|
E3 |
|
I3 |
R3 |
|
|
a |
R2 |
I2 |
|
R5 |
I5 |
c |
С |
|
|
|
b |
d |
|
|
|
|
|
||
|
|
|
|
|
|
R4 |
|
J6 |
|
|||
|
|
|
|
|
|
|
|
|||||
|
|
|
|
|
|
|
|
|
||||
|
|
|
|
|
|
|
|
I4 UJ |
|
|
||
R1 |
|
|
|
|
|
|
|
|
|
|
||
|
|
|
|
E4 |
|
|
|
|
|
|||
|
|
|
|
|
|
|
|
|
|
|
||
|
|
|
|
|
|
|
|
|
I6 |
|
|
|
|
|
|
|
|
|
|
|
|
|
|
||
источн |
|
|
|
|
|
|
||||||
|
|
|
|
I1 |
|
|
|
|
|
|
|
|
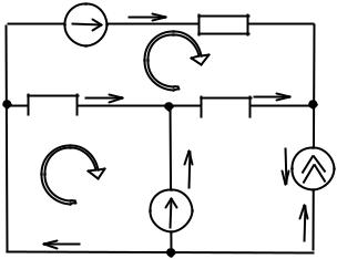
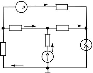
Р с. 1.7. Расчётная схема цепи постоянного тока |
|
|||||||||||
б |
|
|
|
|||||||||
Метод ка расчёта. |
Всего в схеме шесть ветвей pВ = 6, ветвей с |
|||||||||||
ками тока pТ = 1, число неизвестных токов равно p = pВ |
– pТ = 5, |
|||||||||||
количество узлов – q = 4, число уравнений по первому закону |
||||||||||||
Кирхгофа – (q – 1) = 4 – 1 = 3, число уравнений по второму закону |
||||||||||||
Кирхгофа – n = [p |
|
|
А |
|
|
|||||||
− (q – 1)] = 2. |
|
|
|
|
|
|
|
|||||
Выберем положительные направления токов и обозначим их стрелками. Выберем и о означим стрелками направления обхода двух
независимых контуров: I, II. Составим систему уравнений по законам |
||||||||
Кирхгофа согласно формулам (1.5) и (1.7). |
||||||||
Для узла a: |
|
|
|
|
Д |
|||
|
|
I1 − I |
2 − I |
3 |
= 0 |
; |
||
для узла b: |
|
|
I2 + I4 − I5 = 0; |
|||||
для узла c: |
I3 + I5 + I6 = 0 или I3 + I5 = −J6 ; |
|||||||
для контура I: |
R1I1 + R2 I2 − R4 I4 = −E4 ; |
|||||||
для контура II: |
− R2 I2 + R3I3 − R5I5 = E3. |
|||||||
Полученные уравнения после подстановки в них числовых зна- |
||||||||
чений будут иметь следующий вид: |
|
|
И |
|||||
|
I1 − I2 − I3 = 0; |
|||||||
|
|
2 |
+ I4 − I5 = 0; |
|
||||
|
I |
|
||||||
|
|
|
+ I5 = −2; |
|
|
|
||
|
I3 |
|
|
|
||||
|
I |
1 |
+ 2I |
2 |
− 4I |
4 |
= −20; |
|
|
|
|
|
|
|
|||
|
|
|
|
|
|
|
|
|
|
− 2I2 + 3I3 − 5I5 = 10. |
|||||||
16
Решение данной системы даёт числовые значения искомых то- |
||||||||||||||||
ков |
|
|
|
|
|
|
|
|
|
|
|
|
|
|
|
|
I1 = –4,24 А; I2 |
= –3,39 А; I3 |
= –0,85 А; I4 |
= 2,24 A; I5 = –1,15 А. |
|||||||||||||
Рассмотрим применение метода контурных токов для расчёта |
||||||||||||||||
токов. |
|
|
|
|
|
|
|
|
|
|
|
|
|
|
|
|
Выберем направления контурных токов (рис. 1.8), которые обо- |
||||||||||||||||
значим I11, I22 и J6 (последний известен). |
|
|
|
|
|
|
||||||||||
С |
|
E |
|
|
|
|
I3 |
|
|
R3 |
|
|
|
|
|
|
|
R2 |
I2 |
|
|
|
|
R5 |
I5 |
|
c |
|
|
||||
a |
|
|
b |
|
|
|
|
|
||||||||
|
|
|
|
|
|
|
|
|
|
|
|
|
|
|
|
|
|
|
|
|
|
|
|
|
|
R4 |
|
|
|
|
J6 |
||
|
|
|
I11 |
|
|
|
|
I4 |
|
|
|
|
|
|
|
|
иR1 |
E4 |
|
|
|
|
|
|
|
|
|||||||
|
|
|
|
|
|
|
|
|
|
|
|
|
|
|
|
|
|
|
|
I1 |
|
|
|
|
|
|
|
|
|
|
|
|
|
|
|
|
|
|
|
|
d |
|
|
|
|
|
|
|
|
|
б |
|
|
|
|
|
|
|
|||||||||
Рис. 1.8. Применение метода контурных токов |
||||||||||||||||
Составим систему уравнений по второму закону Кирхгофа для |
||||||||||||||||
контуров с токами I11Аи I22 (1.12): |
|
|
||||||||||||||
(R1 + R2 + R4 )I11 − R2 I22 + R4 J6 = −E4 ; |
||||||||||||||||
− R I |
11 |
+ |
(R |
2 |
+ R + R |
)I |
22 |
+ R J |
6 |
= E |
3 |
. |
||||
|
2 |
|
|
|
3 |
5 |
|
5 |
|
|
||||||
После подстановки числовых значений имеем |
|
|
||||||||||||||
|
|
|
|
|
|
|
Д |
|||||||||
|
|
7I11 − 2I22 |
+ 8 = −20; |
|
|
|
|
|||||||||
|
|
|
|
|
|
|
|
|
|
|
|
|
|
|
|
|
|
|
− 2I11 +10I22 +10 = 10. |
|
|
|
|
||||||||||
|
|
|
|
7I |
11 |
− 2I |
22 |
= −28; |
И |
|||||||
|
|
|
|
|
|
|
|
= 0. |
||||||||
|
|
|
|
− 2I11 +10I22 |
|
|
|
|
|
|||||||
Решив эту систему уравнений, найдём контурные токи |
||||||||||||||||
I11 = −4,24 А, I22 = −0,85А,
токи в ветвях определяем как алгебраическую сумму независимых контурных токов.
