Материал: 5

Внимание! Если размещение файла нарушает Ваши авторские права, то обязательно сообщите нам

21

После изменения продолжительности работ производим повторный расчѐт, из которого видно (см. таблицу 4), что длина критического пути равна нормативной. При необходимости можно менять продолжительность работ как на критических, так и подкритических путях, тогда положение критического пути может измениться.

2.7. Оптимизация сетевых графиков по равномерному потреблению трудовых ресурсов

Оптимизация сетевых графиков по равномерному потреблению трудовых ресурсов производится для решения вопросов равномерного использования рабочих в целом или по специальностям (монтажники, сантехники, электрики и др.).

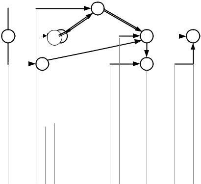
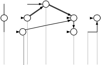
Оптимизация по трудовым ресурсам в целом выполняется в следующей последовательности. Сетевой график строится в масштабе времени (рисунок 20), а над работами кроме продолжительности их выполнения указывают количество рабочих. Под сетевым графиком строится график потребности рабочих. Если график имеет значительные колебания, то с точки зрения использования рабочих он составлен неудовлетворительно и должен быть скорректирован. Количество рабочих, выполняющих критические работы, не меняется, а корректируют число рабочих на некритических работах за счѐт сокращения частных резервов времени. Затем строится новый график потребности рабочих (рисунок 21).

 

3-24

 

 

 

 

 

r =6

3

 

 

 

 

 

 

 

 

 

 

 

 

 

 

 

4-20

 

6-26

 

 

 

 

 

 

 

 

 

 

 

 

 

 

 

 

 

 

 

 

 

 

 

 

 

 

 

 

 

 

 

 

 

 

 

 

 

 

 

 

1

5-16

 

 

2 2

 

7-14

 

 

r =3

5

 

5-20

7

 

 

 

 

 

 

 

 

 

 

 

 

 

 

 

 

 

 

 

 

r =6

 

 

 

 

 

 

 

 

 

 

 

 

 

 

 

 

 

 

 

 

 

 

 

 

 

 

 

 

4-10

 

5-6

7-6

 

 

r =4

 

 

 

3-20 r =2

 

 

 

 

 

 

 

 

 

 

 

 

 

4

 

 

 

 

 

 

 

6

 

 

 

 

 

 

 

 

 

 

 

 

 

 

 

 

 

 

 

 

 

 

 

 

50

 

 

 

 

 

 

 

 

 

 

 

 

 

 

 

 

 

 

 

 

 

 

 

 

 

 

 

 

 

 

 

 

 

 

 

 

 

 

 

 

 

 

 

 

 

 

 

46

 

 

40

 

 

 

40

 

 

 

 

 

 

 

 

 

 

 

 

 

 

 

 

 

 

 

 

 

 

 

 

 

 

 

 

 

 

 

 

 

 

 

 

 

 

 

 

 

 

 

 

 

 

 

 

 

 

 

 

 

 

 

 

 

 

 

 

 

 

 

 

 

 

 

26

28

 

 

 

 

 

 

26

 

 

 

 

 

 

 

 

 

 

 

 

 

 

 

 

 

 

 

 

 

 

 

 

 

 

 

 

 

 

 

 

 

 

 

 

 

 

 

 

 

 

20

 

 

 

 

 

 

 

 

 

 

 

 

 

 

 

 

 

 

 

 

 

 

 

 

 

 

 

 

 

 

 

 

 

 

 

 

 

 

 

 

 

 

 

 

 

 

 

 

 

 

 

 

 

 

 

 

 

 

 

 

 

 

 

 

 

 

 

 

 

 

 

 

 

 

 

 

 

 

 

 

 

 

 

 

 

 

 

 

 

 

Рабочие

1

2

3

4

5

6

7

8

9

10

11

12

13

14

15

16

17

18

19

20

дни

 

 

 

 

 

 

 

 

 

 

 

 

 

 

 

 

 

 

 

 

 

 

 

