Материал: 3994

Внимание! Если размещение файла нарушает Ваши авторские права, то обязательно сообщите нам

21

динат, а постоянные времени сглаживающих фильтров выбирая заведомо больши-

ми. В этом случае управляемая функция F изменяется во времени медленнее, чем от изменения рабочих управляемых координат.

В лабораторной работе рассматривается одномерная система экстремального регулирования, работающая по способу запоминания экстремума.

Система действует следующим образом. На вход объекта подается пробное воздействие и оценивается значение управляемой функции F. Определяются те воз-

действия, которые приближают F к экстремуму. Затем прикладываются рабочие воздействия к объекту и т. д. После прохождения точки экстремума F происходит реверс на входе объекта и начинаются колебания системы вокруг этой точки. В не-

прерывных экстремальных системах поисковые и рабочие воздействия производят-

ся одновременно.

Выходная величина объекта F подается на запоминающее устройство ЗУ экс-

тремального регулятора. Пусть имеем экстремуммаксимум и запоминание проис-

ходит только при увеличении F. На уменьшение F запоминающее устройство не реагирует. Сигнал с ЗУ непрерывно подается на элемент сравнения и затем сигнал разности (F-Рэ) поступает на сигнум-реле СР и далее на исполнительный механизм ИМ. При срабатывании реле запомненное значение F сбрасывается, и запоминание

F начинается снова.

Например, если F является электрической величиной, то схема запоминающе-

го устройства может быть такой:

22

Напряжение U1, пропорциональное выходу объекта, подается на запоминаю-

щий конденсатор С через диод D. Диод шунтирован контактом сигнум-реле, кото-

рый замыкается при срабатывании. При увеличении U1 диод пропускает входное напряжение, заряжая конденсатор до напряжения U1.

Когда экстремум-максимум достигнут и напряжение U1 начинает уменьшать-

ся, то диод запирается, появляется напряжение U2 на выходе схемы, которое про-

порционально разности dF = (F- Fэ). Когда dF превысит зону нечувствительности сигнум-реле, происходит его срабатывание и реверс исполнительного механизма.

При этом контакты К реле замыкаются и происходит сброс запомненного значения

F. Конденсатор снова заряжается до текущего значения F, и цикл работы повторяет-

ся.

Обобщенная структурная схема исследуемой системы представлена на рисун-

ке:

Статическая характеристика объекта имеет экстремум-максимум и описывает-

ся следующей зависимостью:

где К- коэффициент передачи объекта.

В динамике уравнение объекта можно представить звеном первого порядка:

где Т1постоянная времени объекта, или:

23

Уравнение исполнительного механизма с постоянной скоростью будет:

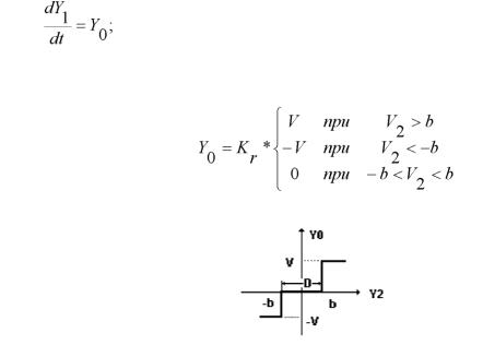
Уравнение релейного регулятора возьмем в виде:

Содержание работы.

1.Определить потери на поиск в переходном процессе экстремальной сис-

темы с параметрами:

К=1; Т1=1с; V=1; зона нечувствительности D = 0.5 при изменении коэффици-

ента усиления регулятора Кг.

Найти среднее значение потерь на поиск.

1.Выполнить пункт 1 для этой же системы при изменении зоны нечувст-

вительности регулятора D.

2.Выводы отразить в отчете по работе.

Вопросы для самоподготовки:

1.Что называют потерями на поиск? Как они рассчитываются?

Покажите на графике время переходного процесса в экстремальной системе.

2.Что называют квацистационарным режимом работы экстремальной сис-

темы? Этот режим создается реально в системе при проектировании или это мате-

матический формализм, удобный для анализа системы.

3.Представьте математическую модель системы в форме Коши.

24

Лабораторная работа № 3

Методы организации движения к точки экстремума в

самонастраивающихся системах

Цель работы: количественная оценка быстродействия и точности установле-

ния экстремума в конкретной экстремальной системе при использовании различных способов движения к состоянию экстремума. Наиболее точным принять метод Гаус-

са-Зайделя .

В поисковых самонастраивающих системах, к которым относятся и системы экстремального управления, оптимизация критерия качества осуществляется с по-

мощью специальных поисковых сигналов. Они позволяют определить направление изменение контролируемых параметров системы, соответствующее приближению к положению экстремума показателя качества. Поэтому обязательной составной ча-

стью этих систем является устройство организации движения к положению экстре-

мума. Сложность его определяется принятым алгоритмом поиска экстремума.

Методы поиска экстремума функций многих переменных часто используются в теории управления. Рассмотрим основные сведения по наиболее часто используе-

мым алгоритмам:

методу Гаусса-Зайделя,

методу градиента,

методу наискорейшего пуска.

Фактически все три процедуры относятся к градиентным методам и включают

всебя два этапа:

определение составляющих градиента,

организация движения к состоянию экстремума.

Мы рассмотрим здесь второй этап – движение к экстремуму, считая, что со-

ставляющие градиента уже определены каким-либо способом.

1.Метод Гаусса-Зайделя.

Процедура поиска экстремума здесь наиболее простая: начиная с начального значения управляемой функции F0(X1,X2,...Xn), изменяют одну координату X1, ос-

тавляя другие неизменными, до тех пор, пока градиент функции F по координате X1

25

не обратится в ноль:

Затем эту же процедуру повторяют, изменяя координату X2 и т.д.

Дойдя до конца цикла, снова начинают изменять координату X1 и измерять

F , которая к этому времени стала отличной от нуля.

x1

Несколько циклов такой процедуры приведут к положению, когда градиент функции grad F с наперед заданной погрешностью будет близок к нулю.

Недостаток метода по сравнению с другими - малое быстродействие в дости-

жении экстремума, преимущество - высокая точность определения положения экс-

тремума.

2.Метод градиента.

В начальном положении F0 определяют градиент функции F:

Затем устанавливают скорость изменения каждой координаты системы по правилу:

то есть пропорционально своей составляющей градиента.

Здесь значение “+а” соответствует экстремуму-максимуму, а “-а” соответст-

вует экстремуму-минимуму.

Недостатком метода является тот факт, что его сходимость, т.е. точность уста-

новления экстремума существует только для глобального экстремума. Это значит,

что, если функция F имеет много локальных экстремумов наряду с глобальным, то для выхода в область глобального экстремума необходимо применить другие мето-

ды либо многократно использовать метод градиента при разных начальных услови-

ях.