Материал: 1875

Внимание! Если размещение файла нарушает Ваши авторские права, то обязательно сообщите нам

Карты (схемы) на контроль качества работ разрабатываются для осуществления контроля и оценки качества технологических процессов и операций. Карта составляется по прилагаемой форме.

В этом разделе проекта производства работ должны содержаться схемы операционного контроля выполняемых работ; перечень требуемых актов освидетельствования скрытых работ; указания о сроках проверки качества работ с лабораторными испытаниями материалов, конструктивных элементов, температурно-влажностных режимов, а также о порядке опробования отдельных агрегатов и систем инженерного оборудо-

 

вания.

 

 

 

 

 

 

СибАДИ

 

 

 

Контроль качества работ

 

Способ контроля,

 

Наименован е технолог че-

Контролируемый

 

Допускаемые значе-

 

 

параметр процесса (опера-

 

 

применяемые приборы (ин-

 

ских процессов операц й

ции)

 

ния параметра

 

струмент)

 

Меропр ят я по охране труда и безопасности указывают типовые (стандартные,

например, защ тные огражден я и козырьки) и требующие проектной проработки

(например, креплен е земляных откосов, временное усиление конструкций).

 

Пояснительная зап ска должна содержать:

 

 

 

 

оп сан е о основание принятых в проекте решений;

 

 

 

расчеты потре ности в электроэнергии, воде, паре, кислороде, сжатом воз-

 

духе,

рабоч е чертежи устройства временного освещения строительной площадки

 

и рабочих мест, подводки сетей к о ъекту от источников питания;

 

перечень мо ильных (инвентарных) зданий и сооружений с расчетом их

 

потребности;

 

 

 

 

 

 

– технико-экономические показатели проекта производства работ.

 

Проект производства ра от на подготовительный период строительства

должен содержать:

– календарный план производства работ;

– график поступления на строительство необходимых на этот период строительных конструкций, изделий и материалов;

– строительный генеральный план площадки строительства с указанием на нем мест расположения инвентарных зданий и временных сооружений, внеплощадочных и внутриплощадочных коммуникаций и сетей, сооружаемых в подготовительный период;

– схемы размещения знаков для выполнения геодезических построений и геодезического контроля положения конструкций объекта и коммуникаций, а также указания по точности геодезических измерений перечень необходимых для этого технических средств;

– краткую пояснительную записку.

Для сложного объекта в составе проекта производства работ следует разрабатывать комплексный сетевой график.

Проект производства работ для простого объекта может состоять из календарного плана работ, строительного генерального плана, схемы производства основных работ

икраткой пояснительной записки.

Впроекте производства работ приводят, как правило, следующие техникоэкономические показатели: трудоемкость, продолжительность и себестоимость строи-

11

тельно-монтажных работ. Для ряда работ могут быть приведены удельные показатели, например на 1м, 1м2, 1м3 и т.п.

Проект производства работ утверждается главным инженером генподрядной строительной организации, а разделы проекта по монтажным и специальным строительным работам - главными инженерами соответствующих субподрядных организаций.

Утвержденный проект передается на стройплощадку до начала производства работ.

Содержание проекта производства работ

Ниже приводится типовое содержание (наименование разделов) проекта произСибАДИводства строительных работ.

одержание разделов должно удовлетворять требованиям актуальных дату составления проекта нормат вно-технических документов.

Необход мость объем разработки разделов проекта производства работ устанавливаются заказч ком указываются в задании на проектирование.

одержан е:

Введение троительный генеральный план

Календарный план про зводства ра от 1.Поясн тельная зап ска

2.Нормат вно-техн ческие документы

3.Орган зац я технология выполнения работ Подготов тельные ра оты Основные работы

4.Требования к качеству и приемка работ 5.Потребность в средствах механизации, технологическом оборудовании, инструменте и

приспособлениях 6.Техника безопасности, охрана труда и окружающей среды

Приложение Задание на разработку проекта производства работ.

Состав и содержание проекта организации строительства

Ниже приводится содержание (наименование разделов) проекта организации строительства для объектов капитального строительства, финансируемых полностью или частично за счет средств государственного бюджета.

Содержание разделов должно удовлетворять требованиям актуальных дату составления проекта нормативно-технических документов.

Необходимость объем разработки разделов проекта организации строительства для объектов капитального строительства, финансируемых из других источников, определяются заказчиком и указываются в задании на проектирование.

Содержание:

Введение Нормативно-технические документы Строительный генеральный план Календарный план строительства Пояснительная записка

1.Характеристика района строительства и условий строительства

2.Развитость транспортной инфраструктуры района строительства

12

3.

