Материал: 1875

Внимание! Если размещение файла нарушает Ваши авторские права, то обязательно сообщите нам

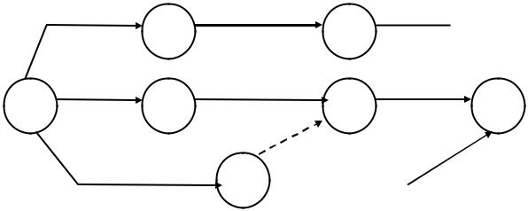
Совокупность всех критических и подкритических путей называют крити-

ческой зоной.

Работы, лежащие на этих путях требуют к себе внимания, так же как и работы критического пути. Пути записывают в соответствии с нарастанием значений кодов событий, составляющих путь.

1 2 2 3 3 Си1 2 3 бАД4 5 3 0 6 5 И4 7

Путь L1=1-2-3-7=1+2+3=6дн. L2=1-4-6-7=2+3+4=9 дн. L3=2-5-6-7=3+0+4=7 дн. L4=1-5-7=3+5=8 дн.

В этом сетевом графике критический путь описывается следующими собы-

тиями: 1-4-6-7=2+3+4=9

Критический путь на сетевом графике выделяется (жирной стрелкой, красной пастой). В сетевом графике может быть несколько критических путей.

Порядок разработки и построения сетевой модели

Прежде чем приступить к составлению сетевого графика. Надо тщательно изучить технологию организацию строительства проектируемого объекта. Исходными данными для разработки первичных сетевых графиков, охватывающих сферу работ каждого ответственного исполнителя на строящемся объекте являются: рабочая документация, сметы, проект производства работ, технологические карты, данные о поставке ресурсов, типы машин и оборудования, которые намечается использовать для производства работ, данные о составе бригад, действующие нормативные документы, калькуляции трудовых затрат, основные данные о фактической производительности труда, достигаемой при выполнении аналогичных видов работ в тех же условиях.

26

Построению графика предшествуют расчеты, которые могут оформляться в виде карточки – определителя работ, являющейся исходной документацией для составления сетевой модели.

Сетевой график строят от исходного к завершающему событию.

В ходе построения сети последовательность и взаимосвязь работ могут выявиться такими вопросами:

1. Какие работы необходимо выполнить и какие условия необходимо обес- СибАДИпечить, чтобы можно было начать новую работу.

2. Какие работы можно целесообразно выполнять параллельно с данной работой.

3. Какие работы можно начинать только после окончания данной работы.

Эти работы выражают технологическую взаимосвязь между отдельными работами и обеспеч вают логическую строгость сетевого графика, его соответствие модел руемому комплексу работ.

Первоначально сетевые графики строят без учета продолжительности со-

ставляющих ее работ поэтому длина стрелок зависит только от необхо-

димости обеспеч ть простую и ясную структуру сети и систематизировано расположить показатели записать наименования по каждой работе.

После того, как составлен первый вариант сети, проверяют правильность построения, просматривая ее от исходного события до завершающего и обратно, и устанавливают, со людены ли все правила построения сети.

При составлении первичных сетевых графиков, имеющих наибольшую детализацию, учитывают следующие требования к детализации работ:

а) технология работ должна быть полной; б) каждая стрелка должна выявлять отдельную работу;

в) детализация работ должна обеспечивать планирование и управлять деятельностью самостоятельных ресурсов; г) позволять рассчитывать сроки объемы поставок материалов и контролировать ход поставок.

27

Лабораторная работа № 5 Календарное планирование строительства объекта.

Проектирование линейного графика Ганта

Цель работы: Получение навыков в выполнении расчетов, вычерчивание графиков. Оснащенность и оборудование: методические указания, курс лекций по указанной теме, справочная литература, калькулятор, мультимедийное оборудование, персональный компьютер, миллиметровка, карандаш, ластик.

СибАДИ

 

 

Порядок проведения работы

1)

Ознаком ться с целью, порядком выполнения работы, теоретической частью.

2)

Задание выдается

нд в дуально каждому студенту преподавателем.

3)

Вычерч ван е граф ков по заданию

4)

Оформ ть работу

подготовить ее к защите.

Теоретические сведения Календарное план рование является неотъемлемым элементом организации

строительного про зводства на всех его этапах и уровнях. Нормальный ход строительства возможен только тогда, когда за лаговременно продумано, в какой последовательности будут вест сь ра оты, какое количество рабочих, машин, механизмов и прочих ресурсов потре уется для каждой работы. Недооценка этого влечет за собой несогласованность действий исполнителей, перебои в их работе, затягивание сроков и, естественно, удорожание строительства. Для предотвращения таких ситуаций и составляется календарный план, который выполняет функцию расписания работ в рамках принятой продолжительности строительства. Очевидно, что изменчивая обстановка на стройке может потре овать существенной корректировки такого плана, тем не менее при любых ситуациях руководитель строительства должен четко представлять, что нужно делать в ближайшие дни, недели, месяцы.

Продолжительность строительства назначается, как правило, по нормам (СНиП 1.04.03-85 «Нормы продолжительности строительства и задела в строительстве предприятий, зданий сооружений» с учетом изменений к ним на текущую дату) в зависимости от величины и сложности строящихся объектов.