17
Ток I1 имеет направление контурного тока I11 |
и равен |
|
|
||||
|
|
I1 = I11 = –4,24 А. |
|
|
|
|
|
Ток I2 получится от наложения контурных токов I11 и I22 |
и будет |
||||||
равен |
|
|
|
|
|
|
|
I2 = I11 − I22 = −4,24 + 0,85 = −3,39А . |
|
|
|||||
Ток I3 совпадает с контурным током I22 и равен |
|
|
|||||
|
|
I3 = I22 = −0,85А. |
|
|
|
|
|
Ток I4 получ тся от наложения контурных токов I11 |
и J6 |
и |
|||||
будет равен |
I4 = −(I11 + J6 ) = 4,24 − 2 = 2,24 . |
|
|
||||
|
|
|
|||||
Ток I5 получ тся от наложения контурных токов I22 |
и J6 |
и |
|||||
будет равен |
I5 = −(I22 + J6 ) = 0,85 − 2 = −1,15 . |
|
|
||||
|
|
|
|||||
Рассмотр м пр менение метода узловых потенциалов для |
|||||||
расчёта токов. |
|
|
|
|
|
|
|
|
E |
I3 |
R3 |
|
|
|
|
a |
R2 |
I2 |
R5 |
I5 |
c |
|
|
|
|
|
b |
|
|
|
|
|
|
|
R4 |
|
J6 |
|
|
R1 |
|
E4 |
I4 |
|
|
|
|
|
|
|
|
|
|
|
|
|
I1 |
|
|
|
|
|
|
|
|
|
d |
|
|
|
|
Рис. 1.9. Применение метода узловых потенциалов |
|
|
|||||
СибАДИ |
|||||||
Примем равным нулю потенциал узла d, φd |
= 0 (рис. 1.9). Для |
||||||
остальных узлов составим уравнения по первому закону Кирхгофа: |
|
||||||
для узла a |
I1 − I2 − I3 = 0; |
для узла b |
I2 + I4 − I5 = 0; |
для узла c |
I3 + I5 − J6 = 0 или I3 + I5 = −2 . |
18
Выразим токи ветвей, применяя закон Ома (1.2), (1.3):
|
I1 = G1(ϕd − ϕa ) = −G1ϕa ; |
|
||
С |
I2 = G2 (ϕa − ϕb ); |
|
|
|
I3 = G3 (ϕa − ϕc + E3 ); |
|
|
||
= G4 (ϕd − ϕb + E4 )= G4 (− ϕb |
+ E4 ); |
|||
I4 |
||||
|
I5 = G5 (ϕb − ϕc ). |
|
|
|
Провод мости ветвей |
|
|
||
и |
|
|
||
G1 = 1 R1 = 1 |
См; G2 = 1 R2 = 0,5 См; G3 |
= |
1 R3 = 0,333 См; |
|
G4 = 1
R4 = 0,25 См; G5 = 1
R5 = 0,2 См.
