16
Номер последующего события, через которое проходит путь наибольшей продолжительности от данного события до завершающего
Величинанаиболее продолжительного пути от исходного события до данного (раннее начало работы) ТБ р н
Потенциал данногособытия
t i n
Номер предшествующего события, через которое к данному проходит наиболее продолжительный путь от начального события
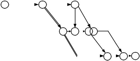
Рисунок 14 - Содержание записей над событием при расчѐте с определением потенциалов событий по СН 391-68
Заполнение левого и нижнего секторов производится аналогично расчѐту на графике – определяются ранние начала всех работ и продолжительность критического пути.
На следующем этапе обратным ходом от завершающего события к исходному рассчитываются потенциалы событий и заполняются правый и верхний сектора.
Резервы времени определяются по формулам: |
|
|||||||||
i |
j = t |
кр |
- ( |
t |
Пj + |
i |
|
j + |
iРНj ), |
(11) |
R |
|
|
|
t |
|
Т |
|
|||
ri j =ТРНj k |
-ТiРОj =Т РНj k |
- (ТiРНj +ti j ). |
(12) |
|||||||
Резервы времени записываются также как и при расчѐте на графике – над работой.
Пример расчѐта на графике с определением потенциалов событий приведѐн на рисунке 15.
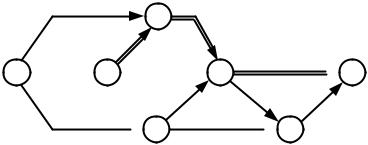
2.4.2. Метод, применяемый в строительной практике При расчѐте методом потенциалов, применяемым в строительной
практике, график вычерчивают с увеличенными размерами событий, каждое из которых делится на четыре сектора (см. рисунок 16).
17
|
2 |
|
4 |
|
5,6 |
|
|
|
|
|
|
|
|
|
0 |
24 |
7 |
17 |
13 |
10 |
|
|
|
|
|
|
|
|
|
|
- |
|
1 |
|
2 |
|
|
|
|
|
|
|
|
|
|
7 0 0 |
|
6 |
1 0 |
|
3 |
1 0 |
|
|
|
|
|
|
|
|
1 |
|
2 |
|
3 |
|
|
|
|
|
|
|
|
|
|
|
|
|
7 |
|
6 |
|
8 |
|
|
|
9 |
|
|
|
|
|
|
11 13 |
13 |
10 |
16 |
7 |
|
|
16 |
7 |
|
|
|
|
|
|
2 |
|
3 |
|
5 |
|
|
|
3,6 |
|
|
|
|
|
|
0 |
3 2 |
|
3 |
1 0 |
0 |
1 0 |
|
|
|
|
|
|
|
|
4 |
|
5 |
|
6 |
|
|
|
8 |
|
|
|
|
|
|
|
|
|
|
|
9 |
|
|
|
10 |
- |
|
|
|
|
|
|
|
|
|
19 5 |
|
|
22 2 |
24 0 |
|
|
|
|
|
|
|
|
|
|
4 |
|
|
|
7 |
9 |
|
|
|
|
|
|
8 |
0 0 |
3 |
0 |
0 |
|
2 0 0 |
||
|
|
|
|
|
|
|
|
|
7 |
|
|
|
9 |
10 |
Рисунок 15 - Расчет с определением потенциалов событий по СП 391-68
|
|
Номер |
||
|
|
события |
||
|
|
i |
||
|
Раннее |
Позднее |
||
|
начало |
окончание |
||
|
работы Б |
работы А |
|
|
Работа А |
Работа Б |
|||
Т Брн |
|
|||
|
Т поА |
|||
|
|
Потенциал |
||
|
|
данного |
||
|
|
события |
||
|
|
t in |
||
Рисунок 16 - Содержание секторов событий при расчѐте методом потенциалов, применяемым в строительной практике
На первом этапе (см. рисунок 17) заполняют верхний и левый сектора событий согласно правилам изложенным в графическом методе расчѐта.
Затем заполняют правый и нижний сектора работ, определяя потенциалы событий по формуле (10). Резервы времени определяют по формулам (7) и (9) аналогично расчету на графике.
