Материал: 793

Внимание! Если размещение файла нарушает Ваши авторские права, то обязательно сообщите нам

После испытания система внутреннего водопровода готова к передаче на эксплуатацию.

Эксплуатация внутренних водопроводов

Экслуатация внутренних водопроводов находится в ведении ПЖРЭУ (производственных жилищно-ремонтно-эксплуатационных участков) или отделов главного энергетика или механика предприятий – это зависит от принадлежности здания (муниципальное или ведомственное) и типа системы (В1, В2, В3, Т3–Т4).

Выполняемые работы:

текущие ремонты по заявкам жильцов (смена прокладок кранов, замена неисправной арматуры, оборудования, устранение течей

втрубах, постановка хомутов, замена участков труб с большой степенью повреждения коррозией и т.д.);

капитальные ремонты с заменой трубопроводов через 15–20 лет при стальных трубопроводах, через 50 лет – при пластмассовых трубах, а также когда физический износ инженерной системы достиг

60% [10].

Реконструкция внутренних водопроводов

Реконструкция любой санитарно-технической системы – это производство строительно-монтажных работ с целью приведения эксплуатационных показателей системы к уровню современных требований (ГОСТов, СНиПов и др.). Любая реконструкция должна проводиться на основании ее проекта.

Бывает два вида реконструкции инженерных систем:

1)расширение;

2)ликвидация старой системы и монтаж новой.

Например, до 1970-х годов в нашей стране горячий водопровод зданий сооружали только с подающими трубопроводами Т3. Затем после принятия нового СНиП [15] в зданиях начали внедрять горячее водоснабжение, расширив системы дополнительными трубопроводами Т4 (циркуляционными). Это был первый вид реконструкции.

31

Другим примером реконструкции является полная замена хозяй- ственно-питьевых водопроводов В1 из стальных труб на системы, собираемые из металлополимерных (металлопластиковых) труб. Это второй вид реконструкции, который проводят в связи с внесением изменений в СНиП 2.04.01-85 [15] в 1996 г. (смена приоритетов материалов водопроводных труб).

Гидравлический расчет внутренних водопроводов

Гидравлический расчет внутренних водопроводов – достаточно обширная тема, поэтому рассмотрим лишь основные его принципы.

Водопровод – это напорная система. Вода может идти в любом направлении под влиянием разности напоров, от большего напора к меньшему. При движении воды в трубах происходят два вида потерь напоров:

1)линейные (на прямых участках труб);

2)местные (на поворотах, тройниках и т.д.).

Общие (суммарные) потери напора складываются из суммы линейных и местных потерь напора.

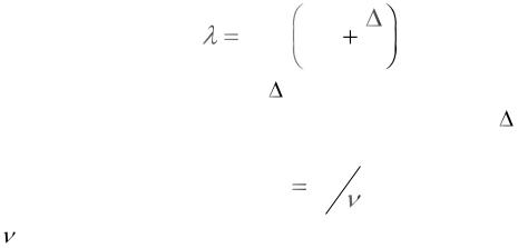
Рассчитывают потери напора по специальным гидравлическим формулам. В общем случае потеря напора может быть рассчитана по формуле Вейсбаха [22]

V 2 H 2g ,

где коэффициент гидравлического сопротивления; V – средняя скорость потока в трубе; g – ускорение свободного падения.

В случае прямолинейного участка трубопровода коэффициент гидравлического сопротивления

l d ,

где – коэффициент гидравлического трения; l – длина участка трубы; d – внутренний диаметр трубы.

Водопроводы обычно работают в условиях турбулентного режима течения. Поэтому коэффициент гидравлического трения может быть определен по приближенной формуле А.Д. Альтшуля

32

 

68

0,25

0,11

 

 

,

 

 

 

Re

 

d

где Re – число Рейнольдса; – абсолютная шероховатость стенок трубопровода. Например, для старых стальных труб ≈ 1,5 мм.

Число Рейнольдса для напорных трубопроводов

Re

Vd

,

 

 

 

B

где B – кинематическая вязкость воды, м2/с.

Для облегчения гидравлических расчетов применяют таблицы или графики. В нашей стране используют таблицы Ф.А. Шевелева [25], которые приведены в большинстве учебников и гидравлических справочников.

Начинают гидравлический расчет внутреннего водопровода с определения по СНиП 2.04.01-85 [15] нормативных расходов водоразборных приборов (кранов, смесителей). Например, расход холодной воды для крана равен 0,2 л/с.

