Материал: 4413

Внимание! Если размещение файла нарушает Ваши авторские права, то обязательно сообщите нам

В случае торможения автомобиля, совершающего поворот на дуге окружности радиуса R и с постоянной скоростью v (схема действия реактивных сил на колесах автомобиля показана на рис. 21 пунктиром), уравнение (25) можно записать в виде:

где Pтор - сила торможения, приходящаяся на заднюю ось. Тогда скорость автомобиля определится по формуле:

(27)

Приведенный анализ относится к случаю движения автомобиля с постоянной скоростью на повороте постоянного радиуса. В действительности движение автомобиля характеризуется переменными значениями этих параметров, а потеря устойчивости автомобилем часто происходит именно при изменении скорости движения или радиуса поворота.

Рассмотрим схему движения автомобиля на повороте при переменных значениях скорости и радиуса. Траектория движения автомобиля в этом случае имеет вид, показанный на рис. 23.

Рис. 23. Схема движения автомобиля на повороте

 

На участке 1-2 начинается поворот автомобиля с постепенным увеличением угла

поворота

управляемых колес. При этом автомобиль движется по кривой переменного радиуса R кривизны. Далее на участке 2-3 автомобиль движется при постоянном положении управляемых колес. Радиус поворота автомобиля R=const.

На участке 3-4 автомобиль начинает выходить из поворота с постепенным уменьшением угла поворота управляемых колес и снова движется по кривой переменного радиуса. В точке 4 поворот полностью закончен и автомобиль начинает прямолинейное движение. На схеме рис. 23 цифрами 1-4 обозначены положения точки В автомобиля.

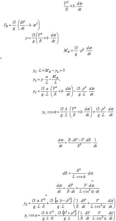
Движение автомобиля в рассматриваемом случае можно представить состоящим из двух движений: из движения точки В вокруг мгновенного центра поворота О и вращения автомобиля вокруг точки В.

В результате движения точки В автомобиля вокруг мгновенного центра возникают нормальное V2/R и касательное dV/dt ускорения, которые могут быть перенесены в центр масс автомобиля. В результате вращения автомобиля вокруг точки В с переменной угловой скоростью и центре масс возникают нормальное b 2 и касательное bdV/dt ускорения.

Суммарное ускорение центра масс автомобиля, направленное вдоль его оси, равно

,

а направленное перпендикулярно продольной оси –

.

При движении центра масс автомобиля с ускорением возникают силы инерции: касательная сила инерции

инормальная боковая сила инерции

,а также инерционный момент, который равен

где - радиус инерции автомобиля.

Определим величины боковых сил, действующих на переднюю и заднюю оси автомобиля, составляя уравнение моментов сил относительно точки А – центра передней оси

(28)

Аналогично предыдущему из условий равновесия моментов по отношению к вертикальной оси, проходящей через точку В – середину задней оси, получим:

Известно, что

,

тогда

;

Из рис. 23 следует, что

,

тогда

Подставляя полученное выражение для dR в уравнение для d /dt, получим:

Подставляя выражение для d /dt в уравнение для определения боковых сил y1 и y2, получим:

(29)

(30)

Из уравнений (29) и (30) следует, что увеличение ускорения dV/dt автомобиля повышает боковые реакции y1 и y2, а следовательно, понижает боковую устойчивость автомобиля при движении по первой переходной кривой, на рис. 23 – отрезок 1-2 траектории поворота. Скорость поворота управляемых колес da/dt при движении по первой переходной кривой положительна и поэтому ее увеличение также приводит к увеличению боковых реакций и к ухудшению боковой устойчивости автомобиля.

Аналогичный анализ, проведенный для второй переходной кривой, на рис. 23 – отрезок 3-4, показывает, что увеличение ускорения автомобиля dV/dt и скорости поворота управляемых колес d /dt уменьшает величины боковых реакций на колесах автомобиля, т.е. повышает его боковую устойчивость.

Поэтому для сохранения боковой устойчивости автомобиля при быстром движении на повороте следует двигаться по первой переходной кривой с замедлением и возможно медленнее поворачивать управляемые колеса, а по второй с ускорением и поворачивать управляемые колеса возможно быстрее.

3.3. Влияние конструктивных параметров автомобиля на его поперечную устойчивость

Устойчивость кузова против бокового наклона при действии на него боковой силы оценивают коэффициентам С поперечной устойчивости кузова:

где - приведенная угловая жесткость подвески и шин автомобиля в Н см/радиан; G’ - сила веса подрессоренных масс автомобиля в Н;

hk - расстояние от центра тяжести подрессоренных масс до оси поперечных колебаний автомобиля. Приведенная угловая жесткость подвески и шин автомобиля определяется величиной момента, который

нужно приложить в поперечной плоскости, проходящей через центр тяжести кузова, чтобы наклонить его на определенный угол относительно плоскости дороги.