стема уравнен й по первому закону Кирхгофа имеет вид |
|||||||||||||||||||||||||||||
б |
|
|
|
|
|
|
|
|
|
|
|
|
|||||||||||||||||
− G1ϕa |
− G2 (ϕa |
− ϕb ) |
− G3 (ϕa − ϕc + E3 ) = 0; |
||||||||||||||||||||||||||
G2 |
(ϕa − ϕb )+ G4 (− ϕb + E4 )− G5 (ϕb − ϕc ) = 0; |
||||||||||||||||||||||||||||
G |
(ϕ |
a |
− ϕ |
c |
+ E |
3 |
)+ G |
(ϕ |
b |
− ϕ |
) = −2. |
|
|
|
|
|
|
||||||||||||
3 |
|
|
|
|
|
|
|
|
|
5 |
|
|
|
|
c |
|
|
|
|
|
|
|
|
|
|
||||
|
|
|
|
|
А |
|
|
|
|
||||||||||||||||||||
− (G1 + G2 |
+ G3 )ϕa + G2 |
ϕb |
+ G3ϕc = G3E3 |
; |
|||||||||||||||||||||||||
G |
ϕ |
a |
− (G |
2 |
+ G |
4 |
+ G )ϕ |
b |
+ G |
ϕ |
c |
= −G |
E |
4 |
; |
||||||||||||||
|
2 |
|
|
|
|
|
|
|
|
|
5 |
|
|
|
5 |
|
|
|
|
|
4 |
|
|
||||||
G |
ϕ |
a |
+ G |
ϕ |
b |
− (G + G )ϕ |
c |
= −G E |
3 |
− 2. |
|
|
|||||||||||||||||
|
3 |
|
|
|
|
5 |
|
|
|
|
3 |
|
5 |
|
|
|
|
|
|
3 |
|
|
|
|
|
||||
|
|
|
|
|
|
|
|
|
|
|
|
|
Д |
||||||||||||||||
|
−1,833ϕa + 0,5ϕb + 0,333ϕc |
|
= 3,33; |
|
|
|
|||||||||||||||||||||||
|
|
|
|
|
|
|
|
|
|
|
|
|
|
|
|
|
= −5; |
|
|
|
|
|
|
||||||
|
0,5ϕa − 0,95ϕb + 0,2ϕc |
|
|
|
|
|
|
||||||||||||||||||||||
|
|
|
|
|
|
|
|
|
|
|
|
|
|
|
|
|
|
|
|
|
|
|
|
|
|
|
|
||
|
0,333ϕa + 0,2ϕb − 0,533ϕc = −5,33. |
|
|
|
|||||||||||||||||||||||||
Решение данной системы даёт числовые значения потенциалов |
|||||||||||||||||||||||||||||
узлов расчётной схемы |
|
|
|
|
|
|
|
|
|
|
|
|
|
|
|
|
|
|
|
|
|
|
|
|
|||||
ϕa |
= 4,242 В; |
ϕb |
|
= 11,031 В; ϕc |
|
= 16,790 В. |
|||||||||||||||||||||||
Подставив полученные значения потенциалов в уравнения зако- |
|||||||||||||||||||||||||||||
на Ома, получим значения токов ветвей: |
|
|
|
И |
|||||||||||||||||||||||||
|
|
|
|
|
|
|
|
|
|
|
I1 = −4,24А; |
|
|||||||||||||||||
I2 = 0,5(4,242 −11,031) = −3,39А;
I3 = 0,333(4,242 −16,790 +10) = −0,85 А;
I4 = 0,25(−11,031+ 20) = 2,24А;
I5 = 0,2(11,031 −19,790) = −1,15А.
19
|
Значения искомых токов, определённые тремя расчётными ме- |
|||||||||||||
тодами совпадают. |
|
|
|
|
|
|
|
|
|
|
|
|||
|
Применим метод эквивалентных преобразований для определе- |
|||||||||||||
ния тока I3 (рис. 1.10). |
|
|
|
|
|
|
|
|
|
|
||||
а |
E3 |
|
I3 |
R3 |
|
б |
E3 |
|
I3 |
R3 |
|
|
||
|
|
R25 |
|
|
|
|
|
R25 |
|
|
|
|||
СR24 |
J6 |
|
R1 |
|
|
R24 |
|
|
R45 |
|
J6 |
|||
R1 |
|
|
|
R45 |
|
|
|
|
|
|
|
|
|
|
|
|
E4 |
|
|
|
|
E41 |
|
|
|
E42 |
|
||
и |
|
|
|
|
|
|
|
|
|
|
||||
в |
E3 |
I |
3 |
R3 |
|
г |
E3 |
|
I |
3 |
R3 |
|
|
|
|
|
б |
|
|
R25 |
|
|
|
||||||
|
|
R25 |
|
|
|
|
|
|
|
|
||||
|
RЭ1 |
|
|
R45 |
J6 |
|
R |
Э1 |
|
|
|
R |
Э2 |
|
|
|
|
|
А |
|
|
|
|
|
|||||
|
EЭ1 |
|
|
|
|
|
EЭ1 |
|
|
|
EЭ2 |
|
||
|
|
E42 |
Д |
|
||||||||||
|
|
|
|
|
||||||||||
|
|
|
|
|
|
|||||||||
д |
E3 |
I3 |
R3 |
|
е |
E3 |
|
I3 |
R3 |
|
|
|||
|
|
R25 |
|
|
|
|
И |
|||||||
|
|
|
|
|
|
|
|
|
|
|
|
|
||
|
|
EЭ3 |
|
RЭ3 |
|
|
|
|
EЭ4 |
|
|
RЭ4 |
|
|
|
Рис. 1.10. Применение метода эквивалентных преобразований |
|
|
|||||||||||
20