Материал: Ekzamen-1

Внимание! Если размещение файла нарушает Ваши авторские права, то обязательно сообщите нам

Гетерополисахариды — полисахариды, построенные из остатков различных моносахаридов, встречаются в растительных и животных организмах.

Гиалуроновая кислота - гетерополисахарид, имеющий очень важное значение для высших организмов. В соединительной ткани это основной компонент внеклеточного желатинообразного вещества, заполняющего межклеточное пространство тканей. Она содержится в больших количествах в синовиальной жидкости суставов. Стекловидное тело и пуповина новорожденных также богаты гиалуроновой кислотой.

В структурном отношении молекула представляет собой линейный полисахарид, образованный дисахаридными повторяющимися звеньями, состоящими из остатков D-глюкуроновой кислоты и N-ацетил-D-глюкозамина, соединенных β-1,3-гликозидной связью. Повторяющиеся дисахаридные звенья связаны между собой β-1,4-связью.

Био роль:

  • Цементирующее, связывающее вещество различных межклеточных элементов

  • Препятствует проникновению бактерий

  • Входит в состав суставной и синовиальной жидкостей

  • Выполняет роль смазки

  • Стекловидное тело глаза на 100% состоит из гиалуроновой кислоты

  • Хорошо связывает воду и катионы

  • Обеспечивает тургор тканей человека

Хондроитинсульфаты являются составной частью костной ткани, хрящей, сухожилий, роговицы глаз, сердечных клапанов и других подобных тканей. Хорошо связывают воду и катионы.

Состоят из дисахаридных остатков N-ацетилированного хондрозина, соединенных β-1,4-гликозидными связями. В состав хондрозина входят D-глюкуроновая кислота и D-галактозамин, связанные между собой β-1,3-гликозидной связью.

37)Азотистые основания пуриновые (аденин, гуанин) и пиримидиновые (тимин, урацил, цитозин). Строение, лактим-лактамная таутомерия.

Азо́тистые основа́ния — гетероциклические органические соединения, производные пиримидина и пурина, входящие в состав нуклеиновых кислот. Для сокращенного обозначения пользуются большими латинскими буквами. К азотистым основаниям относят аденин (A), гуанин (G), цитозин (C), которые входят в состав как ДНК, так и РНК. Тимин (T) входит в состав только ДНК, а урацил (U) встречается только в РНК.

Аденин и гуанин являются производными пурина, а цитозин, урацил и тимин — производными пиримидина.

Тимин, который присутствует только в ДНК, и урацил, который встречается только в РНК, обладают сходной химической структурой. Урацил отличается от тимина отсутствием метильной группы у 5-го атома углерода.

Азотистые основания, соединяясь ковалентной связью с 1' атомом рибозы или дезоксирибозы, образуют N-гликозиды, которые называют нуклеозиды. Нуклеозиды, в которых к 5'-гидроксильной группе сахара присоединены одна или несколько фосфатных групп, называются нуклеотидами. Эти соединения являются строительными блоками молекул нуклеиновых кислот — ДНК и РНК.

После образования молекулы нуклеиновой кислоты входящие в её состав азотистые основания могут вступать в различные химические реакции под действием ферментов а также факторов внешней среды.

Азотистые основания одной из цепей соединены с азотистыми основаниями другой цепи водородными связями согласно принципу комплементарности.

Антипараллельность  цепей ДНК: противоположная направленность двух нитей двойной спирали ДНК; одна нить имеет направление от 5' к 3', другая - от 3' к 5'.

ЛАКТИМ-ЛАКТАМНАЯ ТАУТОМЕРИЯ

Этот вид таутомерии характерен для азотсодержащих гетероциклов с фрагментом N=C—ОН.

Взаимопревращение таутомерных форм связано с переносом протона от гидроксильной группы, напоминающей фенольную ОН-группу, к основному центру — пиридиновому атому азота и наоборот. Обычно лактамная форма в равновесии преобладает.

38) Нуклеозиды — это гликозиламины, содержащие азотистое основание, связанное с сахаром (рибозой или дезоксирибозой).

