Материал: 3994

Внимание! Если размещение файла нарушает Ваши авторские права, то обязательно сообщите нам

31

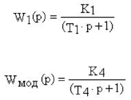
передаточная функция регулятора:

передаточная функция эталонной модели выбрана в виде:

Функции адаптера в контуре самонастройки выполняет усилитель с коэффи-

циентом усиления K3.

Содержание работы

1.Определить переходный процесс в системе без включения эталонной моде-

ли. Параметры объекта и регулятора рекомендуются следующие:

Kob =1; Tob =0.3; Кr =1; Тr =1.

Выявить зависимость качества регулирования от изменения параметров объ-

екта регулирования (Коб или Тоб), вызванных внешними возмущениями.

2. Настроить контур самонастройки на приемлемое качество самонастройки,

увеличивая коэффициент усиления контура K3.

З.Определить переходный процесс в этой же системе при включении контура самонастройки и эталонной модели с параметрами:

Kм =1; Tм =0.3;

при тех же изменениях параметров объекта, вызванных внешними возмуще-

ниями. Добиться наилучшей адаптации системы к внешним возмущениям.

Вопросы для самоподготовки:

1.Каковы основные недостатки адаптивных систем данного типа? На-

сколько легко практически реализовать данный алгоритм?

2.Как по-вашему можно реализовать усилитель с очень большим коэффи-

циентом усиления?

3.Существуют ли какие-то ограничения на параметры эталонной модели,

или их можно задавать сколь угодно малыми?

32

Лабораторная работа №5 Исследование систем с переменной структурой

Цель работы: изучение качества регулирования СПС в зависимости от пара-

метров переключаемых регуляторов и от уравнения гиперповерхности переключе-

ния

Системы с переменной структурой (СПС) являются отдельным классом адап-

тивных систем, называемым иногда самоорганизующимися системами. Управ-

ляющее устройство СПС имеет несколько структур, реализующих различные зако-

ны регулирования. В процессе работы под действием определенных команд проис-

ходит подключение к объекту этих структур в определенной последовательности. В

результате система в целом приобретает свойства, которых она не могла бы иметь при работе с фиксированной структурой управляющего устройства. Этим можно воспользоваться для существенного улучшения качества регулирования или для со-

хранения неизменным показателя качества в адаптивных системах.

Анализ работы СПС проводят методом фазовой плоскости в координатах ошибки регулирования X1 и ее производной X2. В этом фазовом пространстве вы-

деляют гиперповерхность, проходящую через начало координат и пересекающую фазовую плоскость по определенным линиям (линиям переключения). Эта гиперпо-

верхность называется гиперповерхностью переключения. Всякий раз, когда изо-

бражающая точка попадает на гиперповерхность, происходит переключение струк-

тур в управляющем устройстве. Логику переключения всегда можно подобрать так,

чтобы в результате нескольких переключений устанавливался устойчивый режим работы.

В практике синтеза СПС наиболее интересно направление по созданию искусственных гиперповерхностей, когда структуры и их параметры подбираются та-

ким образом, чтобы фазовые траектории изображающей точки в окрестности гипер-

поверхности располагались так, чтобы изображающая точка, раз попав на гиперпо-

верхность, уже не могла ее покинуть и, двигаясь по ней в соответствии с ее диффе-

33

ренциальным уравнением, приходила бы в стационарное состояние. Такой режим называют идеально СКОЛЬЗЯЩИМ, вы познакомились с ним в третьей лаборатор-

ной работе.В скользящем режиме переключение структур происходит с большой частотой, а движение изображающей точки уже не зависит от параметров переклю-

чаемых структур и определяется только уравнением гиперповерхности.

Мы рассматриваем работу объекта второго порядка, управляемого идеальным регулятором пропорционального или интегрального типа. В зависимости от свойств управляемого объекта фазовые портреты систем будут различные.