Мероприятия по привлечению местной рабочей силы и иногородних квалифицированных спе-

циалистов, в том числе для выполнения работ вахтовым методом

4.

Характеристика земельного участка для строительства с обоснованием необходимости исполь-

зования для строительства земельных участков вне предоставляемого земельного участка

5.

Особенности проведения работ в условиях действующего предприятия и (или) в условиях стес-

ненной городской застройки

 

6.

Организационно-технологическая схема последовательности возведения зданий и сооружений

7.

Наиболее ответственные строительно-монтажные работы (конструкции), подлежащие освиде-

тельствованию с составлением актов приемки

 

8.

Технологическая последовательность работ (в том числе объемы и технологии работ, включая

работы в зимний период)

 

 

9.

Потребность строительства в кадрах, энергетических ресурсах, основных строительных машинах

и транспортных средствах, временных зданиях и сооружениях

10.

Площадки для склад рован я материалов, конструкций, оборудования, укрупненных модулей и

стендов для их сборки. Решен я по перемещению тяжеловесного негабаритного оборудования, ук-

рупненных модулей конструкц й

 

С11. Обеспечен е качества стро тельно-монтажных работ, а также поставляемых оборудования, кон-

струкций матер алов

 

 

12.

Организац я службы геодез ческого и ла ораторного контроля

13.

Требования, которые должны ыть учтены в

документации в связи с принятыми мето-

дами возведен я стро тельных конструкций и монтажа оборудования

14.

Потребность в ж лье

соц альноытовом обслуживании персонала, участвующего в строи-

тельствеи

 

15.

Мероприят я по охране труда

 

16.

Мероприят я по охране окружающей среды

 

17.

 

А

Продолжительность строительства

 

18.

Мероприятия по мониторингу за состоянием зданий и сооружений, расположенных вблизи от

строящегося объектарабочей

 

Приложение

 

 

Задание на разработку проекта организации строительства.

 

 

Состав разделов

Д

 

проектной документации

и требованиях к их содержанию

должно отвечать требованиям актуальности на момент составления проекта и передачи данного документа на экспертизу (приложение № с изменениями на 21 апреля 2018

года).

Лабораторная работа №И3

Виды строительных потоков. Расчет строительных потоков

Цель работы: Получение навыков в выполнении расчетов.

Оснащенность и оборудование: методические указания, курс лекций по указанной теме, справочная литература, калькулятор, мультимедийное оборудование, персональ-ный компьютер.

Порядок проведения работы

1.Ознакомиться с целью, порядком выполнения работы, теоретической частью.

2.Задание выдается индивидуально каждому студенту преподавателем.

3.Произвести расчеты задач.

4.Оформить работу и подготовить ее к защите.

13

Теоретические сведения Основы поточной организации строительного производства.

Виды строительных потоков

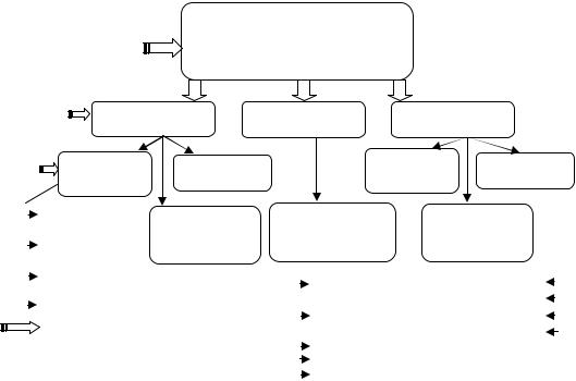
В теории поточного строительства утвердилась определенная классификация строительных потоков. Можно выделить несколько признаков, по которым группируют строительные потоки.

троительные потоки, классифицируемые по структуре и виду конечной

С

 

продукции (см. рис. 1.). К ним относятся: частный поток - элементарный строитель-

ный поток. представляющий собой последовательное выполнение одного процесса на

ряде захваток (ярусов)

звеном или одним рабочим; продукцией частного потока яв-

ляются элементы конструкц й или работы (например, устройство опалубки, рытье

котлована, заделка швов

 

т.д.); специализированный поток - совокупность технологи-

 

или

чески связанных частных потоков, выполняемых на одних и тех же захватках и объе-

диненных общей стро тельной продукцией в виде законченных конструктивных эле-

ментов

выполненных в дов ра от (земляные работы, устройство фундаментов,

малярные работы

бр

т.д.); в данном потоке принимают участие комплексные или спе-

циализированные

гады; о ъектный поток - совокупность технологически и орга-

низационно связанных спец ал зированных потоков, совместной продукцией которых являются законченные здан я ли сооружения; комплексный поток - совокупность ор-

ганизационно связанных о ъектных потоков, объединенных общей продукцией, пред-

 

 

 

 

 

 

 

 

 

 

 

А

ставленной в виде комплекса зданий и сооружений.

