![]()
(6)
и
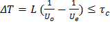
анализируется ограничение величины ![]()
.
Доказывается, что в квантовой механике справедливо неравенство ![]()
, а
максимального значения модуль достигает в состояниях образующих, так
называемый, Белловский базис:

; (7)
По этой причине, состояния Белла называются еще максимально перепутанными состояниями, а любое другое состояние может быть представлено их комбинацией [8].
Добавим также что, в зависимости от экспериментальной задачи, существует большое количество различных формулировок неравенства Белла. [6]
В
связи со сказанным выше, большое значение имеет проблема получения квантово
перепутанных состояний. Квантовая перепутанность может наблюдаться между
частями распавшейся молекулы (в таком случае состояния ![]()
и ![]()
характеризуют
направление спина частиц), или в случае пары испускаемых фотонов (тогда, мы
говорим о поляризации частиц). Возможны и другие ситуации (об этом мы поговорим
далее), однако, как правило, запутанные пары появляются из некоторого общего
источника.
Возвращаясь к проблемам криптографии, стоит отметить, что большое значение в современных квантовых протоколах имеют источники перепутанных фотонных пар. Здесь мы рассмотрим два варианта применения процессов параметрической генерации [9] для получения перепутанных состояний.
Как известно, наряду с балансом частот, необходимым условием эффективной параметрической генерации света в нелинейном кристалле является условие фазового синхронизма [9]. Это условие, накладываемое на волновые вектора холостой и сигнальной волн, а также на вектор волны накачки. Добавляя к этим условиям зависимости от длин волн коэффициентов преломления для обыкновенной и необыкновенной волн, можно определить область наиболее эффективной генерации. [10]
В
процессах параметрической генерации выделяют два типа синхронизма. Тип I
синхронизма связан с накачкой кристалла необыкновенной волной. Результирующий
конус синхронизма [10] имеет обыкновенную, горизонтальную поляризацию (подобный
синхронизм обозначают еще, как e![]()
Идея
получения перепутанных состояний заключается в следующем (Рис 3). Два
нелинейных кристалла BBO с ортогональными кристаллографическими осями
совмещают друг с другом. Облучение сдвоенного кристалла производится волной
накачки с поляризацией, направленной под ![]()
к
горизонтали. В связи с этим, сдвоенный кристалл выдает пару конусов с
ортогональными поляризациями, которые являются когерентными друг другу ввиду
перекрытия пространственных мод фотонов на кристаллах [10]. Перекрытие
пространственных мод излучаемых фотонов обеспечивает их пространственную
неразличимость - нельзя определить, какой из двух кристаллов излучил
соответствующий фотон перепутанной пары. Связь подобной неразличимости
(фактически, невозможности получить классическую информацию об источнике
фотонов) с когерентностью излучения обуславливается законами квантовой механики
и подробно выяснена в работах [11,12].
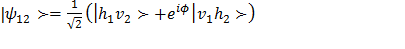
Как
результат, в области перекрытия конусов синхронизма рождаются пары фотонов,
совместная волновая функция которых представляется в виде:
где
![]()
-
горизонтальная поляризация, ![]()
-
вертикальная поляризация i-го фотона.
Набег
фазы ???? связан с эффектом двулучепреломления в кристаллах.
Путем включения в схему на пути полученных фотонов полуволновых и
четвертьволновых пластинок можно контролировать значение ???? (например, сделать его равным 0 или ![]()
).
Полуволновая пластинка может быть использована для изменения горизонтальной
поляризации на вертикальную, и наоборот. Таким образом, представляется
возможным получить все 4 составляющих Белловского базиса.
В
случае II типа синхронизма, справедлив переход ![]()
. Здесь
холостой и сигнальный фотоны обладают разными, ортогональными друг другу
поляризациями. Как показано в [10], в случае данного типа синхронизма, при
облучении кристалла BBO накачкой под некоторым углом ???? к кристаллографической оси, наблюдаются два конуса с
ортогональными поляризациями (соответственно, обыкновенный и необыкновенный).
Подбирая угол ????, можно добиться необходимого пересечения конусов. В
точках пересечения будут излучаться фотоны, находящиеся в перепутанном
состоянии:
![]()
(9)
Подбирая компенсирующие кристаллы в соответствующих плечах установки (Рис 4), можно снова получить все 4 составляющие Белловского базиса.
Условие неразличимости здесь будет выполняться, когда максимальная
относительная задержка обыкновенного и необыкновенного фотонов вследствие
эффектов двулучепреломления, не будет превышать времени когерентности накачки:

(10)
Параметрические генераторы света на данный момент являются наиболее эффективными источниками фотонных пар, находящихся в перепутанном состоянии.
Подробным образом теория фотодетектирования изложена в [6] . Мы коротко отметим основные результаты.
Процедура квантования электромагнитного поля основывается на разложении
полей на составляющие моды, а затем, введении операторов рождения и уничтожения
соответствующих мод вместо классического амплитудного представления. Как
результат, классический вид напряженностей электрического и магнитного поля
приобретает вид операторный. Для электрического поля теперь имеем:
Здесь
![]()
-
содержит операторы уничтожения мод, а ![]()
- только
операторы рождения.
