Материал: 4678

Внимание! Если размещение файла нарушает Ваши авторские права, то обязательно сообщите нам

16

Так, для построения матрицы 23 сочетаем базовую матрицу с нижним и верхним уровнями x3 (табл. 5). Легко заметить, что в первом столбце знаки

меняются поочередно, во втором через 2, в третьем через 4 и так далее. То есть

20, 21, 22, 23, … .

Таблица 4

Таблица 5

 

 

 

 

Влияние факторов на выходной параметр может зависеть от уровня, на котором находится другой фактор, или от сочетания уровней нескольких факторов. Если априорно не известно, что такой зависимости между факторами нет, то строят развернутую МП, учитывающую не только факторы, но и их взаимодействия. При этом знаки в столбцах для взаимодействий получают перемножением знаков взаимодействующих факторов. Пример развернутой МП для ПФЭ дан в табл. 6.

Таблица 6

17

Фиктивный фактор x0 вводят для удобства машинного расчета свободного члена b0 (для идентичности формул).

Основные свойства МП эксперимента:

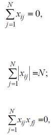
а) симметричность относительно центра эксперимента

(8)

где i – номер фактора; j – номер опыта; N – число опытов; б) условие нормировки

(9)

в) ортогональность

(10)

если Свойство ортогональности позволяет упростить вычисления и получить

независимые оценки коэффициентов регрессии. Это означает, в частности, что замена нулем любого коэффициента в уравнении ММ не изменит оценок остальных коэффициентов. Это свойство может быть полезным, когда точный вид модели не известен и требуется по экспериментальным данным отобрать факторы, существенно влияющие на исследуемый параметр. Если условие ортогональности не выполняется, после исключения каждого незначимого коэффициента необходимо пересчитывать оценки оставшихся коэффициентов и их дисперсии. При этом могут измениться как доверительные интервалы, так и выводы относительно коэффициентов значимости;

г) рототабельность – свойство равноточного предсказания исследуемого параметра на равных расстояниях от центра эксперимента вне зависимости отнаправления.

Матрица, удовлетворяющая условиям симметричности, нормировки и ортогональности, называется оптимальной.

МП ПФЭ является оптимальной для линейных ММ. Если же ММ содержит взаимодействия, то свойство рототабельности не выполняется.

3.4. Порядок постановки ПФЭ

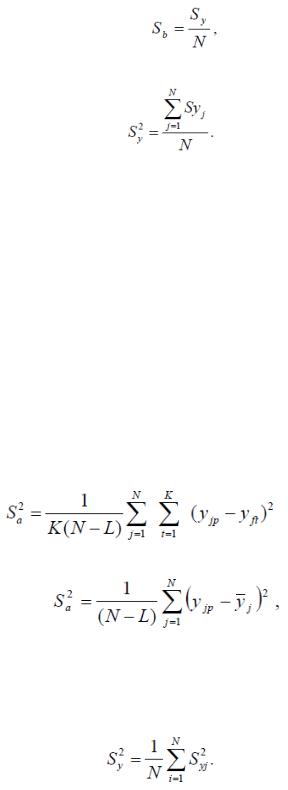
Для оценки точности эксперимента для каждой i-й точки факторного пространства (для каждого сочетания уровней факторов МП) проводят K опытов. В результате получают значения yi1, yi2, …, yiK исследуемого параметра, для которых находят среднее значение

18

(11)

При этом опыты в одной точке проводят не подряд, а обходят все точки в первой серии опытов, затем во второй, и так далее до K-й. Для уменьшения влияния внешней среды и неконтролируемых факторов внутри каждой серии точки факторного пространства обходят случайным образом – рандомизируют последовательность опытов. Рандомизацию опытов можно провести с помощью генератора случайных чисел или таблицы случайных чисел (см. приложение А).

Например, в случае постановки двух серий опытов для экспериментов 23 получим с учетом данных таблицы такие последовательности:

Это означает, что в первой серии опытов первым выполняется опыт в точке факторного пространства № 4, вторым – в точке № 2 и т. д. Во второй серии первым выполняется опыт в точке № 2, вторым – в точке № 4 и т. д. (см. табл. 7).

