Рисунок - Схема перевозок Таблица 3 Показатели работы автомобилей
№ |
Наименование показателей |
Количество |
1 |
Плановое время в наряде, час |
8,0 |
2 |
Среднетехническая скорость, км/час |
32,0 |
3 |
Суточный коэффициент выпуска |
0,88 |
4 |
Режим работы АТП, дни |
6 дн.раб.неделя |
Для осуществления грузоперевозок выбрать транспортное средство.
Время простоя автомобиля под погрузкой и разгрузкой для расчетов рекомендуется 4 мин на 1 т труб.
Возможно принять время простоя автомобиля под погрузкой и разгрузкой согласно «Межотраслевые нормативы времени на погрузку, разгрузку вагонов, автотранспорта и складские работы», утвержденные Министерством труда и социального развития от 10.09.2000г. № 76.
ВАРИАНТ № 13
(номер варианта определяется по сумме двух последних цифр номера зачетной книжки)
Тема: ПЕРЕВОЗКА НАЛИВНЫХ ГРУЗОВ (СВЕТЛЫЕ НЕФТЕПРОДУКТЫ) Содержание курсовой работы Введение 1 Исходные данные
2 Построение эпюры грузопотоков
3 Выбор транспортного средства
4 Расчет показателей работы подвижного состава на маятниковых маршрутах
5 Производственная программа по эксплуатации 6 График совместной работы автомобилей и погрузочно-разгрузочных постов для пункта А1 7 Технико-эксплуатационные показатели АТП Заключение
Приложение Графическая часть (формат А-1, 1-2 листа).
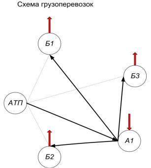
Таблица 1- Среднесуточный объем перевозки грузов по заявкам грузоотправителей и грузополучателей
|
|
|
|
|
|
|
|
|
|
Q |
|
№ |
Грузоотправители |
Грузополучатели |
Род груза |
Способ |
Коэф. |
сут |
|||||
перевозки |
γк |
кол- |
|||||||||
|
|
|
|
|
|
|
|
||||
|
|
|
|
|
|
|
|
|
|
во ,т |
|
|
Нефтебаза |
АТП |
|
|
|
|
|
|
|
||
1 |
А1 |
«СтройТранс» |
бензин АИ |
налив |
0,75 |
70 |
|||||
|
|
Б1 |
|
|
|
|
|
|
|
||
2 |
Нефтебаза |
ООО «БСК» |
диз.топливо |
налив |
0,78 |
60 |
|||||
А1 |
Б2 |
|
|
||||||||
|
|
|
|
|
|
|
|
||||
3 |
Нефтебаза |
МКП «ПАТП» |
бензин АИ |
налив |
0,75 |
80 |
|||||
А1 |
Б3 |
|
|
||||||||
|
|
|
|
|
|
|
|
||||
|
Таблица 2 - Расстояние между грузопунктами, км |
|
|
||||||||
|
|
|
|
А1 |
|
АТП |
|
|
|
|
|
|
|
|
Б1 |
18 |
|
9 |
|
|
|
|
|
|
|
|
Б2 |
15 |
|
8 |
|
|
|
|
|
|
|
|
Б3 |
17 |
|
7 |
|
|
|
|
|
|
|
|
АТП |
9 |
|
|
|
|
|
|
|
Рисунок - Схема перевозок
Таблица 3 - Показатели работы автомобилей
№ |
Наименование показателей |
Количество |
1 |
Плановое время в наряде, час |
8,0 |
2 |
Среднетехническая скорость, км/час |
33,0 |
3 |
Суточный коэффициент выпуска |
0,9 |
4 |
Срок вывозки груза, дни |
6 дн.раб.неделя |
Для осуществления грузоперевозок выбрать транспортное средство.
Время простоя автомобиля под погрузкой и разгрузкой для расчетов рекомендуется 3 мин на 1 т.
Возможно принять время простоя автомобиля под погрузкой и разгрузкой согласно «Межотраслевые нормативы времени на погрузку, разгрузку вагонов, автотранспорта и складские работы», утвержденные Министерством труда и социального развития от 10.09.2000г. № 76.
ВАРИАНТ № 14
(номер варианта определяется по сумме двух последних цифр номера зачетной книжки)
Тема: ПЕРЕВОЗКА МАССОВЫХ НАВАЛОЧНЫХ ГРУЗОВ (ОПИЛКИ) Содержание курсовой работы Введение 1 Исходные данные
2 Построение эпюры грузопотоков
3 Выбор транспортного средства
4 Расчет показателей работы подвижного состава на маятниковых маршрутах
5 Производственная программа по эксплуатации 6 График совместной работы автомобилей и погрузочно-разгрузочных постов для пункта А1 7 Технико-эксплуатационные показатели АТП Заключение
Приложение Графическая часть (формат А-1, 1-2 листа).
Таблица 1- Среднесуточный объем перевозки грузов по заявкам грузоотправителей и грузополучателей
|
|
|
|
|
Способ |
Коэф |
Кол- |
Кол |
|
|
Грузоотправител |
Грузополучател |
Род |
во |
-во |
||||
№ |
перевозк |
. |
|||||||
и |
|
и |
груза |
куб. |
,т |
||||
|
|
и |
γк |
||||||
|
|
|
|
|
м |
|
|||
|
|
|
|
|
|
|
|
||
1 |
ДОК №1 |
А1 |
Фанерная |
опилк |
навалом |
0,44 |
60 |
|
|
|
|
фабрика Б1 |
и |
|
|||||
|
|
|
|
|
|
|
|||
2 |
ДОК №1 |
А1 |
ООО «Зеленхоз» |
опилк |
навалом |
0,44 |
90 |
|
|
|
|
Б2 |
и |
|
|||||
|
|
|
|
|
|
|
|||
|
ДОК №1 |
А1 |
МКП |
опилк |
|
|
|
|
|
3 |
|
|
«ГорСвалка» |
навалом |
0,44 |
80 |
|
||
|
|
и |
|
||||||
|
|
|
Б3 |
|
|
|
|
||
|
|
|
|
|
|
|
|
||
ДОК – дерево – обрабатывающий комбинат.
Таблица 2 - Расстояние между грузопунктами, км А1 АТП
Б1 |
17 |
7 |
Б2 |
18 |
8 |
Б3 |
16 |
6 |
АТП |
8 |
|
Рисунок - Схема перевозок
Таблица 3- Показатели работы автомобилей
№ |
Наименование показателей |
Количество |
1 |
Плановое время в наряде, час |
8,0 |
2 |
Среднетехническая скорость, км/час |
32,0 |
3 |
Суточный коэффициент выпуска |
0,88 |
4 |
Режим работы АТП, дни |
6 дн.раб.неделя |
Для осуществления грузоперевозок выбрать транспортное средство.
Время простоя автомобиля под погрузкой и разгрузкой для расчетов рекомендуется 2 мин на 1 т.
Возможно принять время простоя автомобиля под погрузкой и разгрузкой согласно «Межотраслевые нормативы времени на погрузку, разгрузку вагонов, автотранспорта и складские работы», утвержденные Министерством труда и социального развития от 10.09.2000г. № 76.
ВАРИАНТ № 15
(номер варианта определяется по сумме двух последних цифр номера зачетной книжки)
Тема: ПЕРЕВОЗКА КАРТОФЕЛЯ ПОТОЧНО-ПЕРЕВАЛОЧНЫМ МЕТОДОМ Содержание курсовой работы Введение 1 Исходные данные
2 Построение эпюры грузопотоков