 

 

 

 

 

 

 

 

 

 

 

 

КОМПЛЕКСНЫЙ

 

 

 

 

 

 

ПРОМЫШЛЕННОЕ

 

 

 

 

 

 

 

 

 

 

 

 

 

ОБЪЕКТНЫЙ

 

 

 

 

 

 

 

 

 

ПРЕДПРИЯТИЕ

 

 

 

 

 

 

 

 

 

 

 

 

 

 

 

 

 

 

 

 

 

 

 

 

 

 

 

 

 

 

 

 

 

 

 

 

 

 

 

 

 

 

 

 

 

1-Й ЦЕХ

 

 

 

 

 

 

 

 

 

 

 

 

АБК

 

 

 

 

 

 

 

 

 

 

 

2-Й ЦЕХ

 

 

 

 

 

 

 

 

 

 

 

 

 

 

 

 

 

 

 

 

 

 

 

 

 

 

 

 

 

 

ПОТОК

 

 

 

 

 

 

 

 

 

 

 

 

 

 

 

 

 

 

 

 

 

 

 

 

 

 

 

 

 

 

 

 

 

 

 

 

 

 

 

 

 

 

 

 

 

 

 

 

 

 

 

 

 

 

 

 

 

 

 

 

 

 

 

 

 

 

 

 

 

 

 

 

 

 

 

 

 

 

 

 

 

 

 

 

 

 

 

 

 

 

 

 

 

 

 

 

СПЕЦИАЛИЗИРО-

 

 

 

 

 

 

 

 

 

 

 

 

 

 

 

 

 

 

 

 

 

 

 

 

 

 

 

 

 

 

 

 

 

 

 

 

 

 

 

 

 

 

 

 

 

 

 

ЗЕМЛЯНЫЕ

 

 

 

 

 

 

 

 

 

 

 

 

ЗЕМЛЯНЫЕ

 

 

 

 

 

 

 

 

 

 

 

 

 

 

 

 

 

 

 

 

 

 

 

 

 

 

 

 

 

 

 

 

 

 

 

 

 

МОНТАЖ

 

 

 

 

 

 

МОНТАЖ

 

 

 

 

 

 

 

 

 

ВАННЫЙ ПОТОК

 

 

 

 

 

 

 

 

 

 

 

 

РАБОТЫ

 

 

 

 

 

 

 

 

РАБОТЫ

 

 

 

 

 

 

 

 

 

 

 

 

 

 

 

 

 

 

 

 

 

 

 

 

 

 

 

 

 

 

 

 

 

И

 

 

 

 

 

 

 

 

 

 

 

 

 

 

 

 

 

 

 

 

 

 

 

 

 

 

 

 

 

 

 

 

 

 

 

 

 

 

 

 

 

 

 

 

 

 

 

 

 

 

 

 

 

 

 

 

 

 

 

 

 

 

 

 

 

 

 

 

 

экскавация

 

 

 

 

 

 

 

 

 

 

Д

 

 

 

 

 

 

 

 

 

 

ОТДЕЛОЧНЫЕ

 

 

 

УСТРОЙСТВО

 

ОТ ЕЛОЧНЫЕ

 

 

 

 

 

 

 

грунта

 

 

 

 

 

 

 

 

 

 

РАБОТЫ

 

 

 

 

 

 

 

 

 

 

 

 

РАБОТЫ

 

 

 

МОНОЛИТНЫХ

 

 

 

 

 

 

 

 

 

 

 

 

 

 

 

 

 

 

 

 

 

 

 

 

 

 

 

 

 

 

 

доработка грун-

 

 

 

 

 

 

 

 

ФУНДАМЕНТОВ

 

 

 

 

 

 

 

 

 

 

 

 

 

 

 

 

та вручную

 

 

 

 

 

 

 

 

 

 

 

 

 

 

 

 

 

 

 

 

 

 

 

 

 

 

 

 

 

 

 

 

 

 

 

 

 

 

 

 

 

 

 

 

 

 

 

 

 

 

 

 

 

 

 

 

 

 

 

 

 

 

 

 

 

 

 

 

 

 

 

 

 

 

 

 

 

 

 

 

 

 

 

 

 

 

 

 

 

 

 

 