Нуклеиновые основания образуют связь за счет одного из атомов азота с аномерным центром пентозы (D-рибозы или 2-дезокси-D-рибозы). Этот тип связи аналогичен обычной гликозидной связи и известен как N-гликозидная связь, а сами гликозиды - как N-гликозиды. В химии нуклеиновых кислот их называют нуклеозидами.

В состав природных нуклеозидов пентозы входят в фуранозной форме (атомы углерода в них нумеруют цифрой со штрихом). Гликозидная связь осуществляется с атомом азота N-1 пиримидинового и N-9 пуринового оснований.

Природные нуклеозиды всегда являются β-аномерами.

В зависимости от природы углеводного остатка различают рибонуклеозиды и дезоксирибонуклеозиды. Для нуклеозидов употребительны названия, производимые от тривиального названия соответствующего нуклеинового основания с суффиксами -идин у пиримидиновых и -озин у пуриновых нуклеозидов.

39)Нуклеотиды: строение, номенклатура, характер связи. Гидролиз нуклеотидов.

Нуклеотидами называют фосфаты нуклеозидов. Фосфорная кислота обычно этерифицирует спиртовый гидроксил при С-5' или С-3' в остатке рибозы (рибонуклеотиды) или дезоксирибозы (дезоксирибонуклеотиды).

Общий принцип строения нуклеотидов показан на примере фосфатов аденозина. Для связывания трех компонентов в молекуле нуклеотида используются сложноэфирная и N-гликозидная связи.

Нуклеотиды можно рассматривать, с одной стороны, как эфиры нуклеозидов (фосфаты), а с другой - как кислоты (в связи с наличием остатка фосфорной кислоты).

За счет фосфатного остатка нуклеотиды проявляют свойства двухосновной кислоты и в физиологических условиях при рН ~7 находятся в полностью ионизированном состоянии.

Для нуклеотидов используют два вида названий (табл. 1). Одно включает наименование нуклеозида с указанием положения в нем фосфатного остатка, например, аденозин-3'-фосфат, уридин-5'-фосфат; другое строится с добавлением сочетания -иловая кислота к названию остатка пиримидинового основания, например, 5'-уридиловая кислота, или пуринового основания, например 3'-адениловая кислота.

Используя принятый для нуклеозидов однобуквенный код, 5'-фосфаты записывают с добавлением латинской буквы «р» перед символом нуклеозида, 3'-фосфаты - после символа нуклеозида. Аденозин-5'-фосфат обозначается рА, аденозин-3'-фосфат - Ар и т. п. Эти сокращенные обозначения используют для записи последовательности нуклеотидных остатков в нуклеиновых кислотах. По отношению к свободным нуклеотидам в биохимической литературе широко используют их названия, как монофосфатов с отражением этого признака в сокращенном коде, например АМР (или АМФ) для аденозин-5'-фосфата и т. д

Гидролиз

39) Свободные нуклеотиды: цамф и цгмф, атф, адф, фад, над. Строение, функции.

Циклический аденозинмонофосфат (цамф) — производное АТФ, выполняющее в организме роль вторичного посредника, использующегося для внутриклеточного распространения сигналов некоторых гормонов (например, глюкагона или адреналина), которые не могут проходить через клеточную мембрану. Превращает ряд инертных белков в ферменты (цамф-зависимые протеинкиназы), под действием которых происходит ряд биохим. реакций (проведение нервного импульса).

Образование цАМФ стимулируется адреналином.

Циклический гуанозинмонофосфат (цГМФ) -  это циклическая форма нуклеотида, образующаяся из гуанозинтрифосфата (GTP) ферментом гуанилатциклазой. Образование стимулируется ацетилхолином.

  • цГМФ вовлечен в регуляцию биохимических процессов в живых клетках в качестве вторичного посредника (вторичного мессенджера). Характерно, что многие эффекты цГМФ прямо противоположны цАМФ.

  • цГМФ активирует G-киназу и фосфодиэстеразу, гидролизующую цАМФ .

  • цГМФ принимает участизе в регуляции клеточного цикла . От соотношения цАМФ/цГМФ зависит выбор клетки: прекратить деление (остановиться в G0 фазе) или продолжить, перейдя в фазу G1.

  • цГМФ стимулирует пролиферацию клеток (деление), а цАМФ подавляет

Аденозинтрифосфат (АТФ) - нуклеотид, образованный азотистым основанием аденином, пятиуглеродным сахаром рибозой и тремя остатками фосфорной кислоты. Фосфатные группы в молекуле АТФ соединены между собой высокоэнергетическими (макроэргическими) связями. Связи между фосфатными группами не очень прочные, и при их разрыве выделяется большое количество энергии. В результате гидролитического отщепления от АТФ фосфатной группы образуется аденозиндифосфорная кислота (АДФ) и высвобождается порция энергии.

  • Вместе с другими нуклеозидтрифосфатами АТФ является исходным продуктом при синтезе нуклеиновых кислот.

  • АТФ отводится важное место в регуляции множества биохимических процессов. Являясь аллостерическим эффектором ряда ферментов, АТФ, присоединяясь к их регуляторным центрам, усиливает или подавляет их активность.

  • АТФ является также непосредственным предшественником синтеза циклического аденозинмонофосфата — вторичного посредника передачи в клетку гормонального сигнала.

  • Также известна роль АТФ в качестве медиатора в синапсах и сигнального вещества в других межклеточных взаимодействиях

Аденозиндифосфат (АДФ) — нуклеотид, состоящий из аденина, рибозы и двух остатков фосфорной кислоты. АДФ участвует в энергетическом обмене во всех живых организмах, из него образуется АТФ путём фосфорилирования:

АДФ + H3PO4 + энергия → АТФ + H2O.

Циклическое фосфорилирование АДФ и последующее использование АТФ в качестве источника энергии образуют процесс, составляющий суть энергетического обмена (катаболизма).

ФАД — флавинадениндинуклеотид — кофермент, принимающий участие во многих окислительно-восстановительных биохимических процессах. ФАД существует в двух формах — окисленной и восстановленной, его биохимическая функция, как правило, заключается в переходе между этими формами.

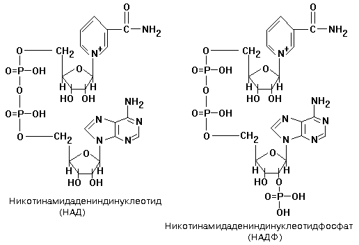
Никотинамидадениндинуклеотид (НАД) -  динуклеотид, состоит из двух нуклеотидов, соединённых своими фосфатными группами. Один из нуклеотидов в качестве азотистого основания содержит аденин, другой — никотинамид. Никотинамидадениндинуклеотид существует в двух формах: окисленной (NAD) и восстановленной (NADH).

  • В метаболизме NAD задействован в окислительно-восстановительных реакциях, перенося электроны из одной реакции в другую. Таким образом, в клетках NAD находится в двух функциональных состояниях: его окисленная форма, NAD+, является окислителем и забирает электроны от другой молекулы, восстанавливаясь в NADH, который далее служит восстановителем и отдаёт электроны.

  • 1. Метаболизм белков, жиров и углеводов. Так как НАД и НАДФ служат коферментами большинства дегидрогеназ, то они участвуют в реакциях

  • при синтезе и окислении жирных кислот,

  • при синтезе холестерола,

  • обмена глутаминовой кислоты и других аминокислот,

  • обмена углеводов: пентозофосфатный путь, гликолиз,

  • окислительного декарбоксилирования пировиноградной кислоты,

  • цикла трикарбоновых кислот.

  • 2. НАДН выполняет регулирующую функцию, поскольку является ингибитором некоторых реакций окисления, например, в цикле трикарбоновых кислот.

  • 3. Защита наследственной информации – НАД является субстратом поли-АДФ-рибозилирования в процессе сшивки хромосомных разрывов и репарации ДНК, что замедляет некробиоз и апоптоз клеток.

  • 4. Защита от свободных радикалов – НАДФН является необходимым компонентом антиоксидантной системы клетки.