Рисунок – Схема перевозок Таблица 3 – Показатели работы автомобилей
№ |
Наименование показателей |
Количество |
1 |
Плановое время в наряде, час |
8,0 |
2 |
Среднетехническая скорость, км/час |
23,0 |
3 |
Суточный коэффициент выпуска |
0,78 |
4 |
Срок вывозки груза, дни |
6 дн.раб.неделя |
Для осуществления грузоперевозок выбрать транспортное средство.
Время простоя автомобиля под погрузкой и разгрузкой для расчетов рекомендуется 4,5 мин
1 т.
Возможно принять время простоя автомобиля под погрузкой и разгрузкой согласно «Межотраслевые нормативы времени на погрузку, разгрузку вагонов, автотранспорта и складские работы», утвержденные Министерством труда и социального развития от 10.09.2000г. № 76.
ВАРИАНТ № 3
(номер варианта определяется по сумме двух последних цифр номера зачетной книжки)
Тема: ОРГАНИЗАЦИЯ ПЕРЕВОЗКИ ГРУЗОВ В КОНТЕЙНЕРАХ (ПОЛИГРАФИЯ)
Содержание курсовой работы Введение
1 Исходные данные
2 Построение эпюры грузопотоков
3 Выбор транспортного средства
4 Расчет показателей работы подвижного состава на маятниковых маршрутах
5 Производственная программа по эксплуатации 6 График совместной работы автомобилей и погрузочно-разгрузочных постов для пункта А1 7 Технико-эксплуатационные показатели АТП Заключение
Приложение Графическая часть (формат А-1, 1-2 листа).
Таблица 1- Среднесуточный объем перевозки грузов по заявкам грузоотправителей и грузополучателей
|
Грузоотправител |
|
|
Способ |
Коэф |
Qсут |
|
№ |
Грузополучатели |
Род груза |
. |
кол- |
|||
и |
перевозки |
||||||
|
|
|
γк |
во ,т |
|||
|
|
|
|
|
|||
1 |
Контейнерная |
ООО «Книготорг» |
книги |
контейне |
0,6 |
150, |
|
площадка А1 |
Б3 |
|
р |
|
0 |
||
|
|
|
|||||
2 |
Контейнерная |
Склад-магазин |
книги |
контейне |
0,7 |
100, |
|
площадка А1 |
Б1 |
|
р |
|
0 |
||
|
|
|
|||||
3 |
Контейнерная |
Книгоиздательств |
полиграфи |
контейне |
0,5 |
180, |
|
площадка А1 |
о Б2 |
я |
р |
|
0 |
||
|
|
Количество тонн груза дано без учета веса контейнеров.
Таблица 2 – Расстояние между грузопунктами, км
|
А1 |
АТП |
Б1 |
18 |
12 |
Б2 |
20 |
15 |
Б3 |
11 |
6 |
АТП |
6 |
|
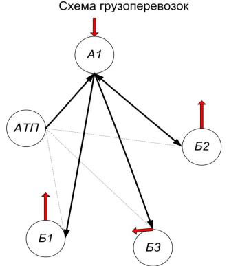
Рисунок – Схема перевозок
Таблица 3 – Показатели работы автомобилей
№ |
Наименование показателей |
Количество |
1 |
Плановое время в наряде (Тн), час |
8,0 |
2 |
Среднетехническая скорость, км/час |
20,0 |
3 |
Суточный коэффициент выпуска |
0,88 |
4 |
Режим работы АТП, дни |
5 дн.раб.неделя |
Для перевозки грузов используются контейнеры УУК-3 весом брутто 3 т. Грузоподъемность контейнера 2,4 т. Собственный вес контейнера 0,6 т.
Для перевозки используется бортовой автомобиль ЗИЛ -431410. За ездку перевозится два контейнера.
Время простоя автомобиля под погрузкой и разгрузкой для расчетов рекомендуется 7мин. На 1 контейнер.
