1 Исходные данные
2 Построение эпюры грузопотоков
3 Выбор транспортного средства
4 Расчет показателей работы подвижного состава на маятниковых маршрутах
5 Производственная программа по эксплуатации 6 График совместной работы автомобилей и погрузочно-разгрузочных постов для пункта А1 7 Технико-эксплуатационные показатели АТП Заключение
Приложение Графическая часть (формат А-1, 1-2 листа).
Таблица 1- Среднесуточный объем перевозки грузов по заявкам грузоотправителей и грузополучателей
|
|
|
|
|
|
Qсут |
|
№ |
Грузоотправители |
Грузополучатели |
Род |
Способ |
Коэф. |
кол- |
|
груза |
перевозки |
γк |
во |
||||
|
|
|
|||||
|
|
|
|
|
|
,т |
|
|
Фермер |
Склад АО |
|
|
|
|
|
1 |
«Позновстань» |
«Рамшан» №1 Б1 |
свекла |
навалом |
0,6 |
50 |
|
|
А1 |
|
|
|
|
|
|
|
Фермер |
Склад №2 АО |
|
|
|
|
|
2 |
«Позновстань» |
«Сурков» Б2 |
свекла |
навалом |
0,6 |
60 |
|
|
А1 |
|
|
|
|
|
|
|
Фермер |
Сахарный завод |
|
|
|
|
|
3 |
«Позновстань» |
Б3 |
свекла |
навалом |
0,6 |
40 |
|
|
А1 |
|
|
|
|
|
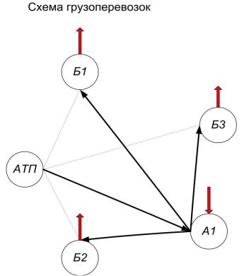
Таблица 2 – Расстояние между грузопунктами, км
|
А1 |
АТП |
Б1 |
17 |
6 |
Б2 |
14 |
8 |
Б3 |
12 |
7 |
АТП |
8 |
|
Рисунок – Схема перевозок Таблица 3 – Показатели работы автомобилей
№ |
Наименование показателей |
Количество |
1 |
Плановое время в наряде, час |
8,0 |
2 |
Среднетехническая скорость, км/час |
26,0 |
3 |
Суточный коэффициент выпуска |
0,8 |
4 |
Срок вывозки груза, дни |
6 дн.раб.неделя |
Для осуществления грузоперевозок выбрать транспортное средство.
Время простоя автомобиля под погрузкой и разгрузкой для расчетов рекомендуется 4,5 мин
1 т.
Возможно принять время простоя автомобиля под погрузкой и разгрузкой согласно «Межотраслевые нормативы времени на погрузку, разгрузку вагонов, автотранспорта и складские работы», утвержденные Министерством труда и социального развития от 10.09.2000г. № 76.
Тема: ОРГАНИЗАЦИЯ ПЕРЕВОЗКИ ГРУЗОВ В КОНТЕЙНЕРАХ (КАНЦТОВАРЫ)
Содержание курсовой работы Введение 1 Исходные данные
2 Построение эпюры грузопотоков
3 Выбор транспортного средства
4 Расчет показателей работы подвижного состава на маятниковых маршрутах
5 Производственная программа по эксплуатации 6 График совместной работы автомобилей и погрузочно-разгрузочных постов для пункта А1 7 Технико-эксплуатационные показатели АТП Заключение
Приложение Графическая часть (формат А-1, 1-2 листа).
Таблица 1- Среднесуточный объем перевозки грузов по заявкам грузоотправителей и грузополучателей
|
|
|
|
|
|
Qсу |
|
|
Грузоотправител |
|
|
Способ |
Коэф |
т |
|
№ |
Грузополучатели |
Род груза |
. |
кол- |
|||
и |
перевозки |
||||||
|
|
|
γк |
во |
|||
|
|
|
|
|
|||
|
|
|
|
|
|
,т |
|
1 |
Контейнерная |
ООО «Книготорг» |
книги |
контейнер |
0,7 |
18,0 |
|
площадка А1 |
Б3 |
|
УУК-3 |
|
|
||
|
|
|
|
||||
2 |
Контейнерная |
Склад-магазин |
книги |
Контейне |
0,7 |
26,0 |
|
площадка А1 |
Б1 |
|
р УУК-3 |
|
|
||
|
|
|
|
||||
3 |
Контейнерная |
Книгоиздательств |
полиграфи |
контейнер |
0,7 |
20,0 |
|
площадка А1 |
о Б2 |
я |
УУК-3 |
|
|
||
|
|
|
Количество тонн груза дано без учета веса контейнеров.
Таблица 2 – Расстояние между грузопунктами, км
|
А1 |
АТП |
Б1 |
17 |
6 |
Б2 |
20 |
5 |
Б3 |
16 |
6 |
АТП |
6 |
|
Рисунок – Схема перевозок
Таблица 3 – Показатели работы автомобилей
№ |
Наименование показателей |
Количество |
1 |
Плановое время в наряде (Тн), час |
8,0 |
2 |
Среднетехническая скорость, км/час |
37,0 |
3 |
Суточный коэффициент выпуска |
0,9 |
4 |
Режим работы АТП, дни |
5 дн.раб.неделя |
Для перевозки грузов используются контейнеры УУК-3 весом брутто 3 т. Грузоподъемность контейнера 2,4 т. Собственный вес контейнера 0,6 т.
Для перевозки используется бортовой автомобиль ЗИЛ -431410. За ездку перевозится два контейнера.
Время простоя автомобиля под погрузкой и разгрузкой для расчетов рекомендуется 7мин. На 1 контейнер.
Возможно принять время простоя автомобиля под погрузкой и разгрузкой согласно «Межотраслевые нормативы времени на погрузку, разгрузку вагонов, автотранспорта и складские работы», утвержденные Министерством труда и социального развития от 10.09.2000г. № 76.
Библиографический список
1.Основы управления перевозочными процессами: Учебное пособие/Д.Ю.Левин - М.: НИЦ ИНФРА-М, 2015. - 264 с.: 60x90 1/16. - (Высшее образование: Бакалавриат).
2.Карпов А. С. Автомобильные перевозки [Текст] : учеб. пособие / А. С. Карпов, В. И. Ключников; ВГЛТА. - Воронеж, 2009. - 336 с.
3.Гаджинский А. М. Логистика [Текст] : рек. М-вом образования Рос. Федерации в качестве учеб. / А. М. Гаджинский. - 20-е. изд. - М. : Дашков и К,
2012. - 484 с.
3.Автомобильный транспорт [Текст] : ежемес. науч.-произв. журн. / М-во автомоб. транспорта РСФСР, ЦК профсоюза рабочих автомоб. транспорта и шоссейных дорог. - М. : Транспорт, 1923 -.