Материал: 4678

Внимание! Если размещение файла нарушает Ваши авторские права, то обязательно сообщите нам

11

Гипотеза о наличии согласия исследователей может быть принята, если при заданном числе степеней свободы табличное значение χ2 меньше расчетного для 5 %-ного уровня значимости.

Оценив согласованность мнений всех исследователей, строят среднюю диаграмму рангов, откладывая по одной оси факторы, а по другой – соответствующие суммы рангов. Чем меньше сумма рангов данного фактора, тем выше его место на диаграмме. С помощью последней оценивается значимость факторов. В случае неравномерного экспоненциального убывания распределения часть факторов можно исключить из дальнейшего рассмотрения, отнеся их влияние к шумовому полю. Если же распределение равномерное, то в эксперимент рекомендуется включать все факторы.

Вситуациях с очень большим числом факторов, кроме общей согласованности мнений исследователей, рассматривают с помощью χ2- распределения и согласованность по каждому фактору в отдельности.

Построение средней априорной диаграммы рангов по известным литературным данным полезно с той точки зрения, что она по существу является сокращенным литературным обзором по объекту исследования.

Остановимся на особенностях априорного ранжирования факторов.

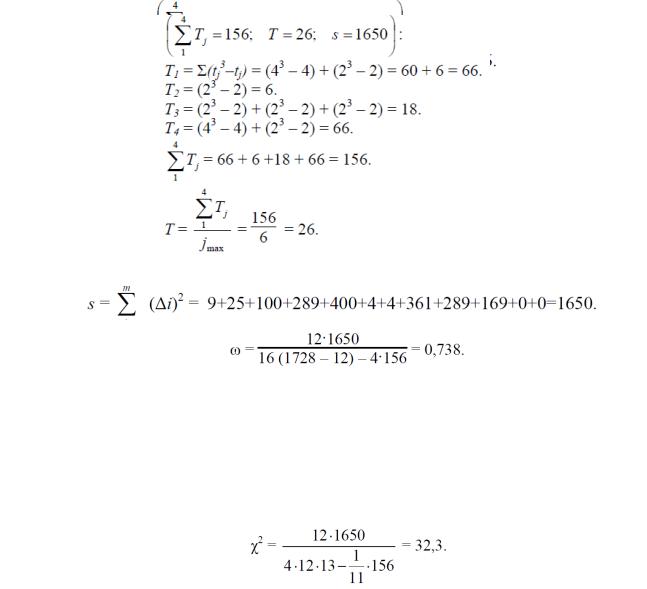
Влесной промышленности в процессе некоторого исследования на стадии предварительного изучения объекта исследования были опрошены четыре специалиста, знакомых с изучаемой технологией (m = 4). Данные опросы были использованы для априорного ранжирования факторов с целью выделения наиболее существенных из них. Проводился опрос с помощью анкеты, содержащей 12 факторов (k = 12), которые нужно было проранжировать с учетом степени их влияния на прочность материала (факторы характеризовали условия изготовления материала).

Матрица рангов, полученная из анкет, приведена в таблице 2.

Таблица 2

По данным таблицы 2 рассчитывали, используя формулу (3), коэффициент конкордации

12

Сумма квадратов отклонений

Так как величина коэффициента конкордации существенно отличается от нуля, можно считать, что между мнениями исследователей имеется существенная связь. Тем не менее, исследователи неодинаково ранжируют факторы (найденное значение ω заметно отличается от единицы).

Значимость коэффициента конкордации проверяли по χ2-критерию с учетом формулы

Из справочной литературы находим, что для 5%-ного уровня значимости при числе степеней свободы f = 12–1 = 11 χ2 = 19,75. В связи с тем что табличное значение χ2-критерия меньше расчетного, можно с 95%-ной доверительной вероятностью утверждать, что мнение исследователей относительно степени влияния факторов согласуется в соответствии с коэффициентом конкордации ω =0,738. Это позволяет построить среднюю диаграмму рангов для рассматриваемых факторов (рис.1). Из диаграммы видно, что распределение – равномерное, убывание – немонотонное.

По результатам проведенного психологического эксперимента было отобрано для дальнейших исследований восемь факторов, занимающих по диаграмме восемь первых мест.

Рисунок 1 – Средняя априорная диаграмма рангов

Порядок выполнения работы.

1.Составить анкету для опроса специалистов, где исследуемые факторы взять из лабораторной работы №1.

2.Заполнить анкету, привлекая в качестве специалистов магистрантов данной учебной группы.

3.Выполнить статистическую обработку результатов опроса.

Контрольные вопросы:

1.В чем заключается особенность метод априорного ранжирования факторов?

2.Как обрабатывают результаты опроса специалистов?

3.Как определяется коэффициент конкордации?

4.Что такое χ2? Как определяют данный показатель?

14

Лабораторная работа № 3 ПОЛНЫЙ ФАКТОРНЫЙ ЭКСПЕРИМЕНТ

Цель работы: исследование объект с применением полного факторного эксперимента и получить математическую модель объекта.

Общие сведения

3.1. Полный факторный эксперимент

В полном факторном эксперименте (ПФЭ) исследуется один параметр и реализуются все возможные сочетания уровней факторов.

Для каждого фактора выбираются два уровня – верхний и нижний, на которых фактор варьируется. Половина разности между верхним и нижним уровнями называется интервалом варьирования. Интервал варьирования должен быть больше погрешности измерения уровня фактора (ограничение снизу), а верхний и нижний уровни фактора не должны выходить за область его определения (ограничение сверху). На практике интервал варьирования составляет обычно 3–10% от области определения.

При двух уровнях для каждого из n факторов общее число опытов составляет 2n. ПФЭ – это эксперимент типа 2n.

ПФЭ позволяет получит математическую модель исследуемого объекта в виде уравнения множественный регрессии или по линиям

(5)

где b0 – свободный член; bi , bik , bikl – коэффициенты уравнения множественный регрессии.

Так, например, при n = 2

при n = 3

Модели (5) обычно называют регрессионными, а коэффициенты b0, bi, bik, bikl, … – коэффициентами уравнения регрессии.

Взависимости от объема априорной информации в ММ включают не все,

алишь некоторые взаимодействия первого порядка, иногда – взаимодействия второго порядка и очень редко – взаимодействия выше третьего порядка. Связано это с тем, что учет всех взаимодействий приводит к громоздким расчетам. Зависимость количества взаимодействий различного порядка от числа факторов приведена в табл. 3.

15

Таблица 3

Полное число всех возможных эффектов (включая b0) равно числу опытов ПФЭ.

3.2. Стандартизация масштаба факторов

Для удобства расчетов масштаб факторов выбирают так, чтобы значение верхнего уровня было равно +1, а нижнего –1. С этой целью делают преобразование начала координат факторов и переходят к нормированному (стандартному) масштабу

(6)

Интеграл варьирования I равен

(7)

3.3. Составление матрицы планирования ПФЭ

План ПФЭ изображают в виде таблицы, столбцы которой отражают уровни факторов, а строки – номера опытов. Эти таблицы называют

матрицами планирования (МП) эксперимента. Поскольку значения уровней факторов по модулю всегда равны единице, то обычно в МП записывают только знак уровня (т. е. «+» вместо «1» и «–» вместо «–1»). В табл. 4 для примера приведена МП для ПФЭ типа 22, которую называют базовой, так как с ее помощью легко построить матрицы любого порядка.