Возможно принять время простоя автомобиля под погрузкой и разгрузкой согласно «Межотраслевые нормативы времени на погрузку, разгрузку вагонов, автотранспорта и складские работы», утвержденные Министерством труда и социального развития от 10.09.2000г. № 76.
ВАРИАНТ № 4
(номер варианта определяется по сумме двух последних цифр номера зачетной книжки)
Тема: ПЕРЕВОЗКА МАССОВЫХ НАВАЛОЧНЫХ ГРУЗОВ (ТОРФ) Содержание курсовой работы Введение 1 Исходные данные
2 Построение эпюры грузопотоков
3 Выбор транспортного средства
4 Расчет показателей работы подвижного состава на маятниковых маршрутах
5 Производственная программа по эксплуатации 6 График совместной работы автомобилей и погрузочно-разгрузочных постов для пункта А1 7 Технико-эксплуатационные показатели АТП Заключение
Приложение Графическая часть (формат А-1, 1-2 листа).
Таблица 1- Среднесуточный объем перевозки грузов по заявкам грузоотправителей и грузополучателей
|
|
|
Род |
Способ |
Коэф. |
Qсут |
|
№ |
Грузоотправители |
Грузополучатели |
кол- |
||||
груза |
перевозки |
γк |
|||||
|
|
|
во ,т |
||||
|
|
|
|
|
|
||
1 |
Торфяной карьер |
Брикетный завод |
торф |
навалом |
0,3 |
65 |
|
№1 А1 |
Б1 |
||||||
|
|
|
|
|
|||
2 |
Торфяной карьер |
ООО «Жучок |
торф |
навалом |
0,3 |
90 |
|
№1 А1 |
Скарби» Б2 |
||||||
|
|
|
|
|
|||
3 |
Торфяной карьер |
Ботанический сад |
торф |
навалом |
0,3 |
80 |
|
№1 А1 |
Б3 |
||||||
|
|
|
|
|
ДОК – предприятие дерево – обрабатывающий комбинат.
Таблица 2 – Расстояние между грузопунктами, км А1 АТП
Б1 |
9 |
11 |
Б2 |
8 |
10 |
Б3 |
5 |
7 |
АТП |
6 |
|
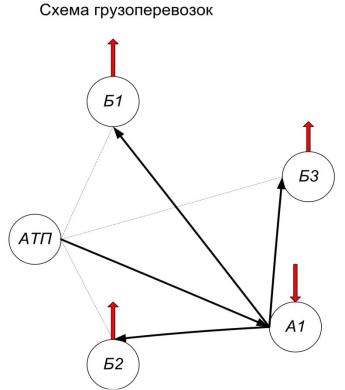
Рисунок – Схема перевозок
Таблица 3 - Показатели работы автомобилей
№ |
Наименование показателей |
Количество |
1 |
Плановое время в наряде (Тн), час |
16,0 |
2 |
Среднетехническая скорость, км/час |
24,0 |
3 |
Суточный коэффициент выпуска |
0,86 |
4 |
Режим работы АТП, дни |
6 дн.раб. |
|
неделя |
|
|
|
Для осуществления грузоперевозок выбрать транспортное средство.
Время простоя автомобиля под погрузкой и разгрузкой для расчетов рекомендуется 4 мин на 1 т.
Возможно принять время простоя автомобиля под погрузкой и разгрузкой согласно «Межотраслевые нормативы времени на погрузку, разгрузку вагонов, автотранспорта и складские работы», утвержденные Министерством труда и социального развития от 10.09.2000г. № 76.
ВАРИАНТ № 5
(номер варианта определяется по сумме двух последних цифр номера зачетной книжки)
Тема: ПЕРЕВОЗКА МОРКОВИ ПОТОЧНО-ПЕРЕВАЛОЧНЫМ МЕТОДОМ Содержание курсовой работы Введение 1 Исходные данные