Материал: 336

Внимание! Если размещение файла нарушает Ваши авторские права, то обязательно сообщите нам

мошенников. Безусловно, что инициатива должна быть абсолютно взаимной, в

противном случае желаемого результата достигнуть будет сложно.

Литература

Нормативная литература:

1.Уголовный Кодекс Российской Федерации. М: Омега-Л, 2010.

2.Уголовно-процессуальный кодекс Российской Федерации. М: Оме-

га-Л, 2010.

3.Гражданский кодекс Российской Федерации. М: Омега-Л, 2010.

4.Гражданский процессуальный кодекс Российской Федерации. М: Омега-Л, 2010.

5.Кодекс Российской Федерации об административных правонарушениях. - М.: Эксмо, 2010.

6.Федеральный закон РФ «О Центральном банке Российской Федера-

ции (Банке России)» от 10 июля 2002 г. № 86-ФЗ (ред. От 12.06.2006 г.) //СЗ РФ. - 2002. - № 28.

7.Федеральный закон «О банках и банковской деятельности» от 02.12.1990 № 395-1 (ред. от 02.11.2007 с изм. и доп., вступившими в силу с 01.01.2008)//СЗ РФ,-2003.-№50.

8.Федеральный закон РФ «О валютном регулировании и валютном контроле» от 10 декабря 2003 г. № 173-ФЗ (ред. от 18.07.2005 г.) // СЗ РФ. - 2002. -№43.

9.Федеральный закон РФ «О несостоятельности (банкротстве) кре-

дитных организаций» от 26 октября 2002 г. № 127-ФЗ (ред. от 01.12.2007 г. с изм. и доп., вступившими в силу с 01.01.2008) // СЗ РФ.-2003.-№50.

10.Положение об организации внутреннего контроля в кредитных организациях и банковских группах (Утверждено Центральным Банком Российской Федерации 16 декабря 2003 г. № 242-П) // Вестник Банка России. - 2004. -

t.

11.Положение Центрального банка Российской Федерации от 31 августа 1998 г. № 54-П «О порядке предоставления (размещения) кредитными организациями денежных средств и их возврата (погашения)» (ред. от 27 июля 2001 г) // Вестник Банка России. - 2001. -№734.

12.Приложение 2 к Положению Банка России от 26 марта 2004 г. № 254-П «О порядке формирования кредитными организациями резервов на возможные потери по ссудам, ссудной и приравненной к ней задолженности» // Вестник Банка России. - 2004. - № 54.

13.Письмо Центрального банка Российской Федерации от 29 мая 2003 г. № 05-13-5/1941 «О порядке предоставления кредитными организациями денежных средств» // Бизнес и банки. - 2003. -№36.

14.Постановление Пленума Верховного Суда РФ от 27.12.2007 г. № 51 «О судебной практике по делам о мошенничестве, присвоении и растрате» // Бюллетень Верховного Суда РФ. - 2008. - № 2. ~ С. 11.

61

15.Постановление Пленума Верховного Суда РФ «О некоторых вопросах применения судами законодательства об ответственности за преступления против собственности» от 25.04.1995 г., № 5 (ред. от 27.12. 2002 г.) // Бюллетень Верховного Суда РФ. - 1995. - №7.

16.Определение Судебной Коллегии по уголовным делам Верховного Суда РФ от 26 июля 1999 г. // Бюллетень Верховного Суда РФ. -2001.- №8. ~С.

11.-12.

17.Статистический сборник «Состояние преступности в России за ян- варь-декабрь 2009 г.» М., 2010.

18.Сводный отчет по России за 2000-2005 г.г. Форма 5 / ГИЦ МВД России. М., 2006.

Монографии, учебники, учебные пособия:

1.Комментарий к Уголовному кодексу Российской Федерации//под. ред. Лебедева В.М. М., 2006.

2.Комментарий к Уголовно-процессуальному кодексу Российской Федерации//под. ред. Лебедева В.М. М., 2007.

3.Уголовное право России. Особенная часть: Учебник /под ред. А. Н. Игнатова, Ю.А. Красикова. М., 2003.

4.Уголовное право. Особенная часть / отв. ред. И.Я. Козаченко, З.А. Незнамова, Г.П. Новоселов. - М., 1997.

5.Уголовное право Российской Федерации. Общая часть / Под ред. Л.В. Иногамовой-Хегай, А.И. Рарога, А.И. Чучаева. М., 2004.

6.Сабитов Р.Л., Сабитова Е.Ю. Квалификация преступлений, совершенных с документами. Челябинск, 2007.

7.Сердюк П.Л. Мошенничество в сфере банковского кредитования.

М., 2009.

8.Бойцов А И. Преступления против собственности. СПб., 2002.

9.Бондарь А.В., Старков О.В., Упоров У.В. Мошенничество как вид преступного посягательства против собственности и особенности его проявления в сфере банковской деятельности. Сыктывкар, 2003.

10.Ожегов С.И., Шведова Н.Ю. Толковый словарь русского языка. М.:

АЗЪ, 1993.

11.Аванесов Г.А. Криминология. Прогностика. Управление. Горький: ГВШ МВД СССР, 1975. С. 83.

12.Словарь по уголовному праву /Отв. ред. А.В. Наумов. - М., 1997.

13.Тосунян ТА., Викулин А.Ю., Экмалян AM. Банковское право Российской Федерации. Общая часть: Учебник / Под общ. ред. Б.Н. Топорнина. - М., 2003.

14.Пинкевич ТВ. Уголовная ответственность за преступления в сфере экономической деятельности. - Ставрополь, 1999.

