Материал: 1244

Внимание! Если размещение файла нарушает Ваши авторские права, то обязательно сообщите нам

D K

s v

 

s 1

.

(15)

 

 

2

 

 

 

 

 

1

 

2

 

Учитывая 1 2 и пренебрегая вторым слагаемым в правой части равенства, при s=2; v=1 будем иметь 1/ 1 2,5; 1 0,4 с 1.

Для нахождения частоты среза c и сопрягающей частоты

2 решим систему уравнений [2]

 

 

 

 

 

 

a

 

 

 

 

 

 

 

 

 

2

 

 

 

 

 

 

;

 

 

 

 

 

 

 

 

 

 

2(s 1)

8

 

c

 

 

 

 

 

 

 

 

 

 

 

 

 

 

 

 

 

 

 

 

 

 

 

 

 

 

 

 

 

a

 

 

 

( c)

 

;

2

 

 

 

 

 

 

s v

 

 

4

 

 

 

 

 

 

 

 

 

 

 

 

2

 

 

 

 

 

K( 1)

 

 

 

 

.

c

 

 

 

 

 

 

 

 

 

 

 

s 1

 

 

 

 

 

 

 

 

 

 

( 2)

 

 

 

 

 

2

 

 

 

 

 

 

 

 

 

 

 

 

 

 

 

 

 

Получаем

2,25c 1;

c

2 0,9c 1.

Определяем ТΣ для желаемой ЛПЧХ [2]:

T

a

 

T

0,075с.

 

 

 

2

 

 

2 c

 

Тогда

3 (0,5T T ) 1 40с-1.

(16)

(17)

(18)

(19)

Для упрощения корректирующего устройства принимаем

 

50с

-1

, что совпадает с

 

функционально неизменяемой

3

 

3

ЛПЧХ. По полученным данным построена желаемая ЛПЧХ (кривая 2 на рис. 8) [2].

3. ЛПЧХ последовательного дискретного корректирующего устройства получена путем вычитания из ЛПЧХ желаемой ЛПЧХ

19

функционально необходимых элементов системы (кривая 3 на рис. 8) [2].

На основании вида ЛПЧХ дискретного корректирующего устройства может быть записана его псевдочастотная характеристика [2]:

 

 

 

 

 

 

 

0,5 1 1,1j

1 0,5j

 

 

 

 

 

КДКУ

j

 

 

 

 

 

 

 

 

 

 

 

 

 

 

.

(20)

 

 

 

 

 

 

 

 

 

 

 

 

1 2,5j

1 0,25j

 

 

 

 

2

 

z 1

 

 

 

 

 

 

 

 

Приняв

j

 

 

 

 

 

, получим

импульсную

 

передаточную

T

z 1

 

 

 

 

 

 

 

 

 

 

 

 

 

функцию последовательного корректирующего устройства в виде

[2]

КДКУ

Хвых z

0,4 1 0,83z 1 1 0,67z 1

 

 

 

 

 

 

Xвх z

1 0,92z 1 1 0,43z 1

 

 

0,4 1 1,5z 1 0,55z 2

(21)

 

 

 

.

 

1 1,35z 1 0,4z 2

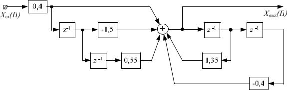
4. На основании полученной импульсной передаточной функции составим программу работы ПВМ в роли дискретного корректора [2]:

х

n

 

0,4 x

n

 

1,5x

n 1

0,55x

n 2

 

 

вых

 

вх

 

вх

 

вх

 

 

(22)

 

 

 

 

 

 

 

 

 

 

 

1,35xвых n 1 0,4xвых n 2 .

Рис. 9. Структурная схема реализации алгоритма дискретного корректора

20

Структурная схема реализации полученного алгоритма на ПВМ представлена на рис. 9 [2].

5. Для построения переходного процесса аналитическим методом необходимо осуществить обратное Z-преобразование от выражения [2]

Y z, X z

K z,

,

(23)

1 z 1K z,1

 

 

 

где

X z

1

;

 

 

 

 

(24)

 

 

 

 

1 z 1

 

 

 

 

 

 

 

 

K

ф

p

 

K z KДКУ z 1 z 1 z

 

 

.

(25)

 

 

p

 

 

 

 

 

 

Для вычисления обратного Z-преобразования можно воспользоваться методом вычетов. Удобно использовать также разложение в ряд по степеням z-1 изображения выходной величины Y(z, ε). При этом коэффициенты полученного ряда определяют выходную величину в дискретные моменты времени t nT T [2].

21

Библиографический список

1.Васильев Е.М. Теория автоматического управления. Дискретные системы: учебное пособие / Е.М. Васильев, В.Г. Коломыцев. – Пермь: Изд-во Перм. нац. исслед. политехн. ун-та, 2012. – 152 с.

2.Онацкий Я.И. Практикум по теории элементов и систем автоматического управления: учебное пособие / Я.И. Онацкий, Л.С. Мадорский, В.В. Зубарь. – Минск: «Вышэйшая школа», 1976. – 288 с.

3.Федотов А.В. Основы теории дискретных и нелинейных систем автоматического управления: учебное пособие / А. В. Федотов. – Омск: Изд-во ОмГТУ, 2011. – 116 с.

22

Учебное издание

РАСЧЕТ ДИСКРЕТНОГО КОРРЕКТИРУЮЩЕГО УСТРОЙСТВА ИМПУЛЬСНОЙ СИСТЕМЫ АВТОМАТИЧЕСКОГО УПРАВЛЕНИЯ

Методические указания к выполнению курсового проекта

для студентов направления 220700.62

Составители: Виталий Сергеевич Щербаков, Сергей Дмитриевич Игнатов

***

Редактор И.Г. Кузнецова

***

Подписано к печати 5.08.2013 Формат 60 90 1/16. Бумага писчая Оперативный способ печати Гарнитура Times New Roman Усл. п. л. 1,5, уч.-изд. л. 1,1 Тираж 40 экз. Заказ № ___

Цена договорная

Издательство СибАДИ 644099, г. Омск, ул. П. Некрасова, 10

Отпечатано в подразделении ОП издательства СибАДИ