

Впервые циклическую полуацетальную формулу глюкозы предложил А. А. Колли (1870). Он объяснил отсутствие некоторых альдегидных реакций у глюкозы наличием трехчленного этиленоксидного (α-окисного) цикла: