3.1.3. Расчет подшипников качения
Для подшипников качения приводного вала 1.2и установленных в наиболее нагруженной верхней опоре, воспринимающей действие осевых и радиальных сил, выполняется проверочный расчет. (рис.3.12, 3.13).
Радиальные нагрузки, действующие на подшипники валов стандартных аппаратов с мешалками, при соблюдении условия их виброустойчивости незначительны. Поэтому проверка нагрузочной способности подшипников выполняется по ОСТ 26-01-1225-75 [8] в соответствии с условием
F≤[F],
где F - расчетное осевое усилие, действующее на вал мешалки, Н;
[F] - предельное осевое усилие, установленное для каждого типа привода, Н (рисунок 3.12).
3.2. Расчет вала вертикального перемешивающего устройства
Условия, обеспечивающие работоспособность вала перемешивающего устройства, определяются его расчетом на виброустойчивость, жесткость и прочность.
В рассматриваемых методах расчета валов принят ряд допущений.
1. Разъемный вал, соединенный жесткой муфтой, принят эквивалентным целому.
2. Силовое воздействие на вал уплотнительного устройства (сальникового или торцевого) и податливость опор не учитываются.
3. Участки вала, расположенные выше верхней опоры, в расчете не учитываются.
4. Соединительные муфты и изменение диаметра вала в пределах привода, предусмотренные ОСТ 26-01-1225-75, не учитываются.
5. Расчет жесткости консольного вала ведется по диаметру участка, имеющего наибольшую длину.
В качестве принципиальных схем для расчета валов (рис. 3.9) вертикальных аппаратов с механическими перемешивающими устройствами приняты наиболее распространенные в практике аппаратостроения схемы конструкций однопролетных и двухпролетных консольных валов, имеющих по одной шарнирно-неподвижной опоре А (подшипник качения одиночный или сдвоенный, воспринимающий осевую и радиальную нагрузку) и по одной шарнирно-подвижной опоре В (рис. 3.9) (подшипник качения или скольжения, воспринимающий радиальную нагрузку). Концевой подшипник скольжения считается шарнирно-подвижной опорой, если его рабочая длина меньше или равна диаметру вала.
3.2.1. Расчет вала на виброустойчивость
Расчет вала на виброустойчивость сводится к определению условий работы, при которых угловая скорость вынужденного вращения вала ω находится в определенном соотношении с частотой его собственных крутильных колебаний ω1, соответствующей критической частоте вращения вала.
Вал, вращающийся с частотой, меньшей чем первая критическая скорость (ω<ω1), называется жестким. Если частота вращения вала превышает первую критическую скорость (ω>ω1), то вал называется гибким.
В аппаратах с перемешивающими устройствами, как правило, применяются жесткие валы. Для предотвращения резонанса колебаний должно соблюдаться условие виброустойчивости для жесткого вала.
В принятых нерезонансных областях работы валов влияние сил сопротивления рабочей среды незначительно.
Расчет первой критической скорости вала, соответствующей резонансу при изгибных колебаниях, выполняется в такой последовательности.
На основании эскизной компоновки аппарата составляется расчетная схема вала (рис. 3.9). Первая критическая скорость вала определяется по формуле
рад/с
, (3.11)
где
-
расчетная длина вала, м;
-
модуль упругости материала вала, Па;
-
момент инерции поперечного сечения
вала, м4,
;
-
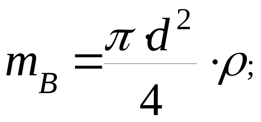
масса единицы длины вала, кг/м,

-
плотность вала из стали, кг/м3,
ρ= 7,85·103
кг/м3;
-
корень частного уравнения, основной
тон.
Величина α определяется по графикам, представленным на рис. 3.10, 3.11.
Для определения корня частного уравнения предварительно вычисляются
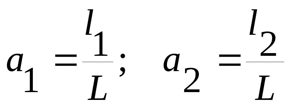
относительная координата центра тяжести мешалки:
; (3.12)
относительная
масса мешалки
:
, (3.13)
где
-
масса мешалки, кг
Если найденное значение не удовлетворяет условию, необходимо увеличить диаметр вала, который определяется по формуле
, (3.14)
где
-
допускаемое напряжение при кручении,
Па,
=
2·107
Па;
-
расчетный крутящий момент на валу, Нм;
, (3.15)
где
-
коэффициент динамичности нагрузки;
- номинальная мощность, потребляемая
мешалкой, Вт;
-
угловая скорость вала мешалки, рад/с.
Для
турбинных и трехлопастных мешалок и
аппарата без перегородок
=1,5;
в аппарате с перегородками
=1,2; для рамных и лопастных мешалок
=2,0.