Таблица 7

3.5. Проверка воспроизводимости опытов (однородности дисперсий)

Опыт считается воспроизводимым, если дисперсия Dyi выходного параметра yi однородна в каждой точке факторного пространства. Оценка Syi дисперсии Dyi определяется для каждой точки факторного пространства по формуле:

(12)

19

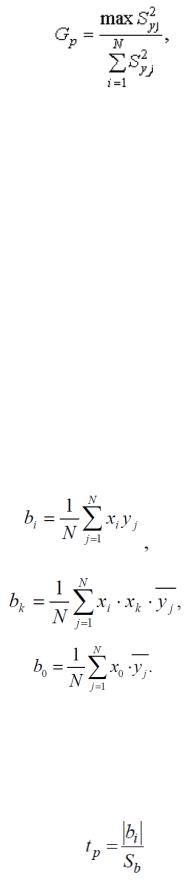
Гипотезу однородности (равенства) дисперсий проверяют с помощью критерия Кохрена. Расчетное значение этого критерия определяют по формуле:

(13)

а его критическое значение Gкр находят из таблицы распределения Кохрена по числу степеней свободы числителя f=K-1, знаменателя f=N и уровню значимости q (см. приложение Б). Если Gр<Gкр, гипотеза об однородности дисперсий принимается, в противном случае – отвергается, и тогда эксперимент необходимо повторить, изменив условия его проведения (набор факторов, интервал их варьирования, точность измерительных приборов и пр.). Например, если при варьировании какого-то фактора изменение исследуемого параметра сравнимо с погрешностью эксперимента, то интервал варьирования необходимо увеличивать примерно на порядок.

3.6. Расчет оценок коэффициентов регрессионного уравнения

Расчет оценок коэффициентов уравнения регрессии производится по методу наименьших квадратов, при этом минимизируется сумма квадратов отклонений между экспериментальными значениями исследуемого параметра и значениями, вычисленными для тех же точек факторного пространства по уравнению регрессии. Благодаря предварительной стандартизации масштаба факторов и ортогональности МП, расчет оценок коэффициентов регрессии в ПФЭ превращается в простую арифметическую процедуру

(14)

(15)

(16)

3.7. Проверка значимости коэффициентов регрессии

Гипотезу о статистической значимости (отличии от нуля) коэффициентов регрессии проверяют по критерию Стьюдента. Расчетное значение tp этого критерия определяют как частное от деления модуля коэффициента bi на оценку его среднеквадратического отклонения Sb:

(17)

20

В ПФЭ, благодаря одинаковой удаленности всех экспериментальных точек факторного пространства от центра эксперимента, оценки всех коэффициентов уравнения регрессии независимо от их величины вычисляются с одинаковой погрешностью (при выполнении условия воспроизводимости опытов):

(18)

где Sy – оценка дисперсии воспроизводимости эксперимента,

(19)

Критическое значение критерия tкр находят из таблицы распределения Стьюдента по числу степеней свободы f=N(K–1) и уровню значимости q (см. приложение В). Если tp>tкр, гипотеза о значимости коэффициента bi принимается, в противном случае коэффициент считается незначимым и приравнивается нулю.

Необходимо помнить, что незначимость коэффициента может быть обусловлена и неверным выбором интервала варьирования фактора. Поэтому иногда бывает полезным расширить интервал варьирования и провести новый эксперимент.

3.8. Проверка адекватности полученной ММ

Для проверки гипотезы об адекватности ММ необходимо сравнить две дисперсии:

а) дисперсию неадекватности, зависящую от разности между значениями yip, рассчитанными по ММ, и экспериментальными результатами yit:

(20)

или

(21)

где L – число значимых коэффициентов исследуемого уравнения регрессии, не

считая b0 ;

б) дисперсию неоднородности, характеризующую погрешности наблюдений:

(22)