 

 

 

 

 

 

 

 

 

 

 

 

 

 

 

 

 

 

Рисунок 20 - Сетевой график и график потребности рабочих до оптимизации

 

 

 

 

 

 

 

 

 

 

 

 

22

 

 

 

 

 

 

 

 

 

5-14

 

 

 

 

 

r =4

3

 

 

 

 

 

 

 

 

 

 

 

 

 

 

 

 

 

 

4-20

 

6-26

 

 

 

 

 

 

 

 

 

 

 

 

 

 

 

 

 

 

 

 

 

 

 

 

 

 

 

 

 

 

 

 

 

 

 

 

 

 

 

 

 

 

 

 

 

1

5-16

2

 

 

7-14

 

 

5

 

5-20

7

 

 

 

 

 

 

 

 

 

 

 

 

 

 

 

 

 

 

 

r =6

 

 

 

 

 

 

 

 

 

 

 

 

 

 

 

 

 

 

 

 

 

 

 

 

 

 

 

4-10

 

 

 

 

 

5-6

 

 

 

 

 

 

 

3-20 r =2

 

 

 

 

 

 

 

 

 

 

 

 

 

 

 

 

 

 

 

4

 

 

 

 

11-4

 

 

6

 

 

 

 

 

 

 

 

 

 

 

 

 

 

 

 

 

 

 

 

 

 

 

 

 

 

 

 

 

 

40

 

 

 

 

 

 

 

 

 

 

 

 

 

 

 

 

 

 

 

 

 

 

 

 

 

 

 

 

 

 

 

 

 

 

 

 

 

 

 

 

 

 

20

 

 

 

 

 

 

 

 

 

 

 

 

 

 

 

 

 

 

 

 

 

 

 

 

 

 

 

 

 

 

 

 

 

 

 

 

 

 

 

 

 

 

 

 

 

 

 

 

 

 

 

 

 

 

 

 

 

 

 

 

 

 

 

Рабочие

1

2

3

4

5

6

7

8

9

10

11

12

13

14

15

16

17

18

19

20

дни

 

 

 

 

 

 

 

 

 

 

 

 

 

 

 

 

 

 

 

 

Рисунок 21 - Сетевой график и график потребности рабочих после оптимизации

2.8. Оптимизация сетевых графиков по потреблению материалов

Потребность в материальных ресурсах, предусмотренных сетевым графиком, не всегда может быть обеспечена поставщиками. Это, в свою очередь, приведѐт к срыву сроков выполнения работ. Такое положение может возникнуть по одному или нескольким видам материалов.

Распределение нескольких видов материальных ресурсов, необходимых для выполнения работ сетевого графика, при существующих ограничениях является сложной задачей, требует громоздких вычислений и сравнения большого числа вариантов. Поэтому такая задача решается приближѐнно.

Для оптимизации сетевого графика по потреблению материалов строится линейный график потребности в материалах и конструкциях (рисунок 22), на котором расход материалов указывается в виде стрелок. Каждая стрелка представляет собой работу с частным резервом времени, привязанную к календарному сроку, потребляющую тот или иной материал, указанный в левой части графика.

Длина стрелки и еѐ положение указывает на время расхода соответствующего материала. Работа кодируется двумя событиями, номера которых проставляются над стрелкой, где указывается также продолжительность потребления материала в днях и частный резерв времени. Под стрелкой проставляется потребность материала для выполнения данной работы. Работы, лежащие на критическом пути показываются на графике двумя линиями, а частные резервы времени – пунктиром. В случае несоответствия между потребностью в определѐнных материалах и возможностями поставщиков, влекущего нарушение хода выполнения работ, сетевой график корректируется за счѐт частных резервов времени

23

работ, не лежащих на критическом пути, аналогично оптимизации по потреблению трудовых ресурсов.

Наименова

Ед.

Кол-

 

 

 

 

 

 

 

 

 

Год, число, месяц

 

 

 

 

 

 

 

 

ние

 

 

 

 

 

 

 

 

 

 

Рабочие дни

 

 

 

 

 

 

 

 

 

изм.