18
1 |
7 |
0 |
0 |
2 |
6 |
1 |
0 |
|
|
3 |
3 |
1 |
0 |
|
|
|
|
|
|
|
|
|
|
|
|
0 |
0 |
|
|
7 |
7 |
|
|
|
13 |
14 |
|
|
|
|
|
|
|
|
|
|
|
|
|
|
|
24 |
|
|
|
17 |
|
|
|
|
10 |
|
|
|
|
|
|
|
|
|
|
|
|
|
|
|
|
|
|
|
|
|
4 |
|
|
|
|
0 |
|
|
|
|
|
|
|
|
|
|
|
|
|
|
|
|
|
|
|
|
0 |
|
|
|
|
1 |
|
|
|
|
|
|
|
|
|
|
|
|
|
|
|
|
|
|
|
|
0 |
|
|
|
|
0 |
|
|
|
|
|
|
|
|
|
|
|
|
|
|
|
|
|
|
|
|
4 |
|
0 |
3 |
2 |
|
5 |
3 |
1 |
0 |
6 |
0 |
1 |
0 |
|
8 |
|
|
|
|
|
|
|
|
|
|
11 |
11 |
|
|
|
13 |
14 |
|
16 |
17 |
|
|
16 |
17 |
|
|
|
|
|
||
|
|
|
|
|
13 |
|
|
|
10 |
|
|
|
7 |
|
|
|
|
7 |
|
|
|
|
|
||
|
|
|
|
|
|
|
|
|
|
|
|
|
|
|
|
|
|
|
|
5 |
|
|
|
|
|
|
|
|
|
|
|
|
|
|
|
|
|
|
|
|
|
0 |
|
|
|
|
|
|
|
|
|
|
|
|
|
|
|
|
|
|
|
|
|
|
|
|
|
|
|
|
|
1 |
|
|
|
|
|
|
|
|
|
|
|
|
|
|
|
|
|
|
|
|
|
3 |
|
|
|
|
|
|
|
|
|
|
|
|
|
|
|
|
|
|
|
|
|
|
|
|
|
|
|
|
|
1 |
|
|
|
|
|
|
|
|
|
|
|
|
|
|
|
|
|
|
|
|
|
3 |
|
|
|
|
|
|
|
|
|
|
|
|
|
|
|
|
|
|
|
8 |
0 |
0 |
|
|
|
7 |
3 |
0 |
0 |
9 |
2 |
0 |
0 |
10 |
|
|
|
|
|
|
|
|
|
|
|
|
|
|
|
|
19 |
19 |
|
|
|
22 |
22 |
|
|
24 |
24 |
|
|
|
|
|
|
|
|
|
|
|
|
|
|
|
|
5 |
|
|
|
2 |
|
|
|
|
0 |
Рисунок 17 – Расчет методом потенциалов, применяемым в строительной практике
2.5. Построение сетевого графика в масштабе времени
Обычно для расчѐта параметров строится немасштабный сетевой график, который после расчѐта может быть привязан к календарным датам путѐм проставления их у каждого события графика.
График, построенный в масштабе времени, более удобен для контроля за ходом выполнения работ. Построение сетевого графика в масштабе времени производят по ранним началам или поздним окончаниям работ. Построение масштабного сетевого графика (см. рисунок 18) выполняется в следующей последовательности:
Снизу или сверху будущего графика вычерчивается календарная линейка, на которой указываются порядковые рабочие дни с привязкой их к календарным датам соответствующего месяца и года; все работы изображаются в масштабе времени, при этом начальное событие должно располагаться в соответствии со значением раннего начала работы, а величина проекции работы на ось времени принимается равной сумме еѐ продолжительности и частного резерва времени.
Сначала изображаются работы, лежащие на критическом пути, продолжительность которых определяет срок строительства.
Затем по порядку наносят остальные работы с частными резервами времени. Продолжительность работ изображают сплошной, а частный резерв времени работы – пунктирной линией. Например, работа 8-9 (рисунок 18) продолжительностью 5 дней и частным резервом времени, равным одному дню, наносится от центра события 8 до центра события 9. Продолжительность работы 8-9, равная 5 дням, изображается сплошной линией, а частный резерв (1 день) – пунктирной. Продолжительность работ и частных резервов времени указывают цифрами над работами, а под работами – их наименования.
