Материал: 5

Внимание! Если размещение файла нарушает Ваши авторские права, то обязательно сообщите нам

6

1.3.3. Если работа «б» может быть начата до полного окончания технологически предшествующей ей работы «а», нужно из общего объѐма работы «а» выделить часть «а1», выполнение которой действительно необходимо для начала работы «б», и изобразить еѐ на графике в виде отдельной работы, предшествующей работе «б».

 

 

а-а1

 

3

 

а1

б

 

Рисунок 5 - Пример выделения части работы

1.3.4. В сетевом графике не допускаются замкнутые контуры работ.

5

6 7

3

6

5 8

4

Рисунок 6 - Примеры замкнутых контуров

Наличие замкнутых контуров свидетельствует об ошибке в построении модели либо в составлении исходных данных.

1.3.5. В сетевом графике не должно быть «тупиков» и «хвостов».

1

3

4

7

 

 

Тупик

5

 

 

 

 

2

 

6

 

Хвост

 

 

Рисунок 7 - Пример сетевой модели с «тупиком» и «хвостом»

1.3.6.Зависимости (фиктивные работы) используются в сетевых моделях для отражения взаимосвязей между работами в следующих случаях (смотри рис. 8).

1.3.6.1.После окончания работ «а» и «б» можно начать работу «в», а начало работы «г» зависит только от окончания работы «б».

1.3.6.2.После окончания работ «а» и «б» можно начать работу «в», а начало работы «г» зависит только от окончания работы «а» и начало работы «д» – от окончания работы «б».

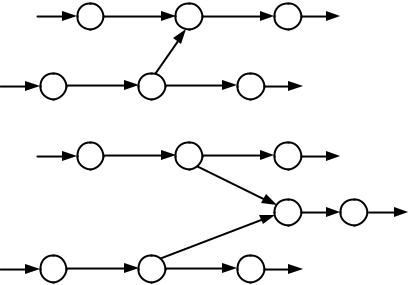
1.3.7.При организации поточного выполнения работ с разбивкой общего фронта на отдельные участки или захватки стремление к построению сети с выделением в первую очередь последовательности

7

однородных работ, выполняемых на разных участках, может привести к возникновению в сетевой модели нереальных зависимостей между работами (смотри рис. 9).

1.3.8.При большом количестве работ может возникнуть необходимость укрупнения графика. При укрупнении группа работ в сетевом графике изображается как одна работа. Продолжительность новой работы равна величине наибольшей продолжительности между начальным и конечным событиями группы работ до укрупнения.

1.3.9.Укрупнение сетевого графика не должно идти в ущерб возможностям контроля за выполнением работ. Укрупнение участков графика, состоящих из работ, выполняемых различными исполнителями, нецелесообразно.

 

5

7

9

 

 

а

 

в

 

4

6

 

8

 

 

б

г

 

 

 

5

7

10

 

 

а

 

г

 

 

 

 

9

11

 

 

 

 

в

4

6

 

8

 

 

б

д

 

 

Рисунок 8 - Примеры использования зависимостей

1.4. Построение сетевой модели

Рассмотрим пример построения сетевой модели для объекта* с исходными данными, приведенными в табл. 1.

Т а б л и ц а 1 – Исходные данные для построения сетевой модели

 

Наименование работ

Условные

Продолжительность работ, дн.

 

 

обозначения

 

 

 

 

 

1 участок

2 участок

3 участок

 

 

 

 

1

2

3

4

5

1.

Разработка грунта

Р. гр.

7

6

3

2.

Устройство фундаментов

Уст. ф.

4

3

5

3.

Монтаж каркаса

М. к.

8

3

2

*Примечание. Объект одноэтажный, трехпролетный, промышленного назначения.

8

На рисунке 9 потоки однородных работ выделены чѐтко, однако критический путь (1-2, 2-3, 3-4, 4-6, 6-7, 7-8), равный 26 дням, является ложным, так как технологически работа 4-6 (монтаж конструкций на первом участке) не зависит от окончания работы 2-3 (разработка грунта на втором участке).

1

7

 

2

6

 

3

3

Р.гр.

Р.гр.

Р.гр.

 

 

 

 

1-й уч.

 

2-й уч.

 

3-й уч.

 

 

 

 

 

 

 

 

4

4

3

5

5

 

 

 

Уст.ф.

Уст.ф.

Уст.ф.

 

 

 

1-й уч.

 

2-й уч.

 

3-й уч.

 

 

 

 

 

8

6

3

7

2

8

 

 

 

 

 

 

 

М.к.

 

М.к.

 

М.к.

 

 

1-й уч.

 

2-й уч.

 

3-й уч.

 

Рисунок 9 - График с нереальными зависимостями между работами:

Р. гр. – разработка грунта; Уст.ф. – усройство фундаментов; М.к. – монтаж конструкций

На рисунке 10 представлен правильно построенный сетевой график.