Расстояние hk от центра тяжести подрессоренных масс до оси поперечных колебаний кузова может быть определено при известном расположении этой оси на автомобиле. При симметричной конструкции автомобиля центр поворота кузова лежит в продольной плоскости. Кинематические исследования подвесок разных типов дают основание полагать, что при зависимой подвеске центр поворота располагается между уровнем расположения опорных площадок рессор и уровнем их крепления к кузову.

При независимой подвеске на одном рычаге центр поворота лежит выше шарниров крепления рычагов к кузову. При независимой подвеске на двух поперечных рычагах центр поворота лежит около плоскости опоры колес.

Большое влияние на поперечную устойчивость автомобиля оказывает распределение масс вдоль его продольной оси. В легковых автомобилях массы распределяют так, чтобы части веса, приходящиеся на переднюю и заднюю оси, были примерно равными (G1 G2).

Такое распределение веса по осям можно получить различным расположением масс вдоль продольной оси автомобиля, влияющим на момент инерции автомобиля относительно вертикальной оси, проходящей через центр тяжести.

Величина этого момента инерции оказывает существенное влияние на поперечную устойчивость автомобиля.

Выше отмечено, что наиболее опасным для устойчивости автомобиля является занос задней оси; наиболее вероятен занос задней оси при входе автомобиля в поворот, т.е. в момент увеличения угла поворота управляемых колес. В этих условиях движения величина боковой силы, действующей на задние колеса автомобиля, определяется уравнением (25).

Произведение в последнем члене уравнения определяет собой величину инерционного момента, действующего на автомобиль при его повороте и уменьшающего боковую силу, нагружающую задние колеса. Таким образом, увеличение этого момента способствует улучшению поперечной устойчивости автомобиля.

При проектировании автомобиля можно увеличить его момент инерции , располагая все массы возможно дальше от середины базы автомобиля, тем самым увеличивая радиус инерции 2. Это достигается обычно размещением багажника, запасного колеса, топливного бака, а иногда и двигателя возможно дальше от середины базы.

ПРИМЕРЫ РАСЧЕТОВ

Пример 1.

По дороге движутся два грузовых автомобиля, один порожний, другой с грузом на платформе. Требуется определить, какие максимальные скорости движения на поворотах с радиусом R = 50 м могут быть допущены для обоих автомобилей, не вызывая их бокового опрокидывания.

Исходные данные: колея автомобиля В=1,6м; вертикальная координата центра тяжести порожнего автомобиля h=0,84м, груженого h’=1,33м; дорога имеет поперечный уклон =30, направленной в сторону центра закругления.

Определяем предварительно предельные статические углы поперечной устойчивости автомобилей по формуле (20):

У порожнего автомобиля

 

У груженого автомобиля

 

Допустимые максимальные скорости

 

движения на повороте (см. схему на рис.

 

24) подсчитываем по формуле (23):

 

для порожнего автомобиля

Рис. 24. Схема к примеру 1 п.3

 

Для груженого автомобиля

 

Результаты расчета показывают, что при наличии груза на платформе безопасная скорость движения автомобиля по опрокидыванию на повороте оказалась на 25% ниже, чем при движении без груза.

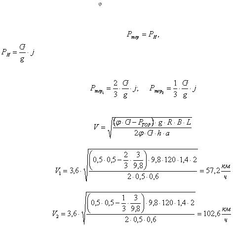
Пример 2.

При движении автомобиля по дуге окружности радиусом R=120м производится его притормаживание с замедлением j=3м/с. Определить критические скорости по боковому скольжению передней и задней осей на дороге с коэффициентом сцепления =0,5. Соотношение тормозных сил на передних и задних колесах составляет 2:1, высота расположения центра тяжести h=0,6м, колея В=1,4м, центр тяжести автомобиля расположен посередине длины его продольной базы.

Величина тормозной силы при известном замедлении автомобиля равна силе инерции, т.е.

где

С учетом заданного соотношения тормозных сил на передних и задних колесах силы торможения будут соответственно равны:

Критические скорости автомобиля по боковому скольжению осей при его повороте (см. схему на рис. 21) подсчитываем по формуле (27):

Учитывая, что по условию задачи L=2а, для передней оси автомобиля

Для задней оси автомобиля

.