во

 

 

 

 

 

 

 

 

 

 

 

 

 

 

 

 

 

 

 

материала

1

 

 

 

5

 

 

 

 

10

 

 

 

 

 

15

 

 

 

 

20

 

 

 

 

 

 

 

 

 

 

 

 

 

 

 

 

 

 

 

 

 

 

 

 

 

 

 

 

1. Бетон

м3

70

 

 

5

 

 

 

 

 

 

 

 

 

 

 

8

 

 

 

 

 

 

 

 

 

 

 

 

 

 

 

 

8

 

 

 

 

r = 4

 

 

 

 

 

 

 

 

 

 

 

 

 

 

 

 

 

 

 

 

 

 

 

 

 

 

 

 

 

 

 

 

 

 

 

 

 

 

 

 

 

 

 

 

 

 

40

 

 

 

 

 

 

 

 

 

 

 

 

 

 

 

 

 

 

 

 

 

 

 

 

 

 

 

 

 

 

7

 

 

 

10

 

 

 

 

10

 

 

 

 

 

 

 

 

 

 

 

 

 

 

 

 

 

 

 

 

 

 

 

 

 

 

 

 

 

 

 

 

 

 

 

 

 

 

 

 

 

 

 

 

 

 

 

 

 

 

30

 

 

 

 

 

 

 

 

 

 

 

 

 

 

 

 

 

 

 

 

 

 

 

 

 

 

 

 

 

 

 

 

 

 

 

 

 

 

 

2. Кирпич

тыс.

40

 

 

 

 

 

 

 

 

 

 

 

 

 

 

 

 

 

 

 

 

 

 

 

 

 

 

 

шт.

 

 

 

 

 

 

 

 

 

 

 

 

 

 

 

 

 

 

 

 

 

 

 

 

 

 

 

 

 

 

 

 

 

 

 

 

6

 

 

 

 

8

 

 

 

 

 

r = 6

 

11

 

 

 

 

 

 

 

 

 

 

 

 

 

 

 

 

 

 

 

 

 

 

 

 

 

 

 

 

 

 

 

 

 

 

 

 

 

 

 

 

 

 

 

 

 

40

 

 

 

 

 

 

 

 

 

 

 

 

 

 

 

 

 

 

 

 

 

 

 

 

 

 

 

 

 

 

 

 

 

 

 

 

 

 

 

 

 

 

 

Рисунок 22 - Линейный график потребности в материалах и конструкциях

24

ЛИТЕРАТУРА

1.Указания по разработке сетевых графиков и применению их в строительстве. СН 391-68. – М., 1969. – 51 с.

2.Бороздин, И.Г. Сетевое планирование и управление в строительстве: учеб. пособие для строит. вузов и факультетов / И.Г. Бороздин. – Изд. 2-е, перераб. и доп. – М.: Стройиздат, 1972. – 288 с.

3.Рунов, В.К. Организация и планирование строительства: учеб. пособие для слушателей факультета организаторов промышленного производства / В.К. Рунов, В.Н. Фомин. – Горький, 1978. – 94 с.

4.Фомин, В.Н. Моделирование организации строительного производства: учеб. пособие / В.Н. Фомин, Э.И. Гусев, Д.В. Хавин. –

Н.Новгород, 2000. – 144 с.

5.Фомин, В.Н. Организация строительного производства: учеб. пособие

/В.Н. Фомин, Д.В. Хавин. – Н.Новгород: ННГАСУ, 2006. – 115 с. – Ч. I.