19
1 |
|
|
7 |
|
|
|
|
|
2 |
|
|
6 |
|
|
|
|
|
3 |
|
|
|
|
|
|
|
|
|
|
|
|
|
|
|
|
|
|
|
|
|
|
|
|||
|
|
|
|
|
|
|
|
4 |
|
|
|
|
|
|
|
|
|
|
|
3 |
|
|
|
|
|
|
|
|
|
|
|
|
|
|
|
|
|
|||||||
|
|
|
|
|
|
|
|
|
|
|
|
|
|
|
|
|
|
|
|
|
|
|
|
|
|
|
|
|
|
|
|
|
|
|
|
|
|
|
|
|
|
|||
|
|
|
|
|
|
|
|
|
|
|
|
|
|
|
|
|
r =2 |
|
|
|
|
3 |
|
|
|
|
|
|
|
|
|
|
|
|
|
|
|
|
|
|
|
|||
|
|
|
|
|
|
|
|
|
|
|
|
|
|
|
4 |
|
|
|
5 |
|
|
|
|
|
6 |
8 |
r =3 |
|
|
5 |
|
|
|
|
|
|
|
|
||||||
|
|
|
|
|
|
|
|
|
|
|
|
|
|
|
|
|
|
|
|
|
|
|
|
|
|
|
|
|
|
|
||||||||||||||
|
|
|
|
|
|
|
|
|
|
|
|
|
|
|
|
|
|
|
|
|
|
|
|
|
|
|
|
|
|
|
|
|
|
|
|
|
|
|
||||||
|
|
|
|
|
|
|
|
|
|
|
|
|
|
|
|
|
|
|
|
|
|
|
|
|
|
|
|
|
|
|
|
|
|
|
|
|
|
|
|
|
||||
|
|
|
|
|
|
|
|
|
|
|
|
|
|
|
|
|
|
|
|
|
|
|
|
|
|
|
|
|
|
|
|
|
|
|
|
|
|
r =1 |
|
|
|
|||
|
|
|
|
|
|
|
|
|
|
|
|
|
|
|
|
|
|
|
|
|
|
|
|
|
|
|
8 |
|
|
7 |
3 |
|
|
9 |
|
|
2 |
10 |
||||||
|
|
|
|
|
|
|
|
|
|
|
|
|
|
|
|
|
|
|
|
|
|
|
|
|
|
|
|
|
|
|
|
|
|
|
||||||||||
|
|
|
|
|
|
|
|
|
|
|
|
|
|
|
|
|
|
|
|
|
|
|
|
|
|
|
|
|
|
|
|
|
|
|
|
|
||||||||
|
|
|
|
|
|
|
|
|
|
|
|
|
|
|
|
|
|
|
|
|
|
|
|
|
|
|
|
|
|
|
|
|||||||||||||
Рабочие |
1 |
|
2 |
3 |
4 |
5 |
6 |
7 |
|
8 |
|
9 |
10 |
11 |
12 |
13 |
14 |
15 |
16 |
17 |
18 |
19 |
20 |
21 |
22 |
23 |
24 |
|
||||||||||||||||
дни |
|
|
|
|
|
|
|
|
|
|
|
|
|
|
|
|
|
|
|
|
|
|
|
|
|
|
|
|
|
|
|
|
|
|
|
|
|
|
|
|
|
|
|
|
Календарные |
20 |
21 |
22 |
23 |
24 |
27 |
28 |
29 |
30 |
1 |
|
4 |
5 |
|
6 |
|
7 |
|
8 |
11 |
13 |
14 |
15 |
18 |
19 |
20 |
21 |
22 |
|
|||||||||||||||
дни |
|
|
|
|
|
|
|
|
|
|
|
|
|
|
|
|
|
|
|
|
|
|
|
|
|
|
|
|
|
|
|
|
|
|
|
|
|
|
|
|
|
|
|
|
Месяц |
|
|
|
|
Ноябрь |
|
|
|
|
|
|
|
|
|
|
|
|
|
|
|
|
|
|
Декабрь |
|
|
|
|
|
|
|
|
|
|
|
|
||||||||
Год |
|
|
|
|
|
|
|
|
|
|
|
|
|
|
2000 |
|
|
|
|
|
|
|
|
|
|
|
|
|
|
|
|
|
|
|
|
|
|
|
|
|
|
|
||
|
|
|
|
|
|
|
|
|
|
|
|
|
|
|
|
|
|
|
|
|
|
|
|
|
|
|
|
|
|
|
|
|
|
|
|
|
|
|
|
|
|
|
|
|
Рисунок 18 - Сетевой график, построенный в масштабе времени
По сетевому графику, построенному в масштабе времени, легко построить графики потребности рабочих в смену или день, для чего на сетевом графике рядом с продолжительностью работ указывается цифрами количество рабочих, выполняющих данный процесс. График потребности рабочих строится в произвольном масштабе в виде диаграммы.