Затем выбирают расчетную линию сети, от ввода водопровода до наиболее удаленного и высокорасположенного прибора (рассматриваем тупиковые системы В1, без циркуляции).

Эту линию разбивают на участки в местах ответвлений трубопроводов, т.е. там, где меняется расход воды. Определяют длину каждого участка и количество приборов, которое обслуживается данным участком. При этом учитывают вероятность совместного действия приборов.

Рассмотрим пример. Конечный участок водопровода в квартире обслуживает один прибор – смеситель для кухонной мойки. Тогда расчетный расход данного участка будет 0,2 л/с. Следующий против движения воды участок обслуживает два прибора: смеситель для мойки и смеситель для умывальника. Однако расчетный расход данного участка не является простой суммой 0,2 + 0,2 = 0,4 л/с. Дело в том, что одновременно эти приборы включают нечасто. Поэтому рассчитанный по специальным формулам СНиП 2.04.01-85 [15] расчетный расход получается около 0,22–0,23 л/с. Так учитывают вероятность совместного действия приборов.

После определения расчетного расхода на каждом участке расчетной линии сети подбирают внутренний диаметр труб так, чтобы средняя скорость в трубе была оптимальной

33

V0 = 0,9–1,2 м/с.

Эту скорость называют экономически целесообразной.

Скорость движения воды в трубах внутреннего В1 и Т3 не должна превышать 1,5 м/с.

Следующим шагом гидравлического расчета является определение линейных потерь напора на каждом расчетном участке, которые рассчитывают либо по формулам, либо с помощью таблиц.

Местные потери напора СНиП разрешает определять как долю линейных потерь напора.

Согласно п. 7.7 СНиП 2.04.01-85 [15] общая потеря напора на каждом участке трубопровода холодного водоснабжнения может быть определена по формуле

H = i l (1 + kl),

где i – гидравлический уклон (безразмерный), может быть найден, например, по таблицам Ф.А. Шевелева [25]; l – длина участка трубопровода; kl – коэффициент, учитывающий долю местных потерь напора. Например, для хозяйственно-питьевого водопровода В1 СНиП [15] рекомендует принимать kl = 0,3.

Таким образом, рассчитав на каждом расчетном участке потерю напора, находят суммарные потери напора в сети внутреннего водопровода.

Приведенные расчеты удобнее всего выполнять в таблице. Кроме того, вместо ручного счета лучше применять электронные таблицы типа SuperCalc, Lotus 1–2–3 или Microsoft Excel. На наш взгляд, наи-

более удобны для автоматизации расчетов таблицы Excel версий 97/2000/XP/2003 и др. Нами разработаны файлы-шаблоны таблиц гидравлического расчета водопровода, которые можно получить через Интернет.

В наружных сетях водопровода имеется гарантированный напор Hg. Его величина должна быть не менее 10 м и не более 60 м, считая от верха водопроводной трубы [16]. Обычно в городах гарантированный напор в пределах 20–30 м водяного столба; гарантирует его Водоканал – предприятие (организация) по эксплуатации водопроводноканализационного хозяйства города.

Насос для повышения напора в сети требуется, если напор насоса получается положительным по формуле

H p Hтр H g ,

где Hтр – требуемый напор для здания, который можно найти

34

Hтр H geom H B H f H ,

где Hgeom – геометрическая высота от наружного трубопровода до самого высокого прибора в здании; HB – потеря напора на водомерах; Hf – свободный напор перед прибором (2–3 м водяного столба); H – суммарные потери напора в сети внутреннего водопровода, взя-

тые из предыдущего расчета (в табличной форме).

ВНУТРЕННЯЯ КАНАЛИЗАЦИЯ

Внутренняя канализация зданий – система трубопроводов и устройств, отводящих сточные воды из зданий, включая наружные выпуски.

В ее составе:

1)санитарно-технические приборы и приемники сточных вод;

2)раструбные трубопроводы;

3)соединительные фасонные детали;

4)устройства для прочистки сети.

Выше описаны условные обозначения внутренней канализации.

Классификация внутренней канализации

Классификация внутренней канализации изображена на рис. 10.

Внутренняя

канализация

К

 

 

 

 

 

 

 

 

 

 

 

 

К1

 

 

 

К2

 

 

 

К3

 

 

 

 

 

 

 

 

 

 

 

 

Рис. 10. Классификация внутренней канализации

Внутреннюю канализацию на схемах и чертежах в отечественной документации обозначают буквой русского алфавита К.

35