Рис. 3.9. Расчетные схемы валов мешалок:
а) вал консольный; δ) вал однопролетный (приводы с концевой опорой)

Рис. 3.10. Значение корня частного уравнения для консольного вала

Рис. 3.11. Значение корня частного уравнения для однопролетного вала
3.2.2. Проверка прочности на кручение и изгиб
Напряжения от крутящего и изгибающего моментов определяются по формулам:
, (3.16)
.
(3.17)
Расчетный изгибающий момент М от действия приведенной центробежной силы FЦ определяется в зависимости от расчетной схемы вала согласно табл. 3.7. Приведенная центробежная сила (в Н) определяется по формуле
FЦ = mnpω2r, (3.18)
где mnp - приведенная сосредоточенная масса вала и перемешивающего устройства, кг;
r - радиус вращения центра тяжести приведенной массы вала и перемешивающего устройства, м
Таблица 3.7
Данные для расчета вала вертикального перемешивающего устройства
|
Номер схемы |
Расчетные схемы реального и приведенного валов |
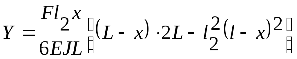
Уравнение упругой линии и угол поворота сечения вала в опорах |
Коэффициент приведения q |
Коэффициент приведения p |
|
1 |
|
при 0≤Х≤l1
θA=0 |
|
где
|
|
2 |
|
при l1≤X≤l |
|
где
|

Рис. 3.12. Конструкции опор вала

Рис. 3.13. Опора вала мешалки
1,2-болт и пружинная шайба крепления узла подшипника к корпусу аппарата;
3-вал мешалки;4-гайка крепления вала мешалки в корпусе верхнего подшипника;5-манжетное уплотнение
Приведенная сосредоточенная масса вала и перемешивающего устройства определяется по формулам:
при одном перемешивающем устройстве
mnp = m + q∙mB∙L; (3.19)
при двух перемешивающих устройствах
mпр = m1+p·m2+q·mB∙L, (3.20)
где m1 и m2 - соответственно массы двух перемешивающих устройств, кг;
q - коэффициент приведения распределенной массы к сосредоточенной массе перемешивающего устройства;
р - коэффициент приведения массы m1 в точку закрепления массы m2.
Коэффициенты q и р определяются по формулам табл. 3.7.
Радиус r определяется из формулы
, (3.21)
где е' - эксцентриситет массы перемешивающего устройства с учетом биения вала, м,
е' = е + 0,5δ, (3.22)
где е - эксцентриситет центра массы перемешивающего устройства, м;
е = 0,14…0,2 мм;
δ- допускаемое биение вала (обычно принимается в пределах I мм), м.
Результирующее напряжение на валу определится по формуле
. (3.23)
3.2.3. Проверка на жесткость
Прогибы вала в паре трения уплотнения, а также углы поворота сечений вала в опорах рассчитываются по формулам табл. 3.7 и должны быть не больше допускаемых.
Допускаемое биение вала в сальниковом уплотнении 0,05... 0,1 мм.
Для подшипников качения допускаемый угол поворота:
– шариковые радиальные однорядные [θ] = 0,005 рад;
– шариковые сферические [θ] = 0,05 рад;
– роликовые цилиндрические [θ] = 0,0025 рад; – роликовые конические [θ] = 0,0016 рад;
– подшипники скольжения [θ] = 0,0010 рад.
Окончательно диаметр вала с учетом прибавок на коррозию и механический износ округляется до ближайшего большего размера для валов соответствующего нормализованного привода [18].
4.1. Расчет опор–лап и опор-стоек
Данный раздел посвящён методике расчета опор вертикальных аппаратов, конструкции, основных и присоединительных размеров опор-лап, опор-стоек; рассматриваются конструкции и требования к выбору мешалок в соответствии с ОСТ 26-01-1245-83, а также типы и параметры корпусов для аппаратов с перемешивающими устройствами в соответствии с действующими отраслевыми стандартами Минхимнефтемаш России.
Материалы раздела будут полезны при выполнении курсового проекта на тему "Расчет и конструирование аппаратов с перемешивающими устройствами''.
Размер опоры лапы или опоры стойки выбирается в зависимости от внутреннего диаметра корпуса аппарата в соответствии с ОСТ 26-665-72. Затем проводится проверочный расчет элементов опоры по следующей методике [18].
Выбор типоразмера опоры (табл.4.1, 4.2) и определение допускаемой нагрузки на опору [G], основная величина для расчета - нагрузка на одну опору G1, H:
, (4.1)
где
- максимальный вес аппарата, включающий
вес аппарата, футеровки, термоизоляции;
различных конструкций, опирающихся на
корпус аппарата, максимальный вес
продуктов, заполняющих аппарат, или
массу воды при гидравлическом испытании,
Н;
n - число опор (n = 3 при расчете опоры-стойки; n = 4 при расчете опоры-лапы) .
Проверка опоры на грузоподъемность по условию
G1<[G]. (4.2)
Определение фактической площади подошвы подкладного листа опор (Афакт, мм2):
Афакт
=
, (4.3)
где a2, b2 - размеры подкладного листа в мм (табл. 4.1, 4.2).
Определение требуемой площади подошвы подкладного листа (Атреб, мм2) из условия прочности бетона фундамента:
Aтреб
=
, (4.4)
где
-
допускаемое удельное давление, МПа:
для
бетона марки 300
-
= 23 МПа;
для
бетона марки 200
-
= 14 МПа;
для
кирпичной кладки
-
= 1,6 МПа.
Проверка удовлетворения выбранного размера площади подкладного листа условию прочности материала фундамента
Афакт > Атреб. (4.5)
Проверка вертикальных ребер опоры на сжатие и устойчивость. Напряжение сжатия в ребре при продольном изгибе
(4.6)
где
–
поправка на действие неучтенных факторов
[18];