В строительной практике часто применяются упрощенные методы планирования, когда, например, составляется лишь перечень работ со сроками их выполнения без должной оптимизации. Однако такое планирование допустимо лишь при решении небольших текущих задач ходе строительства. При планировании же больших объектов работ на весь период строительства нужна тщательная работа по выбору наиболее целесообразной последовательности СМР, их продолжительности, числа участников, необходим учет множества факторов, о которых упоминалось выше. По этим причинам в строительстве находят применение различные формы календарного планирования, позволяющие по-своему оптимизировать планируемый ход работ, возможность маневров и т.д.

Кроме того, в зависимости от широты решаемых задач, необходимой степени детализации решений существуют различные виды календарных планов, находящие применение на разных уровнях планирования.

28

При разработке календарных планов в ПОС и ППР наилучшие результаты достигаются, когда составляются несколько вариантов календарного плана, и выбирается наиболее эффективный.

Виды календарных планов (графиков)

Разделяют четыре вида календарных графиков, в зависимости от широты решаемых задач и вида документации, куда они входят. Все виды календарных графиков должны быть тесно увязаны друг с другом.

водный календарный план (график) в ПОС определяет очередность возвеСибАДИдения объектов, т.е. сроки начала и окончания каждого объекта, продолжительность подготовительного периода и всего строительства в целом. Для подготовительного

периода, как прав ло, составляется отдельный календарный график.

Для сложных объектов, осо енно водохозяйственных и гидротехнических, составляются дополн тельно сводные графики, ориентированные на физические объемы.

На стадии разработки сводного календарного плана решаются вопросы разделения строительства на очереди, пусковые комплексы, технологические узлы. Календарный план подписывается главным инженером проекта и заказчиком (как согласовывающей инстанцией).

Объектный календарный график в ППР определяет очередность и сроки выполнения каждого вида работ на конкретном объекте с начала его возведения до сдачи в эксплуатацию. Обычно такой план имеет разбивку по месяцам или дням в зависимости от величины сложности объекта. Объектный календарный план (график) разрабатывается составителем ППР, т.е. генподрядчиком или привлеченной для этого специализированной проектной организацией.

При разработке календарных планов на реконструкцию или техническое переоборудование промышленного предприятия необходимо согласование всех сроков с этим предприятием.

Рабочие календарные графики обычно составляются производственнотехническим отделом строительной организации, реже линейным персоналом в период производства СМР. Такие графики разрабатываются не неделю, месяц, несколько месяцев. Наибольшее применение имеют не дельно-суточные графики. Рабочие календарные графики – это элемент оперативного планирования, которое должно вестись постоянно в течение всего периода строительства.

Цель рабочих графиков с одной стороны - детализация объектного календарного плана и с другой - своевременная реакция на всевозможные изменения обстановки на стройке. Рабочие графики - наиболее распространенный вид календарного планирования. Как правило, они составляются очень быстро и зачастую имеют упрощенную

29

форму, т.е., как показывает практика, не всегда должным образом оптимизируются. Тем не менее они обычно лучше других учитывают фактическую обстановку на стройке, так как составляются лицами, непосредственно участвующими в этой стройке. Это особенно относится к учету погодных условий, особенностей взаимодействия субподрядчиков, реализации различных рационализаторских предложений, т.е. факторов плохо поддающихся заблаговременному учету.

Часовые (минутные) графики в технологических картах и картах трудовых процессов составляются разработчиками этих карт. Такие графики обычно тщательно СибАДИпродуманы, оптимизированы, но они ориентированы лишь на типичные (наиболее вероятные) условия работы. В конкретных ситуациях они могут требовать существенной корректировки. Часовые граф ки производства работ составляются главным образом для монтажа сборных конструкций зданий и сооружений; в них определяются сроки и последовательность установки в проектное положение отдельных сборных элементов.

На часовых граф ках в соответствии с ЕНиР указывается машинное время; необходимое для установки каждого элемента, а также состав бригады монтажников.

Принц пы последовательность проектирования календарных планов.

Календарный план стро тельства о ъекта разрабатывается на основании сравнения различных его вар антов вы ора наилучшего, т. е. такого, в котором работы намечено выполнить передовыми методами (максимальная механизация и применение высокопроизводительных маш н), в заданный срок, с минимальными затратами материальных ресурсов и соблюдением тре ований охраны труда.

Календарный план производства ра от на объекте разрабатывают в следующей последовательности (пример):

1) устанавливается перечень строительно-монтажных работ, по которому в дальнейшем будет составляться календарный план;

2) подсчитываются объемы работ, подлежащие выполнению на объекте; 3) определяется требуемое количество основных материалов, деталей и конструк-

ций, с указанием их размеров, веса, марок и других данных; 4) выбирается метод производства основных строительно-монтажных работ путем

сравнения различных вариантов и принятия наилучшего; 5) подсчитываются по нормативам трудоемкость работ и количество машино-смен,

необходимых для выполнения всех строительно-монтажных работ; 6) устанавливается технологическая последовательность и продолжительность вы-

полнения строительно-монтажных работ работ по монтажу технологического оборудования, производится их взаимная увязка во времени составляется график производства работ по строительству объекта;

7) составляются графики движения рабочих по профессиям и сводный, графики использования машин и транспортных средств, а также графики расхода и завоза основных материалов и сборных конструкций.

Графики движения рабочих кадров

На основании календарного плана производства работ по объекту составляются графики изменения требуемого количества рабочих во времени, как по отдельным профессиям, так и общий или сводный по всем профессиям.

30