3 Выбор транспортного средства
4 Расчет показателей работы подвижного состава на маятниковых маршрутах
5 Производственная программа по эксплуатации 6 График совместной работы автомобилей и погрузочно-разгрузочных постов для пункта А1 7 Технико-эксплуатационные показатели АТП Заключение
Приложение Графическая часть (формат А-1, 1-2 листа).
Таблица 1- Среднесуточный объем перевозки грузов по заявкам грузоотправителей и грузополучателей
|
|
|
|
|
|
Qсу |
|
|
Грузоотправител |
Грузополучател |
|
Способ |
Коэф |
т |
|
№ |
Род груза |
перевозк |
. |
кол- |
|||
и |
и |
||||||
|
|
и |
γк |
во |
|||
|
|
|
|
||||
|
|
|
|
|
|
,т |
|
1 |
Фермер |
Д/садик «Кроха» |
картофел |
навалом |
0,66 |
80 |
|
«Сутулов» А1 |
Б1 |
ь |
|||||
|
|
|
|
||||
2 |
Фермер |
МО РФ в/ч. |
картофел |
навалом |
0,66 |
100 |
|
«Сутулов» А1 |
ТТПб-31 Б2 |
ь |
|||||
|
|
|
|
||||
3 |
Фермер |
Склад АО |
картофел |
навалом |
0,66 |
120 |
|
«Сутулов» А1 |
«Грызун» Б3 |
ь |
|||||
|
|
|
|
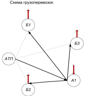
Таблица 2 -Расстояние между грузопунктами, км А1 АТП
Б1 |
17 |
7 |
Б2 |
20 |
5 |
Б3 |
16 |
7 |
АТП |
8 |
|
Рисунок - Схема перевозок
Таблица 3 - Показатели работы автомобилей
№ |
Наименование показателей |
Количество |
1 |
Плановое время в наряде, час |
8,0 |
2 |
Среднетехническая скорость, км/час |
30,0 |
3 |
Суточный коэффициент выпуска |
0,87 |
4 |
Срок вывозки груза, дни |
6 дн.раб.неделя |
Для осуществления грузоперевозок выбрать транспортное средство.
Время простоя автомобиля под погрузкой и разгрузкой для расчетов рекомендуется 3 мин 1 тонну.
Возможно принять время простоя автомобиля под погрузкой и разгрузкой согласно «Межотраслевые нормативы времени на погрузку, разгрузку вагонов, автотранспорта и складские работы», утвержденные Министерством труда и социального развития от 10.09.2000г. № 76.
ВАРИАНТ № 16
(номер варианта определяется по сумме двух последних цифр номера зачетной книжки)
Тема: ОРГАНИЗАЦИЯ ПЕРЕВОЗКИ ИЗДАТЕЛЬСКОЙ ПРОДУКЦИИ В КОНТЕЙНЕРАХ
Содержание курсовой работы Введение 1 Исходные данные
2 Построение эпюры грузопотоков
3 Выбор транспортного средства
4 Расчет показателей работы подвижного состава на маятниковых маршрутах
5 Производственная программа по эксплуатации 6 График совместной работы автомобилей и погрузочно-разгрузочных постов для пункта А1 7 Технико-эксплуатационные показатели АТП Заключение
Приложение Графическая часть (формат А-1, 1-2 листа).
Таблица 1- Среднесуточный объем перевозки грузов по заявкам грузоотправителей и грузополучателей
|
|
|
Род |
Способ |
Коэф. |
Qсут |
|
№ |
Грузоотправители |
Грузополучатели |
кол- |
||||
груза |
перевозки |
γк |
|||||
|
|
|
во ,т |
||||
|
|
|
|
|
|
||
1 |
Издательство |
БГАРФ |
книги |
контейнер |
0,55 |
6,0 |
|
«Полиглот» А1 |
Б1 |
|
|||||
|
|
|
|
|
|||
2 |
Издательство |
Областная Дума |
книги |
контейнер |
0,53 |
8,0 |
|
«Полиглот» А1 |
Б2 |
|
|||||
|
|
|
|
|
|||
3 |
Издательство |
Центр. библиотека |
книги |
контейнер |
0,53 |
4,0 |
|
«Полиглот» А1 |
Б3 |
|
|||||
|
|
|
|
|
Количество тонн груза дано без учета веса контейнеров.
