Материал: 4678

Внимание! Если размещение файла нарушает Ваши авторские права, то обязательно сообщите нам

6

Для ознакомления магистрантов с основами планирования технического и технологического эксперимента, усвоения основных понятий и методов, разработано данное методическое указание.

При изложении данной дисциплины в связи с ограниченностью по времени, трудно организовать и получить экспериментальные данные, и с учетом того, что данную дисциплину изучают магистранты, имеющие понятия, представления о проведении опытов, то в данной работе предлагаются задачи связанные непосредственно с организацией опытов, а затем дальнейшее продолжение работы с результатами опытов, выдаваемых преподавателем. Такой подход позволяет достаточно полно изучить общие методы планирования технического и технологического эксперимента и обеспечить возможность для дальнейшего самостоятельного углубленного изучения данной проблемы.

7

Лабораторная работа № 1 ВЫБОР ФАКТОРОВ, УРОВНЕЙ ИХ ВАРЬИРОВАНИЯ И

НУЛЕВОЙ ТОЧКИ

Цель работы: приобрести навыки по выбору факторов, их уровней варьирования.

Общие сведения

Фактором называется управляемая независимая переменная, соответствующая одному из возможных способов воздействия на объект исследования. Факторы должны быть совместимыми и независимыми. Совместимость предполагает допустимость любой комбинации факторов, а независимость – отсутствие между факторами корреляционной связи.

К исследуемым параметрам также предъявляют ряд требований. Они должны быть:

-эффективными, то есть способствовать скорейшему достижению цели;

-универсальными – быть характерными не только для исследуемого объекта;

-статистически однородными, то есть определенному набору значений факторов xi с точностью до погрешности эксперимента должно соответствовать определенное значение фактора yi;

-выражаться количественно одним числом;

-легко вычисляться и иметь физический смысл;

-существовать при любом состоянии объекта.

Геометрический аналог параметра (функции отклика) называется поверхностю отклика, а пространство, в котором строят эту поверхность, – факторным пространством. Размерность факторного пространства равна числу факторов. Так, например, при двух факторах факторное пространство представляет собой факторную плоскость.

При планировании эксперимента требуемых свойств математической модели (ММ) добиваются выбирая условия проведения опытов. Множество точек факторного пространства, в которых проводится эксперимент, представляется с помощью плана эксперимента.

Фактор считается заданным, если указаны его название и область определения. В выбранной области определения он может иметь несколько значений, которые соответствуют числу его различных состояний. Выбранные для эксперимента количественные и качественные состояния фактора носят название уровней фактора.

В планировании технического и технологического эксперимента значения факторов, соответствующие определенным уровням их варьирования, выражаются в кодированных величинах. Под интервалом варьирования

8

подразумевается разность между двумя именованными его значениями, принятая за единицу при его кодировании.

При выборе факторов рекомендуется учитывать ряд требований. В качестве факторов рекомендуется выбирать такие независимые переменные, которые соответствуют одному из разумных в рассматриваемом случае воздействии на объект исследований, могут быть измерены имеющимися средствами с достаточно высокой гарантированной точностью, являются управляемыми и однозначными, совместимы один с другим, не связаны между собой линейными корреляционными связями, Желательно, чтобы факторы оценивались количественно, хотя возможно применение факторов, характеризующихся только качественно.

После выбора факторов устанавливают нулевую точку и выбирают интервалы варьирования для установления верхних и нижних уровней факторов, которые в кодированном обозначении соответствуют +1 и –1.

Интервал варьирования фактора выбирают с учетом того, что значение факторов, соответствующие уровням +1 и –1, должны быть достаточно отличимы от значения, соответствующего нулевому уровню. Поэтому во всех случаях величина интервала варьирования должна быть больше удвоенной квадратичной ошибки фиксирования данного фактора.

Здесь необходимо учитывать, что чрезмерное увеличение интервалов варьирования может привести к снижению эффективности поиска оптимума, а малый интервал варьирования уменьшает область эксперимента, что замедляет поиск оптимума.

Выбор факторов завершается составлением списка всех факторов, которые заслуживают внимания. При этом указываются наименования и обозначения факторов, их интервалы и уровни варьирования, координаты нулевой точки. Перечисленные данные фиксируются в таблицах.

В качестве примера приведена таблица 1.