СИСТЕМА 1 состоит из астатического объекта и астатического регулятора,

следовательно в такой фиксированной структуре является структурно-

неустойчивой:

Уравнения движения системы относительно ошибки регулирования пусть имеют вид:

где Кr – коэффициент передачи регулятора;

К – коэффициент передачи управляющего устройства;

U – управляющее воздействие на входе регулятора.

Так как корни характеристического уравнения системы являются чисто мни-

мыми, то фазовый портрет представляет собой эллипс с центром в начале коорди-

нат. Направление большей полуоси эллипса зависит от коэффициента усиления ре-

гулятора.

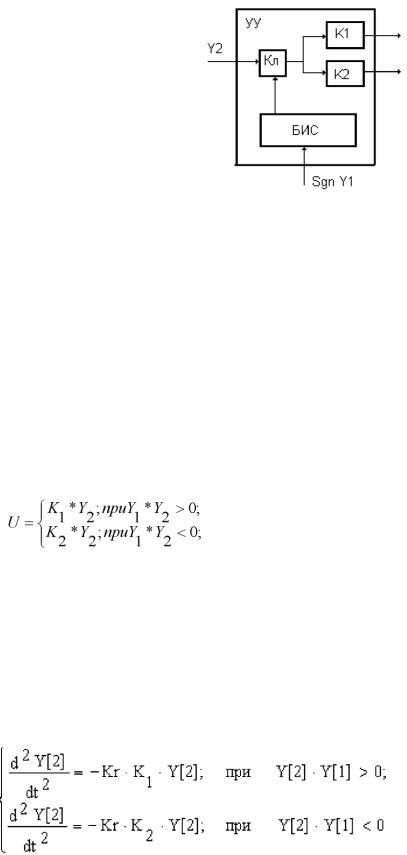
Предположим, что структура управляющего устройства имеет вид:

34

где K1 и K2 - коэффициенты усиления регулятора ( пусть K1>K2>0); Kл - управляемый ключ;

БИС - блок изменения структуры.

БИС управляет переключением структур с коэффициентами K1 и K2 в зави-

симости от информации о состоянии системы.

Допустим также, что информация о состоянии системы не является полной,

мы можем измерять только сигнал ошибки Y[2] и знак ее производной Sgn Y[1].

Тогда логика переключений структур УУ для обеспечения устойчивого режи-

ма работы должна быть такой:

то есть когда система находится в 1 или 3 квадрантах фазовой плоскости, то работает регулятор K1, а когда она находится во 2 или 4 квадрантах, то включается регулятор K2.

Линиями переключения структур будут оси координат фазовой плоскости.

Уравнения движения системы будут иметь следующий вид:

Переходный процесс в такой системе представляет собой затухающие колеба-

ния. Это видно из фазового портрета системы.

Таким образом в этой системе за счет сочетания неустойчивых структур мож-

35

но получить устойчивую структуру. Важно то, что для этого мы используем ограни-

ченную информацию о процессе. Однако качество регулирования нас не устраивает,

колебательность процесса слишком велика.

СИСТЕМА 2 имеет такую же структуру:

Уравнения движения системы относительно ошибки регулирования без учета управляющего устройства УУ имеют тот же вид:

Фазовый портрет системы, так как корни ее являются чисто мнимыми, пред-

ставляет собой эллипс с центром в начале координат. Направление большей полу-

оси эллипса зависит от коэффициента усиления регулятора.

Предположим,что структура управляющего устройства имеет тот же вид, но, в

отличие от системы 1 , мы можем измерять сигнал ошибки Y2 и знак некоторой S-

комбинации сигналов Y1 и Y2:

где С=const.

Данное выражение является уравнением прямой, проведенной на фазовой плоскости через начало координат. Назовем эту линию гиперлинией вырожденно-

го движения. Величина C определяет угол наклона линии. Эту линию и будем в данном случае считать линией переключения структур. Второй линией переключе-

ния является ось координат фазовой плоскости Y[2]=0.

Тогда логика переключений структур УУ для обеспечения устойчивого режи-

ма работы может быть иной: