методов и вычислительной техники. Использование моделей - это характерная черта экономико-математических методов.
Модель – представляет собой абстрактное отображение наиболее существенных характеристик, процессов и взаимосвязей реальных систем.
Модель – это условный образ объекта, сконструированный для упрощения его исследования.
Виды моделей.
Различают два вида моделей:
1) физическая
Слевой направленностиибАДИ, необходимой информации требований точности получаемых решений.
2) символическая (абстрактная)
Физическая модель представляет собой некоторою материальную систему, которая отличается от модел руемого объекта размерами, материалами и т.д.
имволическая (абстрактная)модель – создается с помощью языковых, графических,
математическ х средств оп сания и абстрагирования. Наибольшее пр менен е получ ли математические модели.
Приняты следующ е групп ровки математических моделей в зависимости от характера математическ х зав с мостей.
а) - |
линейные – когда все зав симости связаны линейными соотношениями; |
- |
нелинейные – при нал ч хотя ы частично нелинейных соотношений. |
б) – детермен рованные – в которых учитывается только усредненные значения пара- |
|
метра; |
|
- вероятностные (статистические)- предусматривающие случайный характер тех
или иных параметров или процессов; в) - статистические - фиксирующие только один период времени;
- динамические – в которых параметры рассматриваются и рассчитываются по раз-
личным периодам и этапам; г) – оптимизационные – в которых выбор элементов и самого процесса осуществляет-
ся с учетом экстримизации целевой функции;
- неоптимизационные – с заранее заданными объемным выпуском производства.
д) - с высоким уровнем детализации – когда модель отображает многие факторы про-
цесса;
- агрегированные – укрупненные модели, где объединяются многие параметры,
близкие по назначению.
Выбор модели осуществляется исходя из характера процесса, деятельности, его це-
К моделям предъявляются два взаимопротивоположных требования: а) адекватности(соответствия); б) простоты.
Модели, применяемые в организации строительства
В строительстве основными моделями управляемых систем служат:
а) календарные линейные графики (графики Гранда)- на которых в масштабах време-
ни показывают последовательность и сроки выполнения работ; б) циклограммы – которые отражают ход работ в виде наклонных линий в системе ко-
ординат и по существу являются разновидностью линейного графика; в) сетевые модели – которые изображаются в виде сети.
21
Календарный линейный график прост в исполнении и наглядно показывают ход работы. Однако динамическая система строительства на линейном графике представлена статической схемой, которая отображает лишь положение на объекте, сложившееся в какой-то определенный момент. Линейный график не может отобразить сложность моделируемого в нем процесса. Модель неадекватна оригиналу. Форма модели вступает в противоречие с ее содержанием. Отсюда основные недостатки линейного графика:
а) отсутствие наглядно обозначенных взаимодействий между отдельными операция-
ми (работами). Заложенные в графике технологические и организационные решения |
|
СибАДИ |
|
принимаются, обычно, как постоянные и теряют свое практическое значение вскоре |
|
после начала |
х реал зац ; |
б) негибкость, жесткость структуры линейного графика, сложность его корректировки |
|
при изменен |
услов й, необходимость его многократного пересоставления; |
в) сложность вар антной проработки и ограниченная возможность прогнозирования хода работ; г) сложность пр менен я современных математических методов и компьютеров для
механизации расчетов параметров графика.
Сетевая модель – свободно от этих недостатков и позволяет формализовать расчеты для передачи на компьютер.
В основе сетевого план рован я лежит теория графов – раздел современной математики.
Графом – называют геометрическую фигуру, состоящую из конечного или бесконечного множества точек и соединяющих эти точки линий.
Сетевые графики положены в основу системы сетевого планирования управления производством (СПУ).
Элементы сетевого графика
Сетевая модель – это модель, отражающая технологические организационные взаимосвязи производства строительно-монтажных работ в процессе строительства объекта.
Сетевой график – представляет собой модель с расчетными временными параметрами.
Сетевая модель изображается в виде графика, состоящего из стрелок кружков. В основе построения сети лежат понятия работа и событие.
Работа – это производственный процесс, требующий затрат времени и материальнотехнических ресурсов и приводящий к достижению определенных результатов (например: рытьё котлованов, устройство фундаментов, монтаж конструкций др.). работу на сетевом графике изображают сплошной стрелкой, длина которой несвязанна с продолжительностью работы (без масштаба).
Над стрелкой указывают наименование работы, а под стрелкой – продолжительность работы (t) в днях, количество рабочих (R), сметную стоимость работ (С), объем работ, организацию-исполнителя.
22
|
|
|
Наименование работы |
|
||
t; |
R; |
|
V; |
СМР; |
|
И |
продолжи- |
численность |
|
объем |
сметная |
организация- |
|
тельность |
рабочих; |
работ |
стоимость |
исполнитель |
||
в днях; |
|
|
|
работ |
|
|
|
|
Кирпичная кладка в рядах 25-30 |
|
|||
4 дн; |
5 чел; |
20м3 |
8000 т.р. |
К |
||
Ожидание – |
процесс, требующий только затрат времени и нетребующий никаких ма- |
|||||
териальных ресурсов. Ож дан е по сути является технологическим или организаци-
онным перерывом между работами непосредственно выполняемыми друг за другом. |
|||||
и |
|
|
|
||
(схватывание бетона, сушка штукатурки, т.д.). Ожидание изображается сплошной |
|||||
Сстрелкой нал стрелкой п шут наименование ожидания. |
|
||||
схватывание |
етона |
|
|
||
б |
|
|
|||
Зависимость (ф кт |
вная ра ота) или логическая связь – вводится для отраже- |
||||
ния технолог ческой |
организационной взаимозависимости работ и не требует ни |
||||
|
А |
|
|||
времени, ни ресурсов. Зависимость изо ражается пунктирной стрелкой |
|||||
i |
|
|
|
j |
|
|
|
Д |
|||
Она определяет последовательность свершения событий. |
|
||||
11 |
зависимость |
И |
|||
|
|
||||
10 |
12 |
13 |
|||
|
|
||||
Событие – это факт окончания одной или нескольких работ, необходимый и достаточной для начала следующей работы.
В любой сетевой модели события устанавливают технологическую и организационную последовательность работ. События изображаются кружками или любыми другими геометрическими фигурами, внутри которых указывается определенный номер – код события. События ограничивают рассматриваемую работу и по отношению к ней могут быть начальными и конечными.
Начальное событие – определяет начало данной работы и является конечным для предшествующей работы.
Конечное событие – определяет окончание данной работы и является начальным для последующей работы.
23
Исходное событие – это событие, которое не имеет предшествующих работ в рамках рассматриваемого сетевого графика. Исходному событию присваивается №1.
Завершающее событие – это событие, которое не имеет последующих работ в рамках рассматриваемого сетевого графика.
Сложное событие – событие, в которое входит, или из которого выходят две и более работ.
|
|
начальное |
конеч.соб. |
начал. событие конеч.событие |
||
|
|
событие раб.1-2 |
раб. 1-2 |
работ 3-4 |
работ 3-4 |
|
СибАДИ |
||||||
1 |
|
2 |
3 |
4 |
||
|
исходное |
начальное событие |
конеч. событие |
завершающ. |
||
|
событие |
|||||
|
событие |
работ 2-3 |
работ 2-3 |
|||
|
|
|||||
|
|
зображен е |
|
|
|
|
|
|
|
|
|
||
|
|
сложного со ытия |
|
|
||
Работы могут быть: |
|
|
|
|||
1) предшествующими (h-i) |
|
|
||||
|
2) последующими (j-k) |
|
|
|
||
|
3) рассматриваемыми (i-j) |
|
|
|||
|
предш.раб. |
рассм.раб. |
послед.раб. |
|
||
|
|
(h-i) |
|
(i-j) |
(j-k) |
|
|
h |
i |
|
j |
k |
|
|
предш.раб. |
рассм.раб. |
послед.раб. |
|
||
3-4 |
|
4-5 |
5-6 |
|
||
h - предшествующее событие;
k - последующее событие.
24
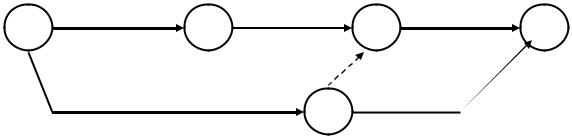
Работы, которые выходят из исходного события называются исходными (их может быть одна или несколько).
Работы, которые заканчиваются завершающим событием называются завершающими.(их может быть одно или несколько)
исх.р. |
|
|
зав.р. |
1 |
2 |
4 |
5 |
СибАДИисх.р. 3 зав.р.
Путь – непрерывная последовательность работ на сетевом графике от исходного до завершающего со ытия. Его длина определяется суммарной продолж тельностью составляющих его работ. В сетевом графике между исходным завершающим со ытием имеется несколько путей. Путь от исходного до завершающего со ытия сетевого графика называется полным
путем.
Полный путь может подразделяется на: a) предшествующий путь
b) последующий путь.
Предшествующий путь – это участок полного пути от исходного события до n-го (данного) события сетевого графика.
Последующий путь – это путь от n-го (данного) события сетевого графика до завершающего события.
Критический путь – это полный путь, имеющий наибольшую длину (продолжительность) из всех полных путей. Его длина определяет срок выполнения работ на сетевом графике. В сетевом граф ке может быть один или несколько критических путей.
Работы, лежащие на критическом пути, называются критическими. Эти работы резервов времени не имеют.
Увеличение продолжительности критического пути увеличивает общую продолжительность работ на сетевом графике, т.е. увеличивает срок строительства, что недопустимо.
Пути, продолжительность которых несколько меньше продолжительности критического пути на заданную величину называют подкритическими. Такой величиной может быть период контроля (съема информации о ходе выполнения работ).
25