 

 

 

 

 

 

Таблица 1

 

 

 

 

 

 

 

Наименование и

 

Уровни варьирования

 

Интервалы

 

 

 

 

 

 

обозначение факторов

–2

–1

0

+1

+2

варьирования

 

 

 

 

 

 

 

t – температура, °C(X1)

140

150

160

170

180

10

p – давление, кгс/см2 (X2)

0

2,5

5

7,5

10

2,5

c – концентрация, г/л (X3)

0

10

20

30

40

10

τ – время, мин (X4)

30

60

90

120

150

30

g – масса, кг (X5)

100

160

200

250

300

50

9

Порядок выполнения работы.

1.Выбрать объект исследования (машина, прибор, процесс и т.д.)

2.Определить факторы, дать их описание, характер влияния на исследуемый объект, методы и способы регулирования, измерения и т.д.

3.Выбрать нулевой уровень и интервалы варьирования.

4.Заполнить таблицу факторов.

Контрольные вопросы:

1.Дайте определение фактора?

2.Что понимается под интервалом варьирования?

3.Какие требования необходимо учитывать при выборе факторов?

4.Что может привести к снижению эффективности поиска оптимума?

Лабораторная работа № 2 АПРИОРНОЕ РАНЖИРОВАНИЕ ФАКТОРОВ

Цель работы: изучить метод априорного ранжирования факторов.

Общие сведения

Здесь рассматриваются методы, которые применяют при обработке литературных данных на первой стадии экспериментальной работы в тех случаях, когда из большего числа факторов нужно выделить наиболее важные для дальнейшего изучения и отсеять остальные.

На стадии предварительного изучения объекта исследования при формализации априорных сведений иногда полезно проведение психологического эксперимента, заключающегося в объективной обработке данных, полученных в результате опроса специалистов или из исследований, опубликованных в литературе. Такой эксперимент позволяет более правильно спроектировать объект исследования, принять или отвергнуть некоторые предварительные гипотезы, дать сравнительную оценку влияния различных факторов на параметры оптимизации и тем самым правильно отобрать факторы для последующего активного эксперимента, обоснованно исключив некоторые из них из дальнейшего рассмотрения.

При решении подобных задач можно использовать метод априорного ранжирования факторов.

Особенность метода априорного ранжирования факторов заключается в том, что факторы, которые согласно априорной информации могут иметь существенное влияние, ранжируются в порядке убывания вносимого ими вклада. Вклад каждого фактора оценивается по величине ранга – места, которое

10

отведено исследователем (специалистом при опросе, автором статьи и т.п.) данному фактору при ранжировании всех факторов с учетом их предполагаемого (количественно неизвестного) влияния на параметры оптимизации. При сборе мнений путем опроса специалистов каждому из них предлагается заполнить анкету, в которой перечислены факторы, их размерность и предполагаемые интервалы варьирования. Заполняя анкету, специалист определяет место факторов в ранжированном ряду. Одновременно он может включить дополнительные факторы или высказать мнение об изменении интервалов варьирования.

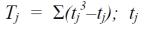
Результаты опроса специалистов (или ранжирования по литературным данным) обрабатываются следующим образом. Сначала определяют сумму

рангов по факторам , а затем разность (Δi) между суммой каждого фактора и средней суммой рангов и сумму квадратов отклонений (s) :

(1)

(2)

где aij – ранг каждого i-го фактора у j-го исследователя; m – число исследователей;

k – число факторов;

Т – средняя сумма рангов.

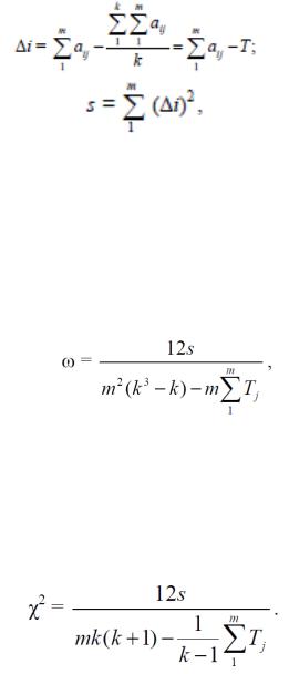
Полученные данные позволяют построить среднюю априорную диаграмму рангов, но предварительно необходимо оценить степень согласованности мнений всех исследователей с помощью коэффициента конкордации ω:

(3)

где - число одинаковых рангов в j-м ранжировании. Использовать коэффициент конкордации можно после оценки его значимости, которая возможна с помощью специальных таблиц или известных статистических распределений, например, величина m(k-1)ω имеет χ2- распределение с числом степеней свободы f=k–1. Значение χ2- критерия определяют по формуле

(4)