15.Российская банковская энциклопедия. - М., 1995.

16.Верш В.П. Преступления в сфере экономики. М., 1999.

17.Волженкин Б.В. Служебные преступления. СПб., 2000.

62

18.Галагуэс Н.Ф., Ларичев В.Д. Преступления в страховании: предотвращение, выявление, расследование. М., 2000.

19.Ларичев В.Д., Спирин Г.М. Коммерческое мошенничество в России: способы совершения, методы защиты. М., 2001.

20.Ларичев В.Д. Теоретические основы предупреждения преступлений

всфере экономики. М., 2010.

21.Кудрявцев В.Н. Причинность в криминологии (О структуре индивидуального преступного поведения). М.: Юридическая литература, 1968.

22.Шавгородский М.Д. Преступность, ее причины и условия в социалистическом обществе // Преступность и ее предупреждение. Л., 1966.

23.Криминология: Учебник/Под ред. Акад. В.Н. Кудрявцева, проф. В.Е. Эминова. М.: Юрист, 1995.

24.Криминология: учебник / Под. ред. Г.А. Аванесов. – 4-е издание, перераб. и доп. – М., 2006.

25.Жалинский А.Э. Социальное предупреждение преступлений в

СССР. Львов, 1976.

26.Антонян Ю.М., Еникеев М.И., Эминов В.Б. Психология преступника и расследование преступлений. - М.: Юрист, 1996.

27.Сахаров А.Б. Учение о личности преступника и его значение в профилактической деятельности органов внутренних дел. Лекция. М.: МВШМ МВД СССР, 1984.

28.Борисов И.Н., Иконников Д.Н., Ларичев В.Д. Кредитное мошенничество: противодействие при рассмотрении заявки и в процессе обслуживания кредита. М., 2009.

29.Тихомирова Л.М., Тихомиров М.Ю. Юридическая энциклопедия / Под ред. М.Ю. Тихомирова. М., 1999.

30.Парыгин Б.Д. Социальная психология как наука. Л., 1967.

31.Мельников А.А. Мошенничество и борьба с ним. М., 2002.

32.Судебная практика по уголовным делам / Сост. Г. А. Есаков. М.: Проспект, 2006.

33.Криминология: Словарь-справочник / Сост. Х.-Ю.Кернер; отв. ред. А.И. Долгова. М.: НОРМА, 1998.

34.Коротков А.П., Тимофеев А.В. 900 ответов на вопросы прокурор- ско-следственных работников по применению УПК РФ. М., 2004.

35.Андрианов Ю.В. Экспертиза транспортных средств при ОСАГО.

М., 2008.

36.Миркин Я.М., Зубков И.В., Росляк Ю.В., Сизов Ю.С., Лебедева З.А., Ширяев В.П., Тормозова Т.В. Правонарушения на финансовом рынке: Справочник для сотрудников правоохранительных органов / Под общ. ред. Полтавченко Г.С.. - М., 2007.

63

Приложение

Таблица № 1. Тенденции роста рынка автокредитования за период с 2002 г. до 2007 г.

Отчетный

Объем продаж автомобилей

Суммарная емкость

период

в кредит

рынка автокредитова-

 

 

 

ния

 

 

 

 

2002

г.

70 тысяч автомобилей

650 млн. USD

 

 

 

 

2003

г

170 тысяч автомобилей

1 млрд. 650 млн. USD

 

 

 

 

2004

г.

350 тысяч автомобилей

3 млрд. 600 млн. USD

 

 

 

 

2005

г.

500 тысяч автомобилей

5,5 млрд. USD

 

 

 

 

2006

г.

750 тысяч автомобилей

9 млрд. USD

2007

г.

1, 15 млн. автомобилей

16 млрд. USD

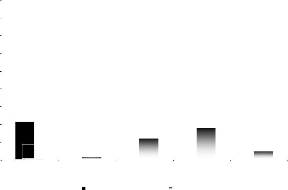
Таблица № 2 Доля автокредитов, выданных Сбербанком России в общей структуре коммерческих организаций

450

 

 

 

406

 

 

 

 

 

 

 

 

 

 

400

 

 

 

 

 

350

 

 

344

 

 

 

 

 

 

 

300

 

 

 

 

 

250

 

230

 

 

 

200

 

 

 

 

 

150

 

 

 

 

 

 

106

 

 

89

 

100

 

 

 

 

 

 

 

 

 

 

 

 

59

 

61

50

 

 

 

 

23

 

 

5.3

 

 

 

1.3

 

 

 

-

 

 

 

 

 

Выдано за 2005г.

Выдано за 2006г.

Выдано за 2007г.

Выдано за 2008г.

Выдано 1 полугодие

 

 

 

 

 

 

2009г.

 

 

Коммерческие банки

Сбербанк России

 

64

Оглавление

Введение……………………………………………………………………………...3 §1. Общая характеристика мошенничества, совершаемого в сфере кредитования покупки транспортных средств ……………………………………………………7

§2. Основные факторы, детерминирующие мошенничество в сфере кредитования покупки транспортных средств………..………………………….22

§ 3. Криминологическая характеристика личности преступников,

совершающих мошенничество, связанное с получением кредита на покупку транспортного средства…………..........................................................34

§ 4. Общесоциальные и специально-криминологические меры предупреждения мошенничества, совершаемого в сфере кредитования покупки транспортных средств……………………….…………………………43

Заключение………………………………………………………..........................61

Литература…………………………………………………………………………64

Приложение………………………………………………………………………..68

65