Процесс
фотодетектирования принято рассматривать, как уничтожение фотона на пластинке
детектора с рождением соответствующего фотоэлектрона. Вероятность
детектирования фотона определяется усреднением оператора уничтожения электрического
поля по всем квантовым состояниям света в соответствующей точке фотодетектора.
В [6] показано, что вероятность перехода детектирующего атома вещества в
возбужденное состояние вследствие поглощения фотона из поля в точке ![]()
в
центральный момент времени t равна:
Здесь
![]()
-
корреляционная функция электрического поля первого порядка.
Здесь
![]()
-
корреляционная функция электрического поля второго порядка.
Важно,
что вероятность совместного детектирования определяется экспериментально, как
совместная скорость фотоотсчетов на двух фотодетекторах, помещенных в разные
точки. Вычисление корреляционных функций ведется путем усреднения операторов
поля по квантовым состояниям частиц. Обладая источником пар перепутанных
фотонов и наблюдая совместную скорость фотоотсчетов этих фотонов в зависимости
от положения фотодетекторов, появляется возможность проверить теоретические
предсказания, касательно квантовых корреляций.
Одним из важнейших приборов линейной оптики, используемых для наблюдения неклассической двухфотонной интерференции, является светоделитель. В статье [13] подробно рассмотрена операторная теория светоделителя и получены статистики фотодетектирования для случаев симметричной и антисимметричной волновых функций пар частиц, поступающих на вход системы. Показано, что важным условием наблюдения интерференционной картины совместной вероятности фотодетектирования, является перекрытие волновых пакетов фотонов, поступающих на вход, в области светоделителя.
Это условие - не что иное, как необходимое требование неразличимости фотонов на светоделителе, которое, как уж было отмечено выше, играет первостепенную роль в процессах квантовой интерференции.
Подобные
статистики могут быть полезны для определения состояния перепутанной пары
частиц. К примеру, ![]()
является
единственной антисимметричной волновой функцией из всех Белловских состояний.
Наблюдая антикорреляцию поляризаций на выходе светоделителя, получаем
возможность выделить это состояние относительно всех других [14].
Вообще,
за счет того, что разные Белловские состояния могут давать разные
интерференционные эффекты, появляется возможность дифференцировать их друг от
друга. В результате, были созданы системы из ряда светоделителей, способные
путем измерения различных совместных корреляций, различать пары состояний ![]()
или даже
каждое из 4 состояний базиса [15].
Определение волновой функции одной части системы вызовет редукцию волнового пакета другой части в некоторое определенное состояние. Выбор базиса, в котором будет происходить детектирование волновой функции, является важнейшим инструментом в регистрации перепутанных состояний. Описанные выше измерения, в силу законов квантовой механики, проецируют совместную волновую функцию пары частиц на Белловский базис и называются проекционными измерениями Белла (Bell-State measurements [15]).
Проекционные измерения являются важнейшим методом перепутывания квантовых состояний для частиц, не рожденных совместно (Рис 5). Эту процедуру, называемую еще переносом квантовых корреляций между состояниями, мы рассмотрим в следующем разделе, посвященном обзору новейших экспериментальных разработок области физики перепутанных состояний.
В данной части мы рассмотрим ряд наиболее интересных экспериментов, выполненных в последние годы в области физики перепутанных состояний. На наш взгляд именно эти эксперименты могут оказаться полезными с точки зрения разработки совершенно новых протоколов современной квантовой криптографии.
Как уже отмечалось ранее, большинство современных методов создания
перепутанных состояний базируется на генерации пар частиц из некоторого общего
источника. Использование же проекционных измерений в Белловском базисе
позволяет осуществить перенос квантовых корреляций между частицами, не имеющими
общего прошлого. Подобный эксперимент был поставлен и тем самым показал
практическую возможность квантового переноса [15].
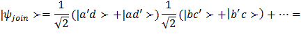
В данном эксперименте два независимых источника (параметрические генераторы света) испускают перепутанные фотонные пары (Рис 6). Здесь в качестве a(a’) и d(d’) рассматриваются различные поляризации сигнальных мод каждого генератора. Моды c(c’) и b(b’) связаны с различными поляризационными составляющими холостых мод соответствующих генераторов.
Совместную волновую функцию всех 4 пространственных мод можно записать в
таком виде:
Если
теперь положить ![]()
в
формуле (7), то мы получим базис максимально перепутанных состояний (Белловский
базис). Нетрудно видеть, например, что:
Измеряя
скорость совместных отсчетов на детекторах ![]()
и ![]()
, мы
осуществляем проекционное измерение в состоянии ![]()
,
редуцируя волновой пакет сигнальных фотонов в перепутанное состояние ![]()
.
На примере данного эксперимента хорошо видна роль процессов измерения в определении элемента физической реальности.
В конечном счете, путем проекционных измерений на светоделителях, мы получаем возможность создать перепутанное состояние из сигнальных фотонов, которые не имели общего источника. Мы еще вернемся к этому эксперименту, затрагивая вопросы квантовой криптографии.
Концепция данного эксперимента была предложена еще в 2000 г. [16], однако ее экспериментальная реализация относится к 2011 году [17].
Следуя
терминологии [17], будем рассматривать трех экспериментаторов - Алису, Боба и
Виктора. Идея эксперимента следующая. Алиса и Боб изготавливают у себя пары
перепутанных фотонов в синглетных состояниях (то есть вида![]()
.
Соответственно, для Алисы и Боба имеем ![]()
пары.