Материал: 759

Внимание! Если размещение файла нарушает Ваши авторские права, то обязательно сообщите нам

10

10. Ликвидация предприятия

 

9.2. Новый

 

 

рост

 

 

 

9.1. Банкротство

8.2. Стратегически

8.1.Спад

обоснованная смена рынка (бизнеса)

3.Стадия

зрелости

 

 

 

 

 

 

 

 

 

 

 

 

ГАТПn1

 

 

ГАТП1

 

ГАТП2

 

ГАТПn

 

 

 

 

 

 

 

 

 

 

 

 

 

 

 

 

 

 

 

 

 

ГАТПn2

2.Рост

4.Спад

 

 

 

 

 

 

 

 

 

 

 

 

 

 

 

 

 

 

 

 

 

 

 

 

7.Создание на базе старого предприятия

 

 

 

 

 

 

 

 

 

 

 

 

нового (новых) ГАТП

 

 

 

 

 

 

 

 

 

 

 

 

 

 

 

1. Создание

5.Банкротство

6.Ликвидация предприятия

предприятия

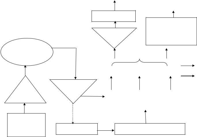
Рис. 2. Жизненный цикл ГАТП [42]

10

Умение менеджеров прогнозировать и предотвращать возможные кризисы становится значимым фактором в успехе экономической, маркетинговой и вообще управленческой деятельности. Поэтому необходимо уделять большое внимание специальной подготовке по антикризисному управлению менеджеров. Исчезновение значительной части новых и получивших юридический статус предприятий фиксируется статистикой многих стран. Английские исследователи отмечают, что до конца второго года доживает не более 20 - 30 % возникших фирм.

Второй переходный период — становление или стадия роста. Он характеризуется появлением нового АТП как самостоятельного в экономической среде, имеющего рыночные позиции, юридическое оформление. В это время возможности кризиса начинают проявляться и прогрессировать в виде проблемы организационного и человеческого потенциала. Как показывает практика, количество неудач у этих АТП колеблется от 40 до 80 %. Это связано с тем, что руководить автотранспортным предприятием в момент зарождения и во время его роста не одно и то же.

Особенность роста заключается в том, что АТП агрессивны в своих действиях и не обращают внимания на внешнюю среду. Им необходимо «захватить» определенную нишу рынка и доказать свою состоятельность, ими трудно управлять с точки зрения предотвращения кризисов. Агрессивность может компенсироваться предпринимательской культурой всего общества.

Стадия роста, переходящая в стадию зрелости (3-й этап), – пик прибыли производства. Этап характеризуется закреплением позиций на рынке, появлением определенных конкурентных преимуществ, их реализацией, самоутверждением. ГАТП в этот период является крупным и оказывает значительное влияние на рыночную ситуацию. Опасность кризиса заключается в обостренной конкурентной борьбе, организационной сложности, характерной для крупных предприятий, социаль- но-психологических моментах, инновационной успокоенности менеджеров. Вообще банкротство крупных предприятий может привести к ухудшению экономического положения в регионе, поэтому в большинстве стран законодательство о банкротстве ориентировано на этот тип предприятий.

Руководители, как правило, не обращают внимания на снижение роста прибыли, пропускают этот момент. Постоянные успехи расслабляют, а стадия зрелости производства дала бы возможность использовать максимальное количество инвестиций для новых видов деятельности, модернизации существующих, нового подъема. Поэтому наступает период спада, когда ГАТП сокращает свою работу по всем направлениям, теряет конкурентоспособность. Вступление в этап свертывания хозяйственной

11

деятельности говорит о том, что необходимо кардинально менять производство, заняться его реструктуризацией, так как существующее уже не удовлетворяет рынок в силу насыщения последнего или устаревания технологии. Реорганизация же может послужить причиной стабилизации положения и дать шанс для нового подъема предприятия.

Если не принять никаких мер в этот момент, неизбежно банкротство (5-й этап), которое потребует санации или ликвидации. Санация, конечно, также может улучшить положение предприятия, но необходимость ее проведения говорит о том, что руководство, не обладая дальновидностью и грамотностью управления, допустило возникновение критической ситуации.

После изменений, произошедших в стране в 1990-х гг. (подробнее об этом в следующих лекциях), автотранспортные предприятия оказались в стадии свертывания деятельности. Основные признаки данного этапа жизненного цикла: снижение объемов перевозок, старение основных производственных фондов и подвижного состава, сокращение численности персонала, установление тарифов ниже точки безубыточности, сокращение подразделений предприятия, отрицательные финансовые результаты, сокращение имущественной базы, разукрупнение, отсутствие инвестиций. На общем фоне снижения качества услуги предприятия в силу каких-либо причин не пользуются спросом, предприятие становится неконкурентоспособным и не может влиять на ситуацию на рынке.

