Система управления состоит из двух подсистем (см. рис.1.3.1):
· Управляющая подсистема;
· Управляемая подсистема.
Управляющая подсистема включает в себя следующие методы и функции управления:
) Системный подход - это методологическая основа управления транспортным производством;
2) Экономический метод - его суть состоит в четкой постановке задачи каждому производственному звену, выбор форм и размеров материального стимулирования;
) Социально-психологический метод - его суть состоит в регулировании межличностных и межгрупповых отношений, социальном планировании.
) Экономико-математический метод.
Рис. 1.3.1 Система управления потоками на транспорте.
Функции управления:
) Руководство: определение цели и критериев движения транспортно-логистической системы;
) Планирование: выработка путей к достижению целей.
Данная функция должна выявлять противоречия и конфликты, которые возникают на пути достижения цели. Важно добиться синхронного планированиям пропускной способности с финансовыми возможностями компании и добиться балансировки мощностей. К одной из главных задач функции планирования относится разработка нормативов, например, нормативов времени перевозки и режима работы в цепях поставок.
) Организация: действие, направленное на установление исходной структуры системы (из каких отделов должна состоять организация).
4) Управление: действия, направленные на изменение режима работы системы.
) Регулирование и контроль: действия, наваленные на
поддержание работы системы в заданном режиме в рамках установленной структуры
(причины выполнения, невыполнения и решение проблем в ходе нахождения узких
мест).
В 1937 - 1940 гг. академик С.В. Образцов впервые предложил рассматривать вопросы взаимодействия магистрального и промышленного транспорта.
По функциональным признакам транспорт разделяется на магистральный и промышленный. Магистральный транспорт перемещает продукцию из мест ее производства к местам потребления. Промышленный транспорт, в отличие от магистрального, функционирует как составная часть промышленных предприятий.
Промышленный транспорта непосредственно участвует в процессе производства нового продукта труда, выполняя технологические перемещения внутри предприятий, а также осуществляет транспортные связи между предприятиями и магистральным транспортом по доставке сырья и вывозу готовой продукции.
Таким образом, промышленный транспорт, с одной стороны, является неотъемлемой частью производства (внутренние технологические перевозки предприятий), а с другой - важнейшим звеном транспортной системы (внешние перевозки предприятия). В состав промышленного транспорта в качестве основных видов входят железнодорожный, автомобильный и конвейерный транспорт. Кроме того, на предприятиях применяются и специальные виды транспорта: гидравлический, пневмоконтейнерный, пневматический, канатно-подвесной и др. Различные виды транспорта, используемые на технологических и внешних перевозках предприятий, функционируют в едином транспортном комплексе, взаимодействуя между собой в перевозочном процессе.
Высокопроизводительная и надежная работа транспортного комплекса и бесперебойное функционирование производственного процесса предприятия могут быть достигнуты при условии обеспечения высокого уровня: технической готовности технических средств всех видов транспорта; организации перевозок всеми видами транспорта; взаимодействия всех видов транспорта в перевозочном процессе предприятия.
Отсюда следует, что важнейшей задачей обеспечения эффективного функционирования транспортного комплекса, а, следовательно, и предприятия в целом является четко налаженное управление перевозочным процессом.
Существует 4 формы организационного взаимодействия:
) Обслуживание предприятий средствами магистрального транспорта;
2) Обслуживание предприятия средствами промышленного транспорта;
) Обслуживание предприятий средствами совместного предприятия промышленного и магистрального транспорта;
) Смешанная форма транспортного обслуживания магистральным и промышленным транспортом на, так называемых, согласования началах.
Выбирая ту или иную форму взаимодействия промышленного или магистрального транспорта, необходимо учитывать основное условие взаимодействия - это непрерывность транспортного процесса. Чем меньше организационных стыков, тем в большей степени может быть выдержано это условие.
Наибольший экономический эффективность достигается тогда, когда магистральные виды транспорта доставляют груз до погрузочно-разгрузочных фронтов и складов предприятий и забирают этот груз отсюда в обратном направлении. Это при отсутствии технологических перевозок. Если имеются технологические перевозки, то магистральные виды транспорта доставляют груз до приема сдаточных пунктов.