1

7

 

2

6

 

3

Р.гр.

Р.гр.

 

 

 

 

1-й уч.

 

2-й уч.

 

0

3

Р.гр. 3-й уч.

Ус 4

 

 

 

 

1

 

 

 

 

-

 

 

 

 

т

 

 

 

 

й

 

 

 

 

.

 

 

 

 

уф

 

 

 

 

.

0

 

3

 

ч

 

 

.

 

 

 

 

4

 

5

Уст.ф. 6

2-й уч.

0

8

7

М.к. 1-й уч.

0

8

 

-Уст

й53

 

.

 

 

 

уч .

 

 

 

ф

 

 

 

.

 

 

 

3

 

9

2

10

 

 

 

 

 

 

 

 

 

М.к.

 

 

М.к.

2-й уч.

 

 

3-й уч.

Рисунок 10 - График с реальными зависимостями между работами

Критический путь (1-2, 2-4, 4-7, 7- 9, 9-10) равен 24 дням.

9

ЗАДАНИЕ № 2

Расчѐт сетевых графиков

2.1. Расчѐтные параметры сетевых графиков и расчѐтные формулы

 

 

h1

 

 

 

k1

 

 

 

i

 

 

j

 

 

k2

 

z

 

 

 

 

 

 

 

h2

 

 

 

k3

 

Рисунок 11 - Схема сетевого графика

 

 

 

 

 

 

i-j – рассматриваемая работа;

 

 

 

 

 

 

h1-i, h2-i – предшествующие работы;

 

 

 

j-k1, j-k2, j-k3 – последующие работы;

 

 

 

k1-z, k2-z, k3-z – завершающие работы;

 

 

 

ti-j

продолжительность работы;

 

 

 

 

 

 

tкр – продолжительность критического пути;

 

РН

раннее начало работы;

 

 

 

 

 

 

Тi j

 

 

 

 

 

 

РО

раннее окончание работы;

 

 

 

 

 

 

Тi j

 

 

 

 

 

 

ПН

позднее начало работы;

 

 

 

 

 

 

Тi j

 

 

 

 

 

 

ПО

– позднее окончание работы;

 

 

 

Тi j

 

 

 

Ri j

общий резерв времени работы;

 

 

 

ri j – частный резерв времени работы.

Раннее начало работы, самый ранний из возможных сроков начала работы, который определяется продолжительностью максимального пути от исходного события графика до начала данной работы. Работы, выходящие из одного события, имеют одинаковые ранние начала. Ранние начала работ, выходящих из начального события, равны нулю. Раннее начало любой работы равно наибольшему из ранних окончаний предшествующих работ.

ТiРНj = maxТhРОi . (1)

Раннее окончание работы –

это самый ранний из возможных

сроков

окончания работы, оно равно

сумме раннего начала работы

и еѐ

продолжительности

РО

РН

ti j .

(2)

Тi j

=Тi j

10

Максимальная величина из ранних окончаний работ, входящих в

завершающее

событие

графика,

определяет

продолжительность

критического пути и срок строительства

 

 

 

 

tкр maxТРО ,

(3)

 

 

 

k z

 

где к-z – завершающая работа.

Позднее начало работы – самый поздний допустимый срок начала работы, при котором срок достижения конечной цели не меняется.

Позднее окончание работы – самый поздний допустимый срок окончания работы, не изменяющий конечной цели.

Позднее окончание определяется разностью между продолжительностью максимального пути от последующего события данной работы до завершающего события графика или равно наименьшему из поздних начал

последующих работ

 

 

 

 

ТiПОj = minТПНj k = min(ТПОj k t j k ) .

(4)

Позднее начало данной работы равно разности между величинами еѐ

позднего окончания и продолжительности

 

 

 

ПН

ПО

 

 

 

Тi j

=Тi j ti j .

 

 

(5)

Для завершающих работ позднее окончание равно

 

Тk z tкр maxТ

ПО

.

(6)

ПО

 

 

 

 

k z

Общий резерв времени работы – это максимальное количество времени, на которое можно отдалить окончание данной работы за счѐт увеличения продолжительности или задержки еѐ начала, не изменяя срока достижения конечной цели.

Численно общий резерв времени работы определяется как разность между одноимѐнными поздними и ранними параметрами этой работы

ПО

РО

 

Ri j =Тi j -

Тi j

(7)

или

 

 

ПН

РН

 

Ri j Тi j -

Тi j .

(8)

Частный резерв времени работы – это количество времени, на которое можно перенести начало работы или увеличить еѐ продолжительность без изменения раннего начала последующих работ.

Численно частный резерв времени работы определяется как разность между ранним началом последующих работ и ранним окончанием данной работы.

ri j =ТРНj k -ТiРОj .

(9)