2.6. Оптимизация сетевых графиков по времени
Рассчитанный сетевой график не всегда соответствует заданному сроку, поэтому необходимо проводить корректирование графика с учѐтом существующих ограничений. Процесс корректирования сетевых графиков с целью выполнения поставленных ограничений называется оптимизацией.
Существует несколько видов оптимизации: по времени и по равномерному потреблению ресурсов (трудовых, материально-технических, финансовых).
Оптимизация сетевых графиков по времени производится в случаях, если расчѐтный критический путь оказался больше или меньше нормативного. Если расчѐтный критический путь меньше нормативного, возникает дополнительный резерв времени, который при оптимизации может быть использован для увеличения продолжительности отдельных видов работ (критических). Если расчѐтный критический путь больше нормативного, возникает отрицательный резерв времени; в этом случае сетевая модель пересматривается и сокращается время выполнения работ, лежащих на критическом пути. Сокращение продолжительности работ достигается пересмотром карточки-определителя работ и ресурсов. Если продолжительность работы нужно сократить, то увеличивают ресурсы, а если увеличить, необходимо уменьшить ресурсы.
20
При проведении оптимизации по времени рекомендуется уменьшать или увеличивать продолжительность не только критических работ, но и работ, лежащих на подкритических путях.
В результате сокращения или увеличения продолжительности работ
получится новая |
сеть, требующая проверки всех расчѐтных |
параметров |
при сохранении ее топологии. |
|
|
Оптимизацию |
сетевых графиков по времени рассмотрим |
на примере |
(рисунок 19). |
|
|
3 |
|
3 |
8(6) |
|
|
|
|
|
) |
|
|
|
(4 |
|
|
5 |
6 |
7 |
|
|
|
1 
2
5
|
5 |
4 |
7 |
4
Рисунок 19 - Сетевой график
tнорм=20 дн. tкр=24 дн.
5
7
3
6
Продолжительность критического пути определяем расчѐтом ранних параметров работ. Данные записываем в таблицу 4.
Т а б л и ц а 4 – Расчет ранних параметров
|
|
До оптимизации |
|
|
После оптимизации |
|
||||
i-j |
|
|
|
|
|
|
|
|
|
|
ti-j |
РН |
РО |
ri j |
ti-j |
|
РН |
РО |
|
ri j |
|
|
|
Тi j |
Тi j |
|
|
Тi j |
Тi j |
|
||
1-2 |
5 |
0 |
5 |
0 |
5 |
|
0 |
5 |
|
0 |
1-3 |
3 |
0 |
3 |
8 |
3 |
|
0 |
3 |
|
6 |
1-4 |
4 |
0 |
4 |
0 |
4 |
|
0 |
4 |
|
0 |
2-3 |
6 |
5 |
11 |
0 |
4 |
|
5 |
9 |
|
0 |
2-5 |
7 |
5 |
12 |
7 |
7 |
|
5 |
12 |
|
3 |
3-5 |
8 |
11 |
19 |
0 |
6 |
|
9 |
15 |
|
0 |
|
|
|
|
|
|
|
|
|
|
|
4-5 |
5 |
4 |
9 |
10 |
5 |
|
4 |
9 |
|
6 |
4-6 |
7 |
4 |
11 |
8 |
7 |
|
4 |
11 |
|
4 |
5-6 |
0 |
19 |
19 |
0 |
0 |
|
15 |
15 |
|
0 |
5-7 |
5 |
19 |
24 |
0 |
5 |
|
15 |
20 |
|
0 |
6-7 |
3 |
19 |
22 |
2 |
3 |
|
15 |
18 |
|
2 |
|
|
|
|
|
|
|
|
|
|
|
|
Соб.7 |
24 |
tкр= 24 |
∑r=35 |
|
|
|
tкр= 20 |
|
∑r=21 |
|
|
|
|
|
|
|
|
|
|
|
Из расчѐта видно, что продолжительность критического пути (tкр= 24) больше нормативной (tнорм= 20). Уменьшаем продолжительность критических работ за счѐт перераспределения внутренних ресурсов, не меняя топологии сети. Новые продолжительности работ проставлены на графике (рисунок 19) в скобках.