 

уплотнение

 

 

 

 

 

 

 

 

 

 

 

бетонная под-

 

 

остекление

 

 

 

 

 

 

грунта

 

 

 

 

 

 

 

 

 

 

 

 

 

 

 

 

 

обратная за-

 

 

 

 

 

 

 

 

 

 

 

готовка

 

 

 

 

 

окраска

 

ЧАСТНЫЙ

 

 

 

 

 

 

 

 

 

 

 

 

 

 

 

 

побелка

 

 

 

сыпка

 

 

 

 

 

 

 

 

 

 

 

устройство опа-

 

 

 

 

 

 

ПОТОК

 

 

 

 

 

 

 

 

 

 

 

 

 

 

 

 

 

 

 

 

 

оклейка

 

 

 

 

 

 

 

 

 

 

 

 

 

 

 

 

 

 

 

лубки

 

 

 

 

 

 

 

 

 

 

 

 

 

 

 

 

 

 

 

 

 

 

 

 

 

 

 

 

 

 

 

обоев

 

 

 

 

 

 

 

 

 

 

 

 

 

 

 

 

 

 

 

армирование

 

 

 

 

 

 

 

 

 

 

 

 

 

 

 

 

 

 

 

 

 

 

 

 

 

 

 

 

 

 

 

 

 

 

 

 

 

 

 

 

 

 

 

 

 

 

 

 

 

 

 

 

 

 

 

 

бетонирование

 

 

 

 

 

 

 

 

 

 

 

 

 

 

 

 

 

 

 

 

 

 

 

 

 

 

 

 

 

 

 

снятие опалубки

 

 

 

 

 

 

 

 

 

 

Рис. 1. Классификация строительных потоков по структуре и виду конечной продукции

Под комплексом понимается совокупность технологически связанных объектов, а также архитектурно законченные ансамбли, включаемые в определенную очередь строительства или представляющие собой законченное промышленное (агропромышленное) предприятие, район застройки.

14

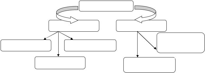
Строительные потоки, классифицируемые по продолжительности строительства:

кратковременный поток организуют при возведении отдельных зданий (сооружений) или групп объектов, продолжительность строительства которых не превышает одного года; долговременный поток действует при сооружении объектов или комплексов, продолжительность строительства которых более одного года; сквозной (непрерывный) поток включает изготовление конструкций, их транспортирование на

Сритмичные, в свою очередь подразделяющиеся в зависимости от продолжительности выполнен я работ на захватках (объектах) на: а)равноритмичные (т.е. имеющие одинаковые р тмы); б)кратноритмичные (потоки, имеющие кратные продолжительности выполнен я работ на захватках); в)разноритмичные (потоки, у которых ритмы работы каждой бр гады постоянны, но не равны и не кратны друг другу);

строительную площадку и процесс возведения зданий (например, при строительстве силами домостроительного комбината).

троительные потоки, классифицируемые по ритмичности (см. рис. 2.):

р*итмнеритмычные, подразделяющиеся на потоки с: а)однородным изменением ритма

(все специал з рованные потоки на однородных захватках (объектах) имеют одинаковые , а на разных захватках - неодинаковые); б)неоднородным изменением ритма (ритмы всех спец ал з рованных потоков на всех захватках различны).

 

 

ПОТОКИ

 

 

б

 

 

РИТМИЧНЫЕ

НЕРЕТМИЧНЫЕ

 

 

АКРАТНОРИТМИЧНЫЕ

С НЕОДНОРОДНЫМ

РАВНОРИТМИЧНЫЕ

ИЗМЕНЕНИЕМ РИТМА

 

 

 

 

РАЗНОРИТМИЧНЫЕ

С О НОРО НЫМ

ЗМЕНЕ-

 

НИЕМ РИТМА

 

 

 

 

 

 

Д

 

Рис. 2. Классификация потоков по ритмичности

 

 

И

В практике строительства равноритмичные и кратноритмичные потоки чрезвычайно редки, т.к. объемы строительно-монтажных работ, а, следовательно, и продолжительность их выполнения, будут существенно различаться даже у зданий, имеющих одинаковую конструктивную схему. Наибольшее распространение получил нерит-

мичный строительный поток с неоднородным изменением ритма. При проектирова-

нии объектного потока для зданий, имеющих одинаковые объемы работ по захваткам (ярусам) (например, жилое многоэтажное здание с повторяющимся по этажам объем- но-планировочным решением, в котором в качестве яруса принимается 1-2 этажа), можно организовать разноритмичный строительный поток.

15