25

ПРИЛОЖЕНИЕ А

Исходные данные для заданий № 1 и № 2

 

 

 

 

 

 

Продолжительность выполнения работ по вариантам в днях

 

 

 

 

 

Наименование работ

1

2

3

4

5

6

7

8

9

10

11

12

13

14

15

16

17

18

19

20

21

22

23

24

25

26

27

1

Подготовительный период

20

22

18

24

26

20

22

24

8

6

7

10

8

5

6

18

16

17

20

18

15

16

18

24

26

20

22

 

 

 

 

 

 

 

 

 

 

 

 

 

 

 

 

 

 

 

 

 

 

 

 

 

 

 

 

 

2

Земляные работы

8

10

10

6

8

10

6

8

7

6

8

7

9

8

10

17

16

18

17

19

18

20

10

6

8

10

6

 

 

 

 

 

 

 

 

 

 

 

 

 

 

 

 

 

 

 

 

 

 

 

 

 

 

 

 

 

3

Монтаж фундаментов

30

32

34

28

26

30

32

26

14

16

17

15

14

16

15

24

26

27

25

24

26

25

24

18

16

20

22

 

 

 

 

 

 

 

 

 

 

 

 

 

 

 

 

 

 

 

 

 

 

 

 

 

 

 

 

 

4

Монтаж колонн и подкрановых балок

66

60

64

62

60

64

66

60

9

10

7

8

10

11

10

19

20

17

18

20

21

20

54

52

50

54

56

 

 

 

 

 

 

 

 

 

 

 

 

 

 

 

 

 

 

 

 

 

 

 

 

 

 

 

 

 

5

Монтаж конструкций покрытия

60

58

60

58

58

60

62

58

25

20

23

25

30

25

24

35

30

33

35

40

35

34

50

48

48

50

52

 

 

 

 

 

 

 

 

 

 

 

 

 

 

 

 

 

 

 

 

 

 

 

 

 

 

 

 

 

6

Монтаж стеновых панелей и оконных

56

50

54

52

50

54

56

50

30

25

28

23

20

20

25

40

35

38

33

30

30

35

44

42

40

44

46

переплѐтов

 

 

 

 

 

 

 

 

 

 

 

 

 

 

 

 

 

 

 

 

 

 

 

 

 

 

 

 

 

 

 

 

 

 

 

 

 

 

 

 

 

 

 

 

 

 

 

 

 

 

 

 

 

 

 

 

7

Устройство кровли

28

26

26

26

26

28

28

26

20

25

30

25

30

20

35

30

35

40

35

40

30

45

16

16

16

18

18

 

 

 

 

 

 

 

 

 

 

 

 

 

 

 

 

 

 

 

 

 

 

 

 

 

 

 

 

 

8

Заполнение оконных, дверных и

20

16

18

16

16

18

18

16

15

20

25

30

20

25

30

25

30

35

40

30

35

40

8

6

6

8

8

воротных проѐмов

 

 

 

 

 

 

 

 

 

 

 

 

 

 

 

 

 

 

 

 

 

 

 

 

 

 

 

 

 

 

 

 

 

 

 

 

 

 

 

 

 

 

 

 

 

 

 

 

 

 

 

 

 

 

 

 

9

Устройство подготовки под полы

32

30

32

30

30

32

34

30

35

40

30

20

25

30

35

45

50

40

30

35

40

45

22

20

20

22

24

 

 

 

 

 

 

 

 

 

 

 

 

 

 

 

 

 

 

 

 

 

 

 

 

 

 

 

 

10 Устройство полов

34

32

34

32

32

34

36

32

40

45

50

35

40

50

45

50

55

60

45

50

60

55

24

22

22

24

26

 

 

 

 

 

 

 

 

 

 

 

 

 

 

 

 

 

 

 

 

 

 

 

 

 

 

 

 

11 Штукатурные работы

24

22

24

22

20

24

24

20

30

35

40

25

30

35

40

40

45

50

35

40

45

50

14

12

10

14

14

 

 

 

 

 

 

 

 

 

 

 

 

 

 

 

 

 

 

 

 

 

 

 

 

 

 

 

 

12 Малярные работы

20

18

20

18

20

18

20

18

50

55

40

45

40

50

55

60

65

50

55

50

60

65

10

8

10

8

10

 

 

 

 

 

 

 

 

 

 

 

 

 

 

 

 

 

 

 

 

 

 

 

 

 

 

 

 

 

Примечание - Число пролѐтов назначается преподавателем