Дальнейшие действия руководства не привели к улучшению, а лишь замедлили наступление банкротства. В конечном счете предприятия пришлось ликвидировать, а на их базе созданы новые предприятия (7-й этап), деятельность которых не отличалась от предыдущих. Кардинального изменения в их делах не произошло, несмотря на то, что, столкнувшись с вышеперечисленными проблемами и объявив себя банкротами, автотранспортные предприятия списали долги, а основные производственные фонды продали за бесценок новым предприятиям, по сути самим себе. Нередко руководство «новых» предприятий оставалось «старым». Сменив название и начав заново производственную деятельность по уже известному сценарию, предприятия сталкиваются с теми же проблемами, если не используют стратегическое рыночное управление в своей деятельности и не учитывают требований рынка. Вновь нависает угроза банкротства и ликвидации предприятий, так как они продолжают тратить свои активы (этап 9.1).

Напротив, автотранспортные предприятия, которые изменили направление деятельности, смогли найти финансирование для обновления парка подвижного состава, выйти на новые рынки сбыта, находятся в стадии нового подъема (этап 9.2). Они постоянно ведут поиск новых клиентов, видов деятельности, ориентируясь на внешнее окружение.

12

Современная ситуация требует от предприятия ориентации на внешние условия, что достигается при стратегическом управлении. Большое внимание должно уделяться прогнозированию развития рынка автотранспортных услуг. В целом поведение грузовых автотранспортных предприятий должно носить предпринимательский характер, который получает все большее распространение во всем мире.

В о п р о с 4. Сущность антикризисного управления на различных уровнях экономики

Кризисам подвержены все уровни экономики. Микроуровень − отдельное предприятие в сфере материального производства или в непроизводственной сфере. Мезоуровень − межотраслевые связи предприятий различных сфер деятельности. Макроуровень − народное хозяйство в качестве единого структурного организма. Мировой уровень − мировое хозяйство, включающее национальные хозяйства стран мира, интегрированные в мировой рынок.

Антикризисное управление на любом уровне экономики предполагает использование финансового анализа, стратегического и тактического планирования, инвестирования, менеджмента, объединенных в единую систему с использованием диагностики, предупреждения и преодоления кризиса. В широком смысле антикризисное управление − это системное управление объектом хозяйствования на том или ином уровне экономики для противодействия кризису.

Методы антикризисного управления отличаются в условиях больной и здоровой экономики. В стабильных условиях происходит естественный отбор эффективных предприятий, концентрация производства на крупных предприятиях, оздоровление кризисных предприятий (санация), перестройка производства на микро- и мезоуровнях экономики, а затем и на макроурвне, ликвидация безнадежных предприятий. В стране, пораженной кризисом, использование стандартов антикризисного управления здоровой экономики неприемлемо, так как обанкротится ½ предприятий, часть будет ликвидирована, в результате остановятся и здоровые предприятия по причине сбоя межотраслевых производственных поставок.

Предприятие будет финансово благополучным, если:

1)его доходы превышают затраты на производство и сбыт на сумму обязательных платежей (налогов, социальных отчислений, платы за кредит) и инвестиций для развития и поддержания конкурентоспособности;

2)его доходы поступают в срок, позволяющий своевременно рассчитываться по финансовым обязательствам.

13

При анализе и оценке экономического положения предприятия, а также при разработке антикризисных действий нужно учитывать оборот его капитала, который выступает в четырех формах:

1)реальный овеществленный капитал, включающий товарноматериальные ценности в виде зданий, сооружений, машин и интеллектуальные ценности − открытия, изобретения, научно-технические разработки, а также все виды природных ресурсов и землю;

2)реальный человеческий капитал − рабочая сила с ее характеристиками (здоровье, способность к интеллектуальному труду, дисциплинированность);

3)денежный капитал − денежные средства;

4)фиктивный капитал − ценные бумаги: акции, облигации.

В о п р о с 5. Антикризисное управление на микроуровне экономики

При нахождении решений, способных вывести предприятие из кризиса, следует установить картину состояния его внешней среды. Для этого определяют важнейшие факторы внешней среды и степень влияния каждого из них (рис. 3). К факторам макросреды относятся: международные, политические, экономические, социально-демографические, правовые, экологические, природно-климатические и др. Наряду с факторами макросреды, автотранспортному предприятию необходимо проанализировать факторы микросреды. К важнейшим из них относятся: поставщики, потребители, конкуренты. Факторы ранжируют по степени их влияния на предприятие. В результате появится четкая картина внешней среды, позволяющая перейти к выходу из кризиса.

Чтобы осуществить выход из кризиса, нужно изучать конъюнктуру рынка − соотношение между спросом и предложением, как по отдельным услугам, так и по денежной массе в целом. Использование различных взаимодополняющих источников предполагает сбор общей, коммерческой и специальной информации. Общая − данные, характеризующие рыночную ситуацию в целом. Коммерческая − деловая документация по вопросам объема перевозок и других произведенных услуг, данные, получаемые от партнеров в порядке информационного обмена. Специальная − полученная при проведении целенаправленных мероприятий по изучению рынка. Главная задача − выбрать показатели, дающие количественные и качественные характеристики развития спроса и предложения.

14