При выборе той или иной формы взаимодействия магистрального и промышленного транспорта необходимо учитывать характер транспортного обслуживания промышленных предприятий. С этих позиций промышленные предприятия классифицируются следующим образом:
) Отдельные предприятия, не имеющие технологических перевозок и обслуживаемые одним видом магистрального транспорта;
2) Отдельные предприятия, не имеющие технологических перевозок, обслуживаемые несколькими видами магистрального транспорта;
) Отдельные предприятия, имеющие технологические перевозки и обслуживаемые одним видом магистрального транспорта;
) Отдельные предприятия, имеющие технологические перевозки и обсуживаемые несколькими видами магистрального транспорта;
) Промышленные узлы с предприятиями разного профиля, имеющие и не имеющие технологических перевозок и обслуживаемые одним или несколькими видами магистрального транспорта.
Взаимодействие магистрального и промышленного транспорта сдерживается рядом факторов. Рассогласованность организационного взаимодействия производства магистрального и промышленного транспорта обусловлено причинами производственного и организационного характера. В производственном к причинам относятся:
) Различия в длительности или продолжительности технологических циклов и отдельных операций;
2) Различия в способах и методах оперативного регулирования производственных и транспортных процессов.
К причинам организационного характера относятся:
) Недостаточность информационного взаимодействия;
2) Структурное и функциональное несоответствие систем управления и рассогласованность стратегий развития производства и транспорта.
) Формирование рынка транспортных услуг. Для рынка транспортных услуг характерно дробление парков транспортных средств.
В 2012 году на железной дороге действовало 695 операторских компаний с парком грузовых вагонов 838 тыс. единиц. И на тот же год существовало 913 компаний грузовладельцев, в собственности которых находилось 126 тыс. вагонов. В среднем, на 1 операторскую компанию приходилось 1203 вагона, а на компанию грузовладельца 1380 вагонов.
Дополнительное ограничение так же создает потребность клиентуры в частных, но мелких отправках. В результате, сокращаются мощности грузопотоков.
Одной из основных причин потерь является высокая сложность оперативного планирования и управления маршрутами движения вагонопотоков в условиях колебания уровня загруженности транспортных элементов.
Для синхронного режима работы транспорта и промышленного предприятия характерно:
· совпадения времени накопления груза на транспортную партию со временем её отгрузки;
· совмещение времени процесса накопления и потребления с операциями по отгрузке и поступлению.
Модель синхронного режима работы показана на рис. 2.3.1.
Рис. 2.3.1 Модель синхронного режима работы транспорта и
промышленных предприятий.
На графике показано 2 предприятия.
- линия накопления изделий; 2 - линия отгрузки; 3 - средний темп
производства; 4 - средний темп отгрузки; 5 - средний темп поступления; 6 -
потребление продукции. qi - величина транспортной партии i - ого изделия,
отгружаемая в адрес i - ого потребителя; Qп - среднесуточная производственная мощность
предприятия; Qi - норма потребления продукции в сутки. Σ Qi - сумма норм потребления различных видов продукции;
Qп = Σ Qi
ti - часть времени производственного цикла, которая расходуется на производство, потребление и i - 1 заказов потребителей; Tп - продолжительность производственного цикла.
Процесс накопления у отправителя и процесс потребления у клиента совмещаются по времени с операциями отгрузки и поступления.
При равномерном поступлении и накоплении продукции среднее
время хранения будет равняться:

(2.3.1)
Затраты, связанные с хранением будут равны:

(2.3.2)
Затраты на транспортировку равны:
Стоимость производства равна:
(2.3.4)

(2.3.5)
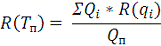
С учетом всех функций целевая функция будет иметь вид:
![]()
(2.3.6)
Fi - расходы по доставке партии груза i - ому потребителю;
Сз - затраты предприятия, отнесенные к производственному циклу по выпуску транспортных партий.