Таблица 2 - Расстояние между грузопунктами, км А1 АТП
Б1 |
9 |
7 |
Б2 |
8 |
5 |
Б3 |
10 |
6 |
АТП |
6 |
|
Рисунок - Схема перевозок
Таблица 3 -Показатели работы автомобилей
№ |
Наименование показателей |
Количество |
1 |
Плановое время в наряде, час |
8,0 |
2 |
Среднетехническая скорость, км/час |
32,0 |
3 |
Суточный коэффициент выпуска |
0,88 |
4 |
Режим работы АТП, дни |
6 дн.раб.неделя |
Время простоя автомобиля под погрузкой и разгрузкой 8 мин на 1 контейнер. Для перевозки грузов используются контейнеры УУК-3 весом брутто 3 т.
Грузоподъемность контейнера 2,4 т. Собственный вес контейнера 0,6 т.
Для перевозки возможно использовать бортовой автомобиль ЗИЛ -431410. За ездку перевозится 2 контейнера.
ВАРИАНТ № 17
(номер варианта определяется по сумме двух последних цифр номера зачетной книжки)
Тема: ОРГАНИЗАЦИЯ ПЕРЕВОЗКИ ЛЕСА НА ПРИЦЕПЕ-РОСПУСКЕ Содержание курсовой работы Введение 1 Исходные данные
2 Построение эпюры грузопотоков
3 Выбор транспортного средства
4 Расчет показателей работы подвижного состава на маятниковых маршрутах
5 Производственная программа по эксплуатации 6 График совместной работы автомобилей и погрузочно-разгрузочных постов для пункта А1 7 Технико-эксплуатационные показатели АТП Заключение
Приложение Графическая часть (формат А-1, 1-2 листа).
Таблица 1- Среднесуточный объем перевозки грузов по заявкам грузоотправителей и грузополучателей
|
|
|
|
|
|
|
|
|
|
|
|
|
Qсут |
Qсут |
№ |
Грузоотправители |
Грузополучатели |
|
Род |
Способ |
|
Коэф. |
кол- |
кол- |
|||||
|
груза |
перевозки |
|
γк |
во |
во ,т |
||||||||
|
|
|
|
|
|
|
|
|
||||||
|
|
|
|
|
|
|
|
|
|
|
|
|
,м3 |
|
1 |
Лесничество А1 |
Фабрика |
|
|
|
лес- |
прицеп- |
|
0,76 |
120 |
|
|||
|
«Максик» Б1 |
|
хлыст |
роспуск |
|
|
||||||||
|
|
|
|
|
|
|
||||||||
2 |
Лесничество А1 |
ДОК «В законе» |
|
лес- |
прицеп- |
|
0,61 |
80 |
|
|||||
|
Б2 |
|
|
|
хлыст |
роспуск |
|
|
||||||
|
|
|
|
|
|
|
|
|
||||||
3 |
Лесничество А1 |
ЦБК «Стульчик» |
|
лес- |
прицеп- |
|
0,73 |
100 |
|
|||||
|
Б3 |
|
|
|
хлыст |
роспуск |
|
|
||||||
|
|
|
|
|
|
|
|
|
||||||
ДОК – деревообрабатывающий комбинат |
|
|
|
|
|
|||||||||
ЦБК – целлюлозно – бумажный комбинат |
|
|
|
|
|
|||||||||
|
Таблица 2 - Расстояние между грузопунктами, км |
|
|
|
||||||||||
|
|
|
|
|
А1 |
|
АТП |
|
|
|
|
|
|
|
|
|
|
Б1 |
|
17 |
|
7 |
|
|
|
|
|
|
|
|
|
|
Б2 |
|
14 |
|
9 |
|
|
|
|
|
|
|
|
|
|
Б3 |
|
16 |
|
5 |
|
|
|
|
|
|
|
|
|
|
АТП |
|
8 |
|
|
|
|
|
|
|
|
|