Так как средневзвешенные удельные затраты для всех i - х назначений и видов продукции равны, то затраты с
производственным процессом составят:

(2.3.7)
Выражение минимизированной целевой функции имеет вид:
![]()
(2.3.8)
Это функцию продифференцируем по Тп:
![]()
(2.3.9)
Задача состоит в том, чтобы найти такое значение транспортной
партии и времени цикла, которое минимизировало бы расходы R, зависящие от величины транспортной партии и величины
производственного цикла.
Для согласования работы станций примыкания и железнодорожного
транспорта промышленного предприятия (например, металлургического комбината)
разрабатывается технологический график обработки маршрута. Схема взаимного
расположения станции примыкания (СП) и устройств железнодорожного транспорта
металлургического комбината, а также расстояния между элементами, входящими в
технологическую цепочку показаны на рис. 3.1.1.
Рис. 3.1.1 Принципиальная схема размещения устройств
железнодорожного магистрального и промышленного транспорта в узле: 1 -
вагоноопрокидователь; 2 - фронт погрузки грузов; 3 - фронт выгрузки других
грузов; 4 - фронт выгрузки руды; РП - районный парк.
Цикл операций по обработке технологического маршрута руды, поступающей для выгрузки на металлургический комбинат, включает:
· передвижение состава от станции примыкания до районного парка;
· подачу состава к вагоопрокидывателю;
· надвиг состава на вагоноопрокидыватель;
· выгрузку;
· уборку вагонов от вагоопрокидывателя на пути очистки;
· очистку вагонов;
· осмотр вагонов после очистки;
· накопление вагонов;
· перестановку вагонов с пути накопления в районный парк;
· передвижение состава от районного парка до станции примыкания.
Уборка порожних вагонов от вагоопрокидывателя на пути очистки включает два полурейса:
Первый - вытягивание маневрового состава с пути вагоопрокидывателя на вытяжной путь.
Второй - осаживание вагонов с вытяжного пути на путь очистки.
При разработке технологического графика следует определить возможность совмещения операций. Обычно после выгрузки на пути вагоноопрокидывателя вагоны накапливаются группами, а затем переставляются на пути очистки. При такой организации работы все операции по обработке отдельных групп вагонов (перестановка на пути очистки, очистка вагонов, осмотр после очистки, накопление) могут выполняться одновременно с разгрузкой последующих вагонов, как это показано на рис. 2. Однако по окончании выгрузки последней группы вагонов все операции, связанные с ее обработкой, будут выполняться последовательно одна за другой, что повлияет на общую продолжительность нахождения вагонов на металлургическом комбинате. После завершения накопления вагонов на путях очистки состав выставляется в районный парк и далее передается на станцию примыкания для отправления порожнего маршрута на магистральную сеть.
Время продвижения состава от станции примыкания до районного
парка (и обратно) вычисляется по формуле:
Трп = Iп * 60/Vn + tм (3.1.1)
где Iп - расстояние от станции примыкания до районного парка (Iп = 3000 м);
tм - время на прицепку маневрового локомотива (tм = 3 мин);
Vn - скорость движения передач между станцией
примыкания и районным парком (Vn = 39 км/ч).
Трп = (3000 * 60) / (39 + 3) = 5 мин.
Время подачи (уборки) состава из районного парка до
вагоноопрокидывателю определяют по формуле:
tпод = Iрп * 60/Vрп + tм + tpз (3.1.2)
где Iрп - расстояние от районного парка до вагоопрокидывателя (Iрп = 1500 м);
Vрп - скорость подачи состава из районного парка к вагоноопрокидывателю (Vрп = 15 км/ч);
tм - время на прицепку маневрового локомотива (tм = 3 мин.);
tpз - время на разгон и замедления состава (tpз = 3 мин.).
tпод = (1500 * 60) / 15 + 3 + 3 = 12 мин.
Количество вагонов в составе N = 49.
Состав готовится к выгрузке 15 мин.
На смену вагонов на опрокидывателе требуется 3 мин.
На осмотр очищенных вагонов требуется 2 мин.
Время на соединение группы вагонов в состав для перестановки требуется 5 мин. Следовательно для прицепки 49 вагонов требуется 25 мин.
Время выгрузки одного вагона на вагоноопрокидывателе 0,07 ч. (4,2 мин.). Следовательно, для выгрузки 